Для студентов МАИ по предмету Теория оптимизацииМетоды решения систем линейных алгебраических уравненийМетоды решения систем линейных алгебраических уравнений
5,0053191
2023-12-142023-12-14СтудИзба
Задача 4: Методы решения систем линейных алгебраических уравнений вариант 19
Описание
Задание:
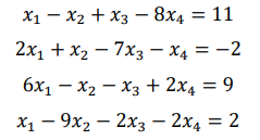
а) решить СЛАУ методом итераций (точность счета 0,01);
б) решить СЛАУ методом Зейделя (точность счета 0,01);
![]()
а) решить СЛАУ методом итераций (точность счета 0,01);
б) решить СЛАУ методом Зейделя (точность счета 0,01);

Файлы условия, демо
Характеристики решённой задачи
Предмет
Учебное заведение
Номер задания
Вариант
Просмотров
1
Размер
374,98 Kb
Список файлов
19_var_14114674-23-26.pdf

Если нужен другой вариант работы или отдельная задача из любой работы, пишите в комментарии