Для студентов МАИ по предмету Теория оптимизацииМетоды решения ЗЛПМетоды решения ЗЛП
5,0053191
2023-12-142023-12-14СтудИзба
Задача 3: Методы решения ЗЛП вариант 19
Описание
Задание:
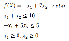
а) найти максимум и минимум в задаче графически.
б) найти максимум и минимум в задаче симплекс-методом
![]()
а) найти максимум и минимум в задаче графически.
б) найти максимум и минимум в задаче симплекс-методом

Файлы условия, демо
Характеристики решённой задачи
Предмет
Учебное заведение
Номер задания
Вариант
Просмотров
2
Размер
576,94 Kb
Список файлов
19_var_14114674-18-22.pdf

Если нужен другой вариант работы или отдельная задача из любой работы, пишите в комментарии