Для студентов МАИ по предмету Теория оптимизацииМетоды решения ЗНП при ограничениях типа равенстваМетоды решения ЗНП при ограничениях типа равенства
5,0053216
2023-12-142023-12-14СтудИзба
Задача 2: Методы решения ЗНП при ограничениях типа равенства вариант 19
Описание
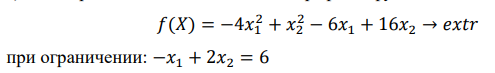
Задание:
а) Решить задачу графически.
б) Аналитически отыскать экстремум функции при ограничениях типа равенства, используя аппарат необходимых и достаточных условий (методом множителей Лагранжа).
в) Найти решение задачи методом исключений.
г) Найти решение задачи методом штрафных функций.
а) Решить задачу графически.
б) Аналитически отыскать экстремум функции при ограничениях типа равенства, используя аппарат необходимых и достаточных условий (методом множителей Лагранжа).
в) Найти решение задачи методом исключений.
г) Найти решение задачи методом штрафных функций.

Файлы условия, демо
Характеристики решённой задачи
Предмет
Учебное заведение
Номер задания
Вариант
Просмотров
9
Размер
596,33 Kb
Список файлов
19_var_14114674-10-17.pdf

Если нужен другой вариант работы или отдельная задача из любой работы, пишите в комментарии