Для студентов ИГЭУ им. Ленина по предмету Теория автоматического управления (ТАУ)Выходной контроль. Все тестыВыходной контроль. Все тесты
5,00568
2025-03-172025-07-02СтудИзба
Ответы к контрольной работе ПК-1: Выходной контроль. Все тесты
Описание
Выходной контроль. Основные понятия и определения. Тест 1
- Укажите соответствующую аббревиатуру в определении. «... - совокупность управляемого объекта и управляющего устройства, функционирующая без участия человека».
- Укажите недостающее слово в определении: «Воздействие на объект с целью обеспечения требуемого течения процесса в нем или требуемого изменения его состояния без участия человека называется автоматическим … ».
- Укажите электрическую величину, которую необходимо рассматривать как управляющее воздействие в автоматической системе регулирования напряжения синхронного генератора
- Какие величины можно рассматривать как управляемые величины в технологическом процессе выработки электрической энергии на тепловой электрической станции?
- Что называется автоматической системой управления (САУ)?
- Какой из режимных параметров генератора постоянного тока следует рассматривать как возмущающее воздействие в автоматической системе регулирования, принципиальная схема которой представлена на рисунке?
- Какой из режимных параметров генератора постоянного тока следует рассматривать как управляемую величину в автоматической системе регулирования, принципиальная схема которой представлена на рисунке?
- Какой из режимных параметров генератора постоянного тока следует рассматривать как управляющее воздействие в автоматической системе регулирования, принципиальная схема которой представлена на рисунке?
- К какому типу воздействий (величин) следует отнести изменение степени открытия вентиля f в автоматической системе регулирования уровня жидкости, принципиальная схема которой представлена на рисунке?
- К какому типу воздействий (величин) следует отнести уровень жидкости в сосуде H в автоматической системе регулирования, принципиальная схема которой представлена на рисунке
- К какому типу воздействий (величин) следует отнести изменение положения клапана Y в автоматической системе регулирования уровня жидкости, принципиальная схема которой представлена на рисунке?
- Каким функциональным органом является электромагнит с пружиной в схеме автоматического регулирования напряжения генератора постоянного тока, представленной на рисунке?
- Каким функциональным органом является электродвигатель в схеме автоматического регулирования напряжения генератора постоянного тока, представленной на рисунке?
- Каким функциональным органом является рычаг с потенциометром R3 в схеме автоматического регулирования напряжения генератора постоянного тока, представленной на рисунке?
- Каким функциональным органом является потенциометр R2 в схеме автоматического регулирования напряжения генератора постоянного тока, представленной на рисунке?
- Как изменится положение движка потенциометра R3 в схеме автоматического регулирования напряжения генератора постоянного тока, представленной на рисунке, в установившемся режиме после увеличения тока нагрузки I генератора?
- Что и как изменится в установившемся режиме в схеме автоматического регулирования напряжения генератора постоянного тока, представленной на рисунке, если увеличить степень начального сжатия пружины?
- Каким функциональным органом является поплавок в автоматической системе регулирования уровня жидкости, принципиальная схема которой представлена на рисунке?
- Каким функциональным органом является поплавок в автоматической системе регулирования уровня жидкости, принципиальная схема которой представлена на рисунке?
- Каким функциональным органом является рычаг с потенциометром в автоматической системе регулирования уровня жидкости, принципиальная схема которой представлена на рисунке?
- Каким функциональным органом является электродвигатель в автоматической системе регулирования уровня жидкости, принципиальная схема которой представлена на рисунке?
- В процессе функционирования некоторой САУ обеспечивается постоянное значение управляемой величины на выходе управляемого объекта. К какому классу следует отнести такую (и подобные ей) систему?
- В процессе функционирования некоторой САУ обеспечивается автоматическое изменение текущего значения мощности электрической станции в соответствии с заданным суточным графиком. К какому классу следует отнести такую (и подобные ей) систему?
- В некоторой САУ требуемый закон изменения управляемой величины на выходе управляемого объекта заранее не известен и определяется независимыми изменениями какой-то другой величины. К какому классу следует отнести такую (и подобные ей) систему?
- В телевизионном приемнике некоторая САУ обеспечивает максимальную чувствительность приема телевизионного сигнала на любой частоте просматриваемых программ. К какому классу следует отнести такую (и подобные ей) систему?
- В результате функционирования некоторой САУ обеспечивается минимальный расход жидкого топлива в самолете, следующем по заданному курсу. К какому классу следует отнести такую (и подобные ей) система?
- В результате функционирования некоторой САУ обеспечивается максимальный коэффициент полезного действия гидравлической турбины при любой нагрузке и любом напоре воды. К какому классу следует отнести такую (и подобные ей) систему?
- В результате функционирования некоторой САУ обеспечивается автоматическое изменение температуры в помещении в соответствии с заданным числовым графиком. К какому классу следует отнести такую (и подобные ей) систему?
- В результате функционирования некоторой САУ обеспечивается автоматическое изменение под нагрузкой коэффициента трансформации силового трансформатора в соответствии с заданным графиком изменения на шинах подстанции в течение суток. К какому классу следует отнести такую (и подобные ей) систему?
- В результате функционирования некоторой САУ обеспечивается автоматическая наводка орудия на движущуюся цель, маршрут движения которой заранее неизвестен. К какому классу следует отнести такую (и подобные ей) систему?
- В результате функционирования некоторой САУ обеспечивается постоянное заданное напряжение на выводах синхронного генератора. К какому классу следует отнести такую (и подобные ей) систему?
- В результате функционирования некоторой САУ обеспечивается постоянное заданное значение тока в электрической сети. К какому классу следует отнести такую (и подобные ей) систему?
- В результате функционирования некоторой САУ обеспечивается постоянное заданное значение уровня жидкости в сосуде. К какому классу следует отнести такую (и подобные ей) систему?
- Вставьте недостающее слово в определение: «Разность между заданным и действительным значениями управляемой величины называется…».
- Вставьте недостающее слово в определение: «Разность между текущим значениям какой-либо величины и значением, соответствующим исходному режиму, называется…».
- Укажите правильное определение понятия «ошибка управления».
- Укажите правильное выражение для определения ошибки управления, если управляемая величина может принимать значения: x(t) - текущее; x - установившееся; x3 - заданное (предписанное); x0 - исходное.
- Укажите правильное определение понятия «отклонение управляемой величины».
- Укажите правильное выражение для определения отклонения управляемой величины, если она может принимать значения: x(t) - текущее; x - установившееся; x0 - исходное; x3- заданное (предписанное).
- Вставьте недостающее слово в определение: «…- это разность между заданным (предписанным) и действительным значениями управляемой величины».
- Вставьте недостающее слово в определение: «…- это разность между текущим и исходным значениями какой-либо величины».
- Какой по статическим свойствам является автоматическая система регулирования напряжения генератора постоянного тока, принципиальная схема которой представлена на рисунке?
- Какой по статическим свойствам является автоматическая система регулирования уровня жидкости, принципиальная схема которой представлена на рисунке?
- Какой по статическим свойствам является автоматическая система регулирования уровня жидкости, принципиальная схема которой представлена на рисунке?
- Какой по статическим свойствам является автоматическая система регулирования напряжения синхронного генератора, если с увеличением его нагрузки (тока статора) напряжение на его выводах несколько снижается?
- Какой по статическим свойствам является автоматическая система регулирования напряжения синхронного генератора, если с увеличением его нагрузки (тока статора) напряжение на его выводах несколько повышается?
- Какой по статическим свойствам является автоматическая система регулирования вращения гидротурбины, если с изменением ее нагрузки ошибка регулирования не изменяется и определяется только такими факторами, как люфты, трение, гистерезис и т.п.?
- В процессе функционирования некоторой стабилизирующей САУ с увеличением возмущающего воздействия значение управляемой величины несколько увеличивается относительно заданного (предписанного) значения. Какой по статическим свойствам является рассматриваемая САУ?
- В процессе функционирования некоторой стабилизирующей САУ с увеличением возмущающего воздействия значение управляемой величины несколько уменьшается относительно заданного (предписанного) значения. Какой по статическим свойствам является рассматриваемая САУ?
- В процессе функционирования некоторой стабилизирующей САУ значение управляемой величины несколько отличается от заданного (предписанного) из–за влияния трения и люфтов и не изменяется в установившемся режиме с изменением возмущающего воздействия. Какой по статическим свойствам является рассматриваемая САУ?
- Укажите правильное выражение первого приближения отклонения нелинейной функции F(x)=0.7x^2+0.4x+6 от исходного значения F(x0) при отклонении аргумента на Δx, если x0=1
- Соотношение между величинами на входе (x) и выходе (F(x)) некоторого элемента САУ определяется нелинейной функцией вида F(x)=0.2x^2+3x+7. Определите первое приближение отклонения величины на выходе при отклонении величины на входе на Δx от исходного значенияx x0=1.
- Соотношение между величинами на входе (x) и выходе (F(x)) некоторого элемента САУ определяется нелинейной функцией вида F(x)=0.5x^3+1,5x^2+2x+3. Определите первое приближение отклонения величины на выходе при отклонении величины на входе на Δx от исходного значения x0=2.
- В чем состоит сущность линеаризации дифференциальных уравнений САУ?
- Укажите правильное выражение первого приближения отклонения нелинейной функции F(x)=0.1x^2+0.6x+3. от исходного значения F(x0) при отклонении аргумента на Δ x , если x0=2
Выходной контроль. Основные понятия и определения. Тест 2
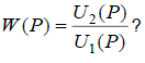
- Укажите уравнение, корни которого являются полюсами передаточной функции
,если X1(p), X2(P)- изображения воздействий на входе и выходе, K(P), D(P) - степенные полиному (многочлена)?
- Что называется полюсами передаточной функции
, если X1(p), X2(P)- изображения воздействий на входе и выходе, K(P), D(P) - степенные полиному (многочлена)?
- Что называется нулем передаточной функции
, если X1(p), X2(P)- изображения воздействий на входе и выходе, K(P), D(P) - степенные полиному (многочлена)?
- Укажите уравнение, корни которого являются полюсами передаточной функции
, если X1(p), X2(P)- изображения воздействий на входе и выходе, K(P), D(P) - степенные полиному (многочлена)?
- Что называется передаточной функцией САУ или отдельного ее элемента?
- При некотором значении оператора преобразования Лапласа передаточная функция САУ обращается в нуль. Как называется это значение?
- При некотором значении оператора Лапласа передаточная функция САУ обращается в бесконечность. Как называется это значение?
- Укажите соотношение показателей степени многочленов в выражении передаточной функции
, где ai, bi- постоянные коэффициенты; P - оператор преобразования Лапласа.
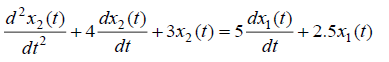
- При подаче на вход некоторого элемента САУ воздействия x1(t) величина на выходе x2(t) изменяется в соответствии с дифференциальным уравнением вида
Определите полюсы передаточной функции САУ.
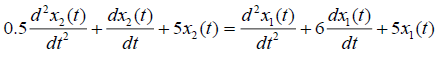
- При подаче на вход некоторого элемента САУ воздействия x1(t) величина на выходе x2(t) изменяется в соответствии с дифференциальным уравнением вида
Определите нули передаточной функции САУ.
-
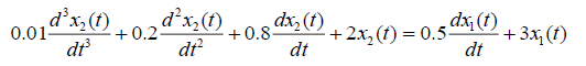
Переходный процесс в элементе САУ определяется линейнымдифференциальным уравнением
Укажите выражение передаточной функции W(P). - Что понимается под коэффициентом передачи САУ или отдельного ее элемента?
- Какой режим работы САУ соответствует по определению понятию «коэффициент передачи»?
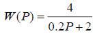
- Элемент САУ имеет передаточную функцию
Укажите значение коэффициента передачи.
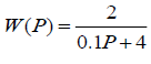
- Элемент САУ имеет передаточную функцию
Укажите значение коэффициента передачи.
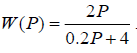
- Элемент САУ имеет передаточную функцию
Укажите значение коэффициента передачи.
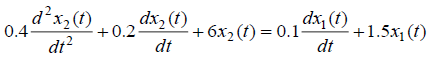
-
Переходный процесс в элементе САУ определяется линейнымдифференциальным уравнением.
Определите значение коэффициента передачи
- Укажите выражение, позволяющее определить коэффициент передачи САУ по известной передаточной функции W(P) .
- Что характерно для САУ, статическая характеристика которой представлена на рисунке,
если
x - управляемая величина; x3 - заданное (предписанное) значение управляемой величины; f - возмущающее воздействие? - Укажите соотношение между значениями коэффициентов статизма статических характеристик двух САУ (1 и 2), представленных на рисунке, если
x - управляемая величина; x3 - заданное (предписанное) значение управляемой величины; f - возмущающее воздействие?
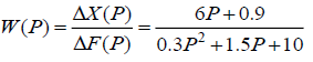
- Определите значение коэффициента статизма САУ, имеющей по возмущающему воздействию передаточную функцию
где Δ X(P), Δ F(P)- изображения отклонений управляемой величины и возмущающего воздействия, соответственно.
- При увеличении тока якоря (ток нагрузки) генератора постоянного тока на 5% относительно номинального значения напряжения на его выводах
понижается на 4%. Определите значение коэффициента статизма статической (внешней) характеристики генератора. - При уменьшении тока якоря (ток нагрузки) генератора постоянного тока на 50% относительно номинального значения напряжение на его
выводах повышается на 10%. Определите значение коэффициента статизма статической (внешней) характеристики генератора. - При увеличении тока статора (ток нагрузки) синхронного генератора постоянного тока на 5% относительно номинального значения
напряжение на его выводах снижается на 0.2%. Определите значение коэффициента статизма статической (внешней) характеристики генератора. - При уменьшении тока статора (ток нагрузки) синхронного генератора постоянного тока на 20% относительно номинального значения
напряжение на его выводах повышается на 0.5%. Определите значение коэффициента статизма статической (внешней) характеристики генератора. - Укажите правильное выражение переходной функции (при воздействии на входе в виде единичного скачка) элемента САУ с передаточной функцией
- Укажите правильное название функции вида
если
отношение степенных многочленов; P - оператор преобразования Лапласа; L^(-1) - символ обратного преобразования Лапласа.
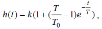
- Укажите начальные условия, которым по определению соответствует понятие переходной функции САУ.
- Вставьте недостающее в определение: «… функция – это изменение во времени величины на выходе САУ (или отдельного элемента) при подаче на вход воздействия в виде заданной функции времени при нулевых начальных условиях».
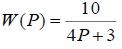
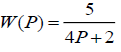
- Укажите правильное выражение переходной функции (при воздействии на входе в виде единичного скачка) элемента САУ с передаточной функцией
- Укажите правильное выражение переходной функции (при воздействии на входе в виде единичного скачка) элемента САУ с передаточной функцией
- Укажите правильное выражение переходной функции (при воздействии на входе в виде единичного скачка) элемента САУ с передаточной функцией
- Укажите недостающие слова в определении: «… - это отношение синусоидальной величины на выходе САУ к синусоидальной величине на входе, выраженных в символической форме при заданной частоте».
- На вход элемента САУ с передаточной функцией
Подано синусоидальное воздействие с частотой ω = 1рад/с и амплитудой 2. Определите амплитуду синусоидальной величины на выходе.
- На вход элемента САУ с передаточной функцией
подано синусоидальное воздействие с частотой ω =0.5 рад/с. Определите сдвиг по фазе синусоидальной величины на выходе относительно входного воздействия.
- На вход элемента САУ с передаточной функцией
подано синусоидальное воздействие с частотой ω = 1рад/с и амплитудой 10. Определите амплитуду синусоидальной величины на выходе.
- На вход элемента САУ с передаточной функцией
подано синусоидальное воздействие с частотой ω = 1 рад/с. Определите сдвиг по фазе синусоидальной величины на выходе.
- На входы нескольких различных элементов САУ подается одно и тоже синусоидальное воздействие с заданной частотой, амплитудой и
начальной фазой. Чем в общем случае будут отличаться величины на выходах элементов в установившемся режиме? - На рисунке представлен годограф комплексной частотной характеристики (КЧХ) некоторого элемента САУ.
Из приведенных частотных характеристик выберите амплитудную частотную характеристику, соответствующую заданной КЧХ.
- Из приведенных соотношений выберите соответствующие комплексной частотной характеристике.
- Из приведенных соотношений выберите соответствующее амплитудной частотной характеристике.
- Из приведенных соотношений выберите соответствующее фазовой частотной характеристике.
- Из приведенных соотношений выберите соответствующее вещественной частотной характеристике.
- Из приведенных соотношений выберите соответствующее мнимой частотной характеристике.
- Каким по форме являются уравнения статики САУ?
- Какими по форме являются уравнения динамики САУ?
- Какому решению дифференциального уравнения соответствует свободный процесс в САУ?
- Полюсы передаточной функции САУ имеют значения:
Каким будет характер свободного движения САУ?
- Полюсы передаточной функции имеют значения:
Какой (или какие) из полюсов в основном определяет общую продолжительность свободного процесса в САУ.
- Из приведенных ниже выражений выберите дифференциальное уравнение возмущенного движения САУ, если
x1(t), x2(t)- воздействия на входе и выходе САУ; ai, bi, - постоянные коэффициенты; P - оператор преобразования Лапласа. - Из приведенных ниже выражений выберите дифференциальное уравнение свободного движения САУ, если
x1(t), x2(t)- воздействия на входе и выходе САУ; ai, bi, - постоянные коэффициенты; P - оператор преобразования Лапласа. - Из приведенных ниже выражений выберите характеристическое уравнение САУ, если
x1(t), x2(t)- воздействия на входе и выходе САУ; ai, bi, - постоянные коэффициенты; P - оператор преобразования Лапласа.
Выходной контроль. Характеристики и свойства типовых линейных звеньев. Тест 3
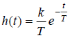
- Укажите дифференциальное уравнение инерционного звена первого порядка, если x1(t)- величина на входе; x2(t) - величина на выходе; k, T0, T - постоянные коэффициенты
- Укажите дифференциальное уравнение реального дифференцирующего звена, если x1(t)- величина на входе; x2(t) - величина на выходе; k, T0, T - постоянные коэффициенты
- Укажите дифференциальное уравнение интегро-дифференцирующего звена, если x1(t)- величина на входе; x2(t) - величина на выходе; k, T0, T - постоянные коэффициенты
- Укажите дифференциальное уравнение интегрирующего звена, если x1(t)- величина на входе; x2(t) - величина на выходе; k, T0, T - постоянные коэффициенты
- Укажите дифференциальное уравнение идеального дифференцирующего звена, если x1(t)- величина на входе; x2(t) - величина на выходе; k, T0, T - постоянные коэффициенты
- Укажите дифференциальное уравнение инерционного звена второго порядка, если x1(t)- величина на входе; x2(t) - величина на выходе; k, T0, T - постоянные коэффициенты
- Укажите название типового звена, передаточная функция которого имеет вид
где k,T - постоянные коэффициенты.
- Укажите название типового звена, передаточная функция которого имеет вид
где T k, - постоянные коэффициенты.
- Укажите название типового звена, передаточная функция которого имеет вид
где k,T,T0- постоянные коэффициенты.
- Укажите название типового звена, передаточная функция которого имеет вид
где k,T,T0- постоянные коэффициенты.
- Укажите название типового звена, передаточная функция которого имеет вид
где k - постоянный коэффициент.
- Укажите название типового звена, передаточная функция которого имеет вид
где k - постоянный коэффициент.
- Укажите название типового звена, передаточная функция которого имеет вид
где T - постоянный коэффициент.
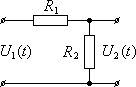
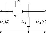
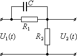
- кажите название типового звена, электрический аналог которого представлен на рисунке
- Укажите название типового звена, электрический аналог которого представлен на рисунке
- Укажите название типового звена, электрический аналог которого представлен на рисунке
- Укажите название типового звена, электрический аналог которого представлен на рисунке
- Укажите название типового звена, электрический аналог которого представлен на рисунке
- Укажите название типового звена, электрический аналог которого представлен на рисунке
- Укажите название типового звена, электрический аналог которого представлен на рисунке
- Укажите название типового звена, электрический аналог которого представлен на рисунке
- Укажите название типового звена, электрический аналог которого представлен на рисунке
- Каким типовым звеном может быть представлена электрическая схема (см. рисунок)
как элемент САУ с передаточной функцией
- Каким типовым звеном может быть представлена электрическая схема (см. рисунок)
как элемент САУ с передаточной функцией
- Каким типовым звеном может быть представлена электрическая схема (см. рисунок)
как элемент САУ с передаточной функцией
- Каким типовым звеном может быть представлена электрическая схема (см. рисунок)
как элемент САУ с передаточной функцией
- Укажите вид переходной характеристики (U1(t)=1) типового звена, электрический аналог которого представлен на рисунке
- Укажите вид переходной характеристики (U1(t)=1) типового звена, электрический аналог которого представлен на рисунке
- Укажите вид переходной характеристики (U1(t)=1) типового звена, электрический аналог которого представлен на рисунке
- Укажите вид переходной характеристики (U1(t)=1) типового звена, электрический аналог которого представлен на рисунке
- Укажите вид переходной характеристики (U1(t)=1) типового звена, электрический аналог которого представлен на рисунке
- Укажите вид переходной характеристики (U1(t)=1) типового звена, электрический аналог которого представлен на рисунке
- Укажите вид переходной характеристики (U1(t)=1) типового звена, электрический аналог которого представлен на рисунке
- Укажите вид переходной характеристики (U1(t)=1) типового звена, электрический аналог которого представлен на рисунке
- При каком условии переходная характеристика звена второго порядка с передаточной функцией
где k, T, T0 - постоянные коэффициенты, имеет колебательный характер?
- При каком условии переходная характеристика звена второго порядка с передаточной функцией
где k, T, T0 - постоянные коэффициенты, имеет вид монотонной (без колебаний) кривой?
- Как изменится переходная характеристика интегро-дифференцирующего звена
где k, T, T0 - постоянные коэффициенты, если увеличить постоянную времени T ?
- Как изменится переходная характеристика инерционного звена первого порядка
где k, T - постоянные коэффициенты, если увеличить постоянную времени T ?
- Как изменится переходная характеристика инерционного звена первого порядка
где k, T - постоянные коэффициенты, если уменьшить постоянную времени T ?
- Как изменится переходная характеристика реального дифференцирующего звена
где k,T - постоянные коэффициенты, если увеличить постоянную времени T ?
- Как изменится переходная характеристика реального дифференцирующего звена
где k,T - постоянные коэффициенты, если уменьшить постоянную времени T ?
Выходной контроль. Характеристики и свойства типовых линейных звеньев. Тест 4
- Укажите вид годографа КЧХ типового звена с передаточной функцией
где k,T- постоянные коэффициенты
- Укажите вид годографа КЧХ типового звена с передаточной функцией
где k,T- постоянные коэффициенты
- Укажите вид годографа КЧХ типового звена с передаточной функцией
где k - постоянный коэффициент.
- Укажите вид годографа КЧХ типового звена с передаточной функцией
где k - постоянный коэффициент.
- Укажите вид годографа КЧХ типового звена с передаточной функцией
где k, T0, T- постоянные коэффициенты.
- Укажите вид годографа КЧХ типового звена с передаточной функцией
где k, T0, T- постоянные коэффициенты.
- Укажите вид годографа КЧХ типового звена с передаточной функцией
где k, T0, T - постоянные коэффициенты.
- Укажите вид АЧХ типового звена, годограф КЧХ которого представлен на рисунке
- кажите вид АЧХ типового звена, годограф КЧХ которого представлен на рисунке
- Укажите вид АЧХ типового звена, годограф КЧХ которого представлен на рисунке
- Укажите вид АЧХ типового звена, годограф КЧХ которого представлен на рисунке
- Укажите вид АЧХ типового звена, годограф КЧХ которого представлен на рисунке
- Укажите вид АЧХ типового звена, годограф КЧХ которого представлен на рисунке
- Укажите вид АЧХ типового звена, годограф КЧХ которого представлен на рисунке
- Укажите вид АЧХ типового звена, годограф КЧХ которого представлен на рисунке
- Укажите вид ФЧХ типового звена, годограф ФЧХ которого представлен на рисунке
- Укажите вид ФЧХ типового звена, годограф КЧХ которого представлен на рисунке
- Укажите вид ФЧХ типового звена, годограф КЧХ которого представлен
- Укажите вид ФЧХ типового звена, годограф КЧХ которого представлен на рисунке
- Укажите вид ФЧХ типового звена, годограф КЧХ которого представлен на рисунке
- Укажите вид ФЧХ типового звена, годограф КЧХ которого представлен на рисунке
- Укажите вид ФЧХ типового звена, годограф КЧХ которого представлен на рисунке
- Укажите вид ФЧХ типового звена, годограф КЧХ которого представлен на рисунке
- Как изменятся частотные характеристики инерционного звена первого порядка
где k, T- постоянные коэффициенты, если уменьшить постоянную времени T?
- Как изменятся частотные характеристики инерционного звена первого порядка
де k, T- постоянные коэффициенты, если увеличить постоянную времени T?
- Как изменятся частотные характеристики инерционного звена первого порядка
где k,T - постоянные коэффициенты, при увеличении коэффициента передачи k?
- Как изменятся частотные характеристики инерционного звена первого порядка
где k,T- постоянные коэффициенты, при уменьшении коэффициента передачи k ?
- Как изменятся частотные характеристики реального дифференцирующего звена
где k,T - постоянные коэффициенты, при уменьшении коэффициента передачи k ?
- Как изменятся частотные характеристики реального дифференцирующего звена
где k,T - постоянные коэффициенты, при увеличении коэффициента передачи k ?
- Для запаздывающего звена с передаточной функцией
где T - постоянная времени, Определите сдвиг по фазе синусоидальной величины на выходе относительно величины на входе при частоте
- Для идеального дифференцирующего звена с передаточной функцией
где k - постоянный коэффициент, Определите сдвиг по фазе синусоидальной величины на выходе относительно величины на входе при частоте
- Для типового звена с передаточной функцией
где k,T - постоянные коэффициенты, Определите сдвиг по фазе синусоидальной величины на выходе относительно величины на входе при частоте
- Для типового звена с передаточной функцией
где k,T - постоянные коэффициенты, Определите сдвиг по фазе синусоидальной величины на выходе относительно величины на входе при частоте
Список вопросов
Из приведенных соотношений выберите соответствующее вещественной частотной характеристике.
Что называется передаточной функцией САУ или отдельного ее элемента?
Укажите соответствующую аббревиатуру в определении. «... - совокупность управляемого объекта и управляющего устройства, функционирующая без участия человека».
Укажите недостающее слово в определении: «Воздействие на объект с целью обеспечения требуемого течения процесса в нем или требуемого изменения его состояния без участия человека называется автоматическим … ».
Укажите электрическую величину, которую необходимо рассматривать как управляющее воздействие в автоматической системе регулирования напряжения синхронного генератора
Какие величины можно рассматривать как управляемые величины в технологическом процессе выработки электрической энергии на тепловой электрической станции?
Что называется автоматической системой управления (САУ)?
Какой из режимных параметров генератора постоянного тока следует рассматривать как возмущающее воздействие в автоматической системе регулирования, принципиальная схема которой представлена на рисунке? ![]()

Какой из режимных параметров генератора постоянного тока следует рассматривать как управляемую величину в автоматической системе регулирования, принципиальная схема которой представлена на рисунке? ![]()

Какой из режимных параметров генератора постоянного тока следует рассматривать как управляющее воздействие в автоматической системе регулирования, принципиальная схема которой представлена на рисунке? ![]()

К какому типу воздействий (величин) следует отнести изменение степени открытия вентиля f в автоматической системе регулирования уровня жидкости, принципиальная схема которой представлена на рисунке? ![]()

К какому типу воздействий (величин) следует отнести уровень жидкости в сосуде H в автоматической системе регулирования, принципиальная схема которой представлена на рисунке ![]()

К какому типу воздействий (величин) следует отнести изменение положения клапана Y в автоматической системе регулирования уровня жидкости, принципиальная схема которой представлена на рисунке? ![]()

Каким функциональным органом является электромагнит с пружиной в схеме автоматического регулирования напряжения генератора постоянного тока, представленной на рисунке? ![]()

Каким функциональным органом является электродвигатель в схеме автоматического регулирования напряжения генератора постоянного тока, представленной на рисунке? ![]()

Каким функциональным органом является рычаг с потенциометром R3 в схеме автоматического регулирования напряжения генератора постоянного тока, представленной на рисунке? ![]()

Каким функциональным органом является потенциометр R2 в схеме автоматического регулирования напряжения генератора постоянного тока, представленной на рисунке? ![]()

Как изменится положение движка потенциометра R3 в схеме автоматического регулирования напряжения генератора постоянного тока, представленной на рисунке, в установившемся режиме после увеличения тока нагрузки I генератора? ![]()

Что и как изменится в установившемся режиме в схеме автоматического регулирования напряжения генератора постоянного тока, представленной на рисунке, если увеличить степень начального сжатия пружины? ![]()

Каким функциональным органом является поплавок в автоматической системе регулирования уровня жидкости, принципиальная схема которой представлена на рисунке? ![]()

Каким функциональным органом является поплавок в автоматической системе регулирования уровня жидкости, принципиальная схема которой представлена на рисунке? ![]()

Каким функциональным органом является рычаг с потенциометром в автоматической системе регулирования уровня жидкости, принципиальная схема которой представлена на рисунке? ![]()

Каким функциональным органом является электродвигатель в автоматической системе регулирования уровня жидкости, принципиальная схема которой представлена на рисунке? ![]()

В процессе функционирования некоторой САУ обеспечивается постоянное значение управляемой величины на выходе управляемого объекта. К какому классу следует отнести такую (и подобные ей) систему?
В процессе функционирования некоторой САУ обеспечивается автоматическое изменение текущего значения мощности электрической станции в соответствии с заданным суточным графиком. К какому классу следует отнести такую (и подобные ей) систему?
В некоторой САУ требуемый закон изменения управляемой величины на выходе управляемого объекта заранее не известен и определяется независимыми изменениями какой-то другой величины. К какому классу следует отнести такую (и подобные ей) систему?
В телевизионном приемнике некоторая САУ обеспечивает максимальную чувствительность приема телевизионного сигнала на любой частоте просматриваемых программ. К какому классу следует отнести такую (и подобные ей) систему?
В результате функционирования некоторой САУ обеспечивается минимальный расход жидкого топлива в самолете, следующем по заданному курсу. К какому классу следует отнести такую (и подобные ей) система?
В результате функционирования некоторой САУ обеспечивается максимальный коэффициент полезного действия гидравлической турбины при любой нагрузке и любом напоре воды. К какому классу следует отнести такую (и подобные ей) систему?
В результате функционирования некоторой САУ обеспечивается автоматическое изменение температуры в помещении в соответствии с заданным числовым графиком. К какому классу следует отнести такую (и подобные ей) систему?
В результате функционирования некоторой САУ обеспечивается автоматическое изменение под нагрузкой коэффициента трансформации силового трансформатора в соответствии с заданным графиком изменения на шинах подстанции в течение суток. К какому классу следует отнести такую (и подобные ей) систему?
В результате функционирования некоторой САУ обеспечивается автоматическая наводка орудия на движущуюся цель, маршрут движения которой заранее неизвестен. К какому классу следует отнести такую (и подобные ей) систему?
В результате функционирования некоторой САУ обеспечивается постоянное заданное напряжение на выводах синхронного генератора. К какому классу следует отнести такую (и подобные ей) систему?
В результате функционирования некоторой САУ обеспечивается постоянное заданное значение тока в электрической сети. К какому классу следует отнести такую (и подобные ей) систему?
В результате функционирования некоторой САУ обеспечивается постоянное заданное значение уровня жидкости в сосуде. К какому классу следует отнести такую (и подобные ей) систему?
Вставьте недостающее слово в определение: «Разность между заданным и действительным значениями управляемой величины называется…».
Вставьте недостающее слово в определение: «Разность между текущим значениям какой-либо величины и значением, соответствующим исходному режиму, называется…».
Укажите правильное определение понятия «ошибка управления».
Укажите правильное выражение для определения ошибки управления, если управляемая величина может принимать значения: x(t) - текущее; x - установившееся; x3 - заданное (предписанное); x0 - исходное.
Укажите правильное определение понятия «отклонение управляемой величины».
Укажите правильное выражение для определения отклонения управляемой величины, если она может принимать значения: x(t) - текущее; x - установившееся; x0 - исходное; x3- заданное (предписанное).
Вставьте недостающее слово в определение: «…- это разность между заданным (предписанным) и действительным значениями управляемой величины».
Вставьте недостающее слово в определение: «…- это разность между текущим и исходным значениями какой-либо величины».
Какой по статическим свойствам является автоматическая система регулирования напряжения генератора постоянного тока, принципиальная схема которой представлена на рисунке? ![]()

Какой по статическим свойствам является автоматическая система регулирования уровня жидкости, принципиальная схема которой представлена на рисунке? ![]()

Какой по статическим свойствам является автоматическая система регулирования уровня жидкости, принципиальная схема которой представлена на рисунке? ![]()

Какой по статическим свойствам является автоматическая система регулирования напряжения синхронного генератора, если с увеличением его нагрузки (тока статора) напряжение на его выводах несколько снижается?
Какой по статическим свойствам является автоматическая система регулирования напряжения синхронного генератора, если с увеличением его нагрузки (тока статора) напряжение на его выводах несколько повышается?
Какой по статическим свойствам является автоматическая система регулирования вращения гидротурбины, если с изменением ее нагрузки ошибка регулирования не изменяется и определяется только такими факторами, как люфты, трение, гистерезис и т.п.?
В процессе функционирования некоторой стабилизирующей САУ с увеличением возмущающего воздействия значение управляемой величины несколько увеличивается относительно заданного (предписанного) значения. Какой по статическим свойствам является рассматриваемая САУ?
В процессе функционирования некоторой стабилизирующей САУ с увеличением возмущающего воздействия значение управляемой величины несколько уменьшается относительно заданного (предписанного) значения. Какой по статическим свойствам является рассматриваемая САУ?
В процессе функционирования некоторой стабилизирующей САУ значение управляемой величины несколько отличается от заданного (предписанного) из–за влияния трения и люфтов и не изменяется в установившемся режиме с изменением возмущающего воздействия. Какой по статическим свойствам является рассматриваемая САУ?
Укажите правильное выражение первого приближения отклонения нелинейной функции F(x)=0.7x^2+0.4x+6 от исходного значения F(x0) при отклонении аргумента на Δx, если x0=1
Соотношение между величинами на входе (x) и выходе (F(x)) некоторого элемента САУ определяется нелинейной функцией вида F(x)=0.2x^2+3x+7. Определите первое приближение отклонения величины на выходе при отклонении величины на входе на Δx от исходного значенияx x0=1.
Соотношение между величинами на входе (x) и выходе (F(x)) некоторого элемента САУ определяется нелинейной функцией вида F(x)=0.5x^3+1,5x^2+2x+3. Определите первое приближение отклонения величины на выходе при отклонении величины на входе на Δx от исходного значения x0=2.
В чем состоит сущность линеаризации дифференциальных уравнений САУ?
Укажите правильное выражение первого приближения отклонения нелинейной функции F(x)=0.1x^2+0.6x+3. от исходного значения F(x0) при отклонении аргумента на Δ x , если x0=2
Укажите уравнение, корни которого являются полюсами передаточной функции
,если X1(p), X2(P)- изображения воздействий на входе и выходе, K(P), D(P) - степенные полиному (многочлена)?

Что называется полюсами передаточной функции
, если X1(p), X2(P)- изображения воздействий на входе и выходе, K(P), D(P) - степенные полиному (многочлена)?

Что называется нулем передаточной функции
, если X1(p), X2(P)- изображения воздействий на входе и выходе, K(P), D(P) - степенные полиному (многочлена)?

Укажите уравнение, корни которого являются полюсами передаточной функции
, если X1(p), X2(P)- изображения воздействий на входе и выходе, K(P), D(P) - степенные полиному (многочлена)?

При некотором значении оператора преобразования Лапласа передаточная функция САУ обращается в нуль. Как называется это значение?
При некотором значении оператора Лапласа передаточная функция САУ обращается в бесконечность. Как называется это значение?
Укажите соотношение показателей степени многочленов в выражении передаточной функции
, где ai, bi- постоянные коэффициенты; P - оператор преобразования Лапласа.

При подаче на вход некоторого элемента САУ воздействия x1(t) величина на выходе x2(t) изменяется в соответствии с дифференциальным уравнением вида
Определите полюсы передаточной функции САУ.

При подаче на вход некоторого элемента САУ воздействия x1(t) величина на выходе x2(t) изменяется в соответствии с дифференциальным уравнением вида
Определите нули передаточной функции САУ.



Укажите выражение передаточной функции W(P).
Что понимается под коэффициентом передачи САУ или отдельного ее элемента?
Какой режим работы САУ соответствует по определению понятию «коэффициент передачи»?
Элемент САУ имеет передаточную функцию
Укажите значение коэффициента передачи.

Элемент САУ имеет передаточную функцию
Укажите значение коэффициента передачи.

Элемент САУ имеет передаточную функцию
Укажите значение коэффициента передачи.



Укажите выражение, позволяющее определить коэффициент передачи САУ по известной передаточной функции W(P) .
Что характерно для САУ, статическая характеристика которой представлена на рисунке,
если
x - управляемая величина; x3 - заданное (предписанное) значение управляемой величины; f - возмущающее воздействие?

x - управляемая величина; x3 - заданное (предписанное) значение управляемой величины; f - возмущающее воздействие?
Укажите соотношение между значениями коэффициентов статизма статических характеристик двух САУ (1 и 2), представленных на рисунке, если
x - управляемая величина; x3 - заданное (предписанное) значение управляемой величины; f - возмущающее воздействие?

Определите значение коэффициента статизма САУ, имеющей по возмущающему воздействию передаточную функцию
где Δ X(P), Δ F(P)- изображения отклонений управляемой величины и возмущающего воздействия, соответственно.

При увеличении тока якоря (ток нагрузки) генератора постоянного тока на 5% относительно номинального значения напряжения на его выводах
понижается на 4%. Определите значение коэффициента статизма статической (внешней) характеристики генератора.
понижается на 4%. Определите значение коэффициента статизма статической (внешней) характеристики генератора.
При уменьшении тока якоря (ток нагрузки) генератора постоянного тока на 50% относительно номинального значения напряжение на его
выводах повышается на 10%. Определите значение коэффициента статизма статической (внешней) характеристики генератора.
выводах повышается на 10%. Определите значение коэффициента статизма статической (внешней) характеристики генератора.
При увеличении тока статора (ток нагрузки) синхронного генератора постоянного тока на 5% относительно номинального значения
напряжение на его выводах снижается на 0.2%. Определите значение коэффициента статизма статической (внешней) характеристики генератора.
напряжение на его выводах снижается на 0.2%. Определите значение коэффициента статизма статической (внешней) характеристики генератора.
При уменьшении тока статора (ток нагрузки) синхронного генератора постоянного тока на 20% относительно номинального значения
напряжение на его выводах повышается на 0.5%. Определите значение коэффициента статизма статической (внешней) характеристики генератора.
напряжение на его выводах повышается на 0.5%. Определите значение коэффициента статизма статической (внешней) характеристики генератора.
Укажите правильное выражение переходной функции (при воздействии на входе в виде единичного скачка) элемента САУ с передаточной функцией ![]()

Укажите правильное название функции вида
если
отношение степенных многочленов; P - оператор преобразования Лапласа; L^(-1) - символ обратного преобразования Лапласа.


Укажите начальные условия, которым по определению соответствует понятие переходной функции САУ.
Вставьте недостающее в определение: «… функция – это изменение во времени величины на выходе САУ (или отдельного элемента) при подаче на вход воздействия в виде заданной функции времени при нулевых начальных условиях».
Укажите правильное выражение переходной функции (при воздействии на входе в виде единичного скачка) элемента САУ с передаточной функцией ![]()

Укажите правильное выражение переходной функции (при воздействии на входе в виде единичного скачка) элемента САУ с передаточной функцией ![]()

Укажите правильное выражение переходной функции (при воздействии на входе в виде единичного скачка) элемента САУ с передаточной функцией ![]()

Укажите недостающие слова в определении: «… - это отношение синусоидальной величины на выходе САУ к синусоидальной величине на входе, выраженных в символической форме при заданной частоте».
На вход элемента САУ с передаточной функцией
Подано синусоидальное воздействие с частотой ω = 1рад/с и амплитудой 2. Определите амплитуду синусоидальной величины на выходе.

На вход элемента САУ с передаточной функцией
подано синусоидальное воздействие с частотой ω =0.5 рад/с. Определите сдвиг по фазе синусоидальной величины на выходе относительно входного воздействия.

На вход элемента САУ с передаточной функцией
подано синусоидальное воздействие с частотой ω = 1рад/с и амплитудой 10. Определите амплитуду синусоидальной величины на выходе.

На вход элемента САУ с передаточной функцией
подано синусоидальное воздействие с частотой ω = 1 рад/с. Определите сдвиг по фазе синусоидальной величины на выходе.

На входы нескольких различных элементов САУ подается одно и тоже синусоидальное воздействие с заданной частотой, амплитудой и
начальной фазой. Чем в общем случае будут отличаться величины на выходах элементов в установившемся режиме?
начальной фазой. Чем в общем случае будут отличаться величины на выходах элементов в установившемся режиме?
На рисунке представлен годограф комплексной частотной характеристики (КЧХ) некоторого элемента САУ.
Из приведенных частотных характеристик выберите амплитудную частотную характеристику, соответствующую заданной КЧХ.

Из приведенных соотношений выберите соответствующие комплексной частотной характеристике.
Из приведенных соотношений выберите соответствующее амплитудной частотной характеристике.
Из приведенных соотношений выберите соответствующее фазовой частотной характеристике.
Из приведенных соотношений выберите соответствующее мнимой частотной характеристике.
Каким по форме являются уравнения статики САУ?
Характеристики ответов (шпаргалок) к КР
Тип
Коллекция: Ответы (шпаргалки) к контрольной работе
Учебное заведение
Семестр
Номер задания
Программы
Просмотров
19
Качество
Идеальное компьютерное
Количество вопросов
Преподаватели

🎓Помощь студентам Ивановских ВУЗов🎓 ❤️ Каждая приобретенная работа служит стимулом для добавления новых материалов и упрощает учебный процесс.