Для студентов ИГЭУ им. Ленина по предмету Теория автоматического управления (ТАУ)Выходной контроль. Характеристики и свойства типовых линейных звеньевВыходной контроль. Характеристики и свойства типовых линейных звеньев
5,00575
2025-03-172025-07-02СтудИзба
Ответы к контрольной работе ПК-1: Выходной контроль. Характеристики и свойства типовых линейных звеньев
Описание
Выходной контроль. Характеристики и свойства типовых линейных звеньев. Тест 4
- Укажите вид годографа КЧХ типового звена с передаточной функцией
где k,T- постоянные коэффициенты
- Укажите вид годографа КЧХ типового звена с передаточной функцией
где k,T- постоянные коэффициенты
- Укажите вид годографа КЧХ типового звена с передаточной функцией
где k - постоянный коэффициент.
- Укажите вид годографа КЧХ типового звена с передаточной функцией
где k - постоянный коэффициент.
- Укажите вид годографа КЧХ типового звена с передаточной функцией
где k, T0, T- постоянные коэффициенты.
- Укажите вид годографа КЧХ типового звена с передаточной функцией
где k, T0, T- постоянные коэффициенты.
- Укажите вид годографа КЧХ типового звена с передаточной функцией
где k, T0, T - постоянные коэффициенты.
- Укажите вид АЧХ типового звена, годограф КЧХ которого представлен на рисунке
- кажите вид АЧХ типового звена, годограф КЧХ которого представлен на рисунке
- Укажите вид АЧХ типового звена, годограф КЧХ которого представлен на рисунке
- Укажите вид АЧХ типового звена, годограф КЧХ которого представлен на рисунке
- Укажите вид АЧХ типового звена, годограф КЧХ которого представлен на рисунке
- Укажите вид АЧХ типового звена, годограф КЧХ которого представлен на рисунке
- Укажите вид АЧХ типового звена, годограф КЧХ которого представлен на рисунке
- Укажите вид АЧХ типового звена, годограф КЧХ которого представлен на рисунке
- Укажите вид ФЧХ типового звена, годограф ФЧХ которого представлен на рисунке
- Укажите вид ФЧХ типового звена, годограф КЧХ которого представлен на рисунке
- Укажите вид ФЧХ типового звена, годограф КЧХ которого представлен
- Укажите вид ФЧХ типового звена, годограф КЧХ которого представлен на рисунке
- Укажите вид ФЧХ типового звена, годограф КЧХ которого представлен на рисунке
- Укажите вид ФЧХ типового звена, годограф КЧХ которого представлен на рисунке
- Укажите вид ФЧХ типового звена, годограф КЧХ которого представлен на рисунке
- Укажите вид ФЧХ типового звена, годограф КЧХ которого представлен на рисунке
- Как изменятся частотные характеристики инерционного звена первого порядка
где k, T- постоянные коэффициенты, если уменьшить постоянную времени T?
- Как изменятся частотные характеристики инерционного звена первого порядка
де k, T- постоянные коэффициенты, если увеличить постоянную времени T?
- Как изменятся частотные характеристики инерционного звена первого порядка
где k,T - постоянные коэффициенты, при увеличении коэффициента передачи k?
- Как изменятся частотные характеристики инерционного звена первого порядка
где k,T- постоянные коэффициенты, при уменьшении коэффициента передачи k ?
- Как изменятся частотные характеристики реального дифференцирующего звена
где k,T - постоянные коэффициенты, при уменьшении коэффициента передачи k ?
- Как изменятся частотные характеристики реального дифференцирующего звена
где k,T - постоянные коэффициенты, при увеличении коэффициента передачи k ?
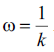
- Для запаздывающего звена с передаточной функцией
где T - постоянная времени, Определите сдвиг по фазе синусоидальной величины на выходе относительно величины на входе при частоте
- Для идеального дифференцирующего звена с передаточной функцией
где k - постоянный коэффициент, Определите сдвиг по фазе синусоидальной величины на выходе относительно величины на входе при частоте
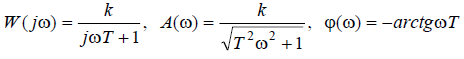
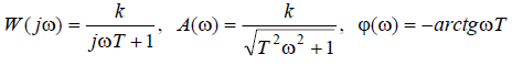
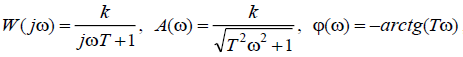
- Для типового звена с передаточной функцией
где k,T - постоянные коэффициенты, Определите сдвиг по фазе синусоидальной величины на выходе относительно величины на входе при частоте
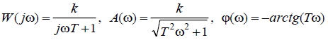
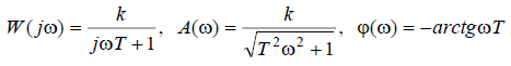
- Для типового звена с передаточной функцией
где k,T - постоянные коэффициенты, Определите сдвиг по фазе синусоидальной величины на выходе относительно величины на входе при частоте
Список вопросов
Как изменятся частотные характеристики инерционного звена первого порядка
где k,T - постоянные коэффициенты, при увеличении коэффициента передачи k?
![]()




Укажите вид ФЧХ типового звена, годограф КЧХ которого представлен ![]()

Укажите вид ФЧХ типового звена, годограф КЧХ которого представлен на рисунке ![]()

Укажите вид ФЧХ типового звена, годограф КЧХ которого представлен на рисунке ![]()

Укажите вид ФЧХ типового звена, годограф КЧХ которого представлен на рисунке ![]()

Укажите вид ФЧХ типового звена, годограф КЧХ которого представлен на рисунке ![]()

Укажите вид ФЧХ типового звена, годограф КЧХ которого представлен на рисунке ![]()

Как изменятся частотные характеристики инерционного звена первого порядка
где k, T- постоянные коэффициенты, если уменьшить постоянную времени T?

Как изменятся частотные характеристики инерционного звена первого порядка
де k, T- постоянные коэффициенты, если увеличить постоянную времени T?
![]()




Укажите вид ФЧХ типового звена, годограф КЧХ которого представлен на рисунке ![]()

Как изменятся частотные характеристики инерционного звена первого порядка
где k,T- постоянные коэффициенты, при уменьшении коэффициента передачи k ?
![]()




Как изменятся частотные характеристики реального дифференцирующего звена
где k,T - постоянные коэффициенты, при уменьшении коэффициента передачи k ?
![]()

где k,T - постоянные коэффициенты, при уменьшении коэффициента передачи k ?



Как изменятся частотные характеристики реального дифференцирующего звена
где k,T - постоянные коэффициенты, при увеличении коэффициента передачи k ?
![]()




Для запаздывающего звена с передаточной функцией
где T - постоянная времени, Определите сдвиг по фазе синусоидальной величины на выходе относительно величины на входе при частоте ![]()


Для идеального дифференцирующего звена с передаточной функцией
где k - постоянный коэффициент, Определите сдвиг по фазе синусоидальной величины на выходе относительно величины на входе при частоте ![]()


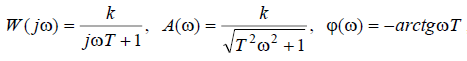
Для типового звена с передаточной функцией
где k,T - постоянные коэффициенты, Определите сдвиг по фазе синусоидальной величины на выходе относительно величины на входе при частоте ![]()


Для типового звена с передаточной функцией
где k,T - постоянные коэффициенты, Определите сдвиг по фазе синусоидальной величины на выходе относительно величины на входе при частоте ![]()


Укажите вид годографа КЧХ типового звена с передаточной функцией
где k,T- постоянные коэффициенты

Укажите вид ФЧХ типового звена, годограф ФЧХ которого представлен на рисунке ![]()

Укажите вид АЧХ типового звена, годограф КЧХ которого представлен на рисунке ![]()

Укажите вид АЧХ типового звена, годограф КЧХ которого представлен на рисунке ![]()

Укажите вид АЧХ типового звена, годограф КЧХ которого представлен на рисунке ![]()

Укажите вид АЧХ типового звена, годограф КЧХ которого представлен на рисунке ![]()

Укажите вид АЧХ типового звена, годограф КЧХ которого представлен на рисунке ![]()

Укажите вид АЧХ типового звена, годограф КЧХ которого представлен на рисунке ![]()

Укажите вид АЧХ типового звена, годограф КЧХ которого представлен на рисунке ![]()

Укажите вид АЧХ типового звена, годограф КЧХ которого представлен на рисунке
![]()

Укажите вид годографа КЧХ типового звена с передаточной функцией
где k, T0, T - постоянные коэффициенты.

Укажите вид годографа КЧХ типового звена с передаточной функцией
где k, T0, T- постоянные коэффициенты.

Укажите вид годографа КЧХ типового звена с передаточной функцией
где k, T0, T- постоянные коэффициенты.

Укажите вид годографа КЧХ типового звена с передаточной функцией
где k - постоянный коэффициент.

Укажите вид годографа КЧХ типового звена с передаточной функцией
где k - постоянный коэффициент.

Укажите вид годографа КЧХ типового звена с передаточной функцией
где k,T- постоянные коэффициенты

Эти вопросы в других коллекциях
Характеристики ответов (шпаргалок) к КР
Тип
Коллекция: Ответы (шпаргалки) к контрольной работе
Учебное заведение
Семестр
Номер задания
Программы
Теги
Просмотров
15
Качество
Идеальное компьютерное
Количество вопросов
Преподаватели

🎓Помощь студентам Ивановских ВУЗов🎓 ❤️ Каждая приобретенная работа служит стимулом для добавления новых материалов и упрощает учебный процесс.