Для студентов ИГЭУ им. Ленина по предмету Теория автоматического управления (ТАУ)Выходной контроль. Основные понятия и определенияВыходной контроль. Основные понятия и определения
5,00567
2025-03-162025-07-02СтудИзба
Ответы к контрольной работе ПК-1: Выходной контроль. Основные понятия и определения
Описание
Выходной контроль. Основные понятия и определения. Тест 2
- Укажите уравнение, корни которого являются полюсами передаточной функции
,если X1(p), X2(P)- изображения воздействий на входе и выходе, K(P), D(P) - степенные полиному (многочлена)?
- Что называется полюсами передаточной функции
, если X1(p), X2(P)- изображения воздействий на входе и выходе, K(P), D(P) - степенные полиному (многочлена)?
- Что называется нулем передаточной функции
, если X1(p), X2(P)- изображения воздействий на входе и выходе, K(P), D(P) - степенные полиному (многочлена)?
- Укажите уравнение, корни которого являются полюсами передаточной функции
, если X1(p), X2(P)- изображения воздействий на входе и выходе, K(P), D(P) - степенные полиному (многочлена)?
- Что называется передаточной функцией САУ или отдельного ее элемента?
- При некотором значении оператора преобразования Лапласа передаточная функция САУ обращается в нуль. Как называется это значение?
- При некотором значении оператора Лапласа передаточная функция САУ обращается в бесконечность. Как называется это значение?
- Укажите соотношение показателей степени многочленов в выражении передаточной функции
, где ai, bi- постоянные коэффициенты; P - оператор преобразования Лапласа.
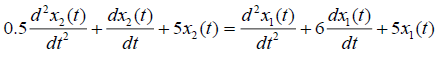
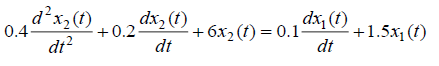
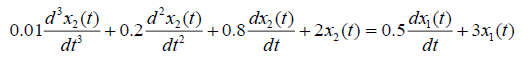
- При подаче на вход некоторого элемента САУ воздействия x1(t) величина на выходе x2(t) изменяется в соответствии с дифференциальным уравнением вида
Определите полюсы передаточной функции САУ.
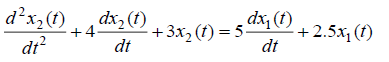
- При подаче на вход некоторого элемента САУ воздействия x1(t) величина на выходе x2(t) изменяется в соответствии с дифференциальным уравнением вида
Определите нули передаточной функции САУ.
-
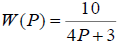
Переходный процесс в элементе САУ определяется линейнымдифференциальным уравнением
Укажите выражение передаточной функции W(P). - Что понимается под коэффициентом передачи САУ или отдельного ее элемента?
- Какой режим работы САУ соответствует по определению понятию «коэффициент передачи»?
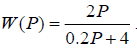
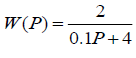
- Элемент САУ имеет передаточную функцию
Укажите значение коэффициента передачи.
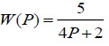
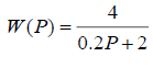
- Элемент САУ имеет передаточную функцию
Укажите значение коэффициента передачи.
- Элемент САУ имеет передаточную функцию
Укажите значение коэффициента передачи.
-
Переходный процесс в элементе САУ определяется линейнымдифференциальным уравнением.
Определите значение коэффициента передачи
- Укажите выражение, позволяющее определить коэффициент передачи САУ по известной передаточной функции W(P) .
- Что характерно для САУ, статическая характеристика которой представлена на рисунке,
если
x - управляемая величина; x3 - заданное (предписанное) значение управляемой величины; f - возмущающее воздействие? - Укажите соотношение между значениями коэффициентов статизма статических характеристик двух САУ (1 и 2), представленных на рисунке, если
x - управляемая величина; x3 - заданное (предписанное) значение управляемой величины; f - возмущающее воздействие?
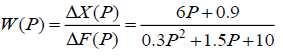
- Определите значение коэффициента статизма САУ, имеющей по возмущающему воздействию передаточную функцию
где Δ X(P), Δ F(P)- изображения отклонений управляемой величины и возмущающего воздействия, соответственно.
- При увеличении тока якоря (ток нагрузки) генератора постоянного тока на 5% относительно номинального значения напряжения на его выводах
понижается на 4%. Определите значение коэффициента статизма статической (внешней) характеристики генератора. - При уменьшении тока якоря (ток нагрузки) генератора постоянного тока на 50% относительно номинального значения напряжение на его
выводах повышается на 10%. Определите значение коэффициента статизма статической (внешней) характеристики генератора. - При увеличении тока статора (ток нагрузки) синхронного генератора постоянного тока на 5% относительно номинального значения
напряжение на его выводах снижается на 0.2%. Определите значение коэффициента статизма статической (внешней) характеристики генератора. - При уменьшении тока статора (ток нагрузки) синхронного генератора постоянного тока на 20% относительно номинального значения
напряжение на его выводах повышается на 0.5%. Определите значение коэффициента статизма статической (внешней) характеристики генератора. - Укажите правильное выражение переходной функции (при воздействии на входе в виде единичного скачка) элемента САУ с передаточной функцией
- Укажите правильное название функции вида
если
отношение степенных многочленов; P - оператор преобразования Лапласа; L^(-1) - символ обратного преобразования Лапласа.
- Укажите начальные условия, которым по определению соответствует понятие переходной функции САУ.
- Вставьте недостающее в определение: «… функция – это изменение во времени величины на выходе САУ (или отдельного элемента) при подаче на вход воздействия в виде заданной функции времени при нулевых начальных условиях».
- Укажите правильное выражение переходной функции (при воздействии на входе в виде единичного скачка) элемента САУ с передаточной функцией
- Укажите правильное выражение переходной функции (при воздействии на входе в виде единичного скачка) элемента САУ с передаточной функцией
- Укажите правильное выражение переходной функции (при воздействии на входе в виде единичного скачка) элемента САУ с передаточной функцией
- Укажите недостающие слова в определении: «… - это отношение синусоидальной величины на выходе САУ к синусоидальной величине на входе, выраженных в символической форме при заданной частоте».
- На вход элемента САУ с передаточной функцией
Подано синусоидальное воздействие с частотой ω = 1рад/с и амплитудой 2. Определите амплитуду синусоидальной величины на выходе.
- На вход элемента САУ с передаточной функцией
подано синусоидальное воздействие с частотой ω =0.5 рад/с. Определите сдвиг по фазе синусоидальной величины на выходе относительно входного воздействия.
- На вход элемента САУ с передаточной функцией
подано синусоидальное воздействие с частотой ω = 1рад/с и амплитудой 10. Определите амплитуду синусоидальной величины на выходе.
- На вход элемента САУ с передаточной функцией
подано синусоидальное воздействие с частотой ω = 1 рад/с. Определите сдвиг по фазе синусоидальной величины на выходе.
- На входы нескольких различных элементов САУ подается одно и тоже синусоидальное воздействие с заданной частотой, амплитудой и
начальной фазой. Чем в общем случае будут отличаться величины на выходах элементов в установившемся режиме? - На рисунке представлен годограф комплексной частотной характеристики (КЧХ) некоторого элемента САУ.
Из приведенных частотных характеристик выберите амплитудную частотную характеристику, соответствующую заданной КЧХ.
- Из приведенных соотношений выберите соответствующие комплексной частотной характеристике.
- Из приведенных соотношений выберите соответствующее амплитудной частотной характеристике.
- Из приведенных соотношений выберите соответствующее фазовой частотной характеристике.
- Из приведенных соотношений выберите соответствующее вещественной частотной характеристике.
- Из приведенных соотношений выберите соответствующее мнимой частотной характеристике.
- Каким по форме являются уравнения статики САУ?
- Какими по форме являются уравнения динамики САУ?
- Какому решению дифференциального уравнения соответствует свободный процесс в САУ?
- Полюсы передаточной функции САУ имеют значения:
Каким будет характер свободного движения САУ?
- Полюсы передаточной функции имеют значения:
Какой (или какие) из полюсов в основном определяет общую продолжительность свободного процесса в САУ.
- Из приведенных ниже выражений выберите дифференциальное уравнение возмущенного движения САУ, если
x1(t), x2(t)- воздействия на входе и выходе САУ; ai, bi, - постоянные коэффициенты; P - оператор преобразования Лапласа. - Из приведенных ниже выражений выберите дифференциальное уравнение свободного движения САУ, если
x1(t), x2(t)- воздействия на входе и выходе САУ; ai, bi, - постоянные коэффициенты; P - оператор преобразования Лапласа. - Из приведенных ниже выражений выберите характеристическое уравнение САУ, если
x1(t), x2(t)- воздействия на входе и выходе САУ; ai, bi, - постоянные коэффициенты; P - оператор преобразования Лапласа.
Список вопросов
Из приведенных соотношений выберите соответствующее вещественной частотной характеристике.
Что называется передаточной функцией САУ или отдельного ее элемента?
Укажите уравнение, корни которого являются полюсами передаточной функции
,если X1(p), X2(P)- изображения воздействий на входе и выходе, K(P), D(P) - степенные полиному (многочлена)?

Что называется полюсами передаточной функции
, если X1(p), X2(P)- изображения воздействий на входе и выходе, K(P), D(P) - степенные полиному (многочлена)?

Что называется нулем передаточной функции
, если X1(p), X2(P)- изображения воздействий на входе и выходе, K(P), D(P) - степенные полиному (многочлена)?

Укажите уравнение, корни которого являются полюсами передаточной функции
, если X1(p), X2(P)- изображения воздействий на входе и выходе, K(P), D(P) - степенные полиному (многочлена)?

При некотором значении оператора преобразования Лапласа передаточная функция САУ обращается в нуль. Как называется это значение?
При некотором значении оператора Лапласа передаточная функция САУ обращается в бесконечность. Как называется это значение?
Укажите соотношение показателей степени многочленов в выражении передаточной функции
, где ai, bi- постоянные коэффициенты; P - оператор преобразования Лапласа.

При подаче на вход некоторого элемента САУ воздействия x1(t) величина на выходе x2(t) изменяется в соответствии с дифференциальным уравнением вида
Определите полюсы передаточной функции САУ.

При подаче на вход некоторого элемента САУ воздействия x1(t) величина на выходе x2(t) изменяется в соответствии с дифференциальным уравнением вида
Определите нули передаточной функции САУ.



Укажите выражение передаточной функции W(P).
Что понимается под коэффициентом передачи САУ или отдельного ее элемента?
Какой режим работы САУ соответствует по определению понятию «коэффициент передачи»?
Элемент САУ имеет передаточную функцию
Укажите значение коэффициента передачи.

Элемент САУ имеет передаточную функцию
Укажите значение коэффициента передачи.

Элемент САУ имеет передаточную функцию
Укажите значение коэффициента передачи.



Укажите выражение, позволяющее определить коэффициент передачи САУ по известной передаточной функции W(P) .
Что характерно для САУ, статическая характеристика которой представлена на рисунке,
если
x - управляемая величина; x3 - заданное (предписанное) значение управляемой величины; f - возмущающее воздействие?

x - управляемая величина; x3 - заданное (предписанное) значение управляемой величины; f - возмущающее воздействие?
Укажите соотношение между значениями коэффициентов статизма статических характеристик двух САУ (1 и 2), представленных на рисунке, если
x - управляемая величина; x3 - заданное (предписанное) значение управляемой величины; f - возмущающее воздействие?

Определите значение коэффициента статизма САУ, имеющей по возмущающему воздействию передаточную функцию
где Δ X(P), Δ F(P)- изображения отклонений управляемой величины и возмущающего воздействия, соответственно.

При увеличении тока якоря (ток нагрузки) генератора постоянного тока на 5% относительно номинального значения напряжения на его выводах
понижается на 4%. Определите значение коэффициента статизма статической (внешней) характеристики генератора.
понижается на 4%. Определите значение коэффициента статизма статической (внешней) характеристики генератора.
При уменьшении тока якоря (ток нагрузки) генератора постоянного тока на 50% относительно номинального значения напряжение на его
выводах повышается на 10%. Определите значение коэффициента статизма статической (внешней) характеристики генератора.
выводах повышается на 10%. Определите значение коэффициента статизма статической (внешней) характеристики генератора.
При увеличении тока статора (ток нагрузки) синхронного генератора постоянного тока на 5% относительно номинального значения
напряжение на его выводах снижается на 0.2%. Определите значение коэффициента статизма статической (внешней) характеристики генератора.
напряжение на его выводах снижается на 0.2%. Определите значение коэффициента статизма статической (внешней) характеристики генератора.
При уменьшении тока статора (ток нагрузки) синхронного генератора постоянного тока на 20% относительно номинального значения
напряжение на его выводах повышается на 0.5%. Определите значение коэффициента статизма статической (внешней) характеристики генератора.
напряжение на его выводах повышается на 0.5%. Определите значение коэффициента статизма статической (внешней) характеристики генератора.
Укажите правильное выражение переходной функции (при воздействии на входе в виде единичного скачка) элемента САУ с передаточной функцией ![]()

Укажите правильное название функции вида
если
отношение степенных многочленов; P - оператор преобразования Лапласа; L^(-1) - символ обратного преобразования Лапласа.


Укажите начальные условия, которым по определению соответствует понятие переходной функции САУ.
Вставьте недостающее в определение: «… функция – это изменение во времени величины на выходе САУ (или отдельного элемента) при подаче на вход воздействия в виде заданной функции времени при нулевых начальных условиях».
Укажите правильное выражение переходной функции (при воздействии на входе в виде единичного скачка) элемента САУ с передаточной функцией ![]()

Укажите правильное выражение переходной функции (при воздействии на входе в виде единичного скачка) элемента САУ с передаточной функцией ![]()

Укажите правильное выражение переходной функции (при воздействии на входе в виде единичного скачка) элемента САУ с передаточной функцией ![]()

Укажите недостающие слова в определении: «… - это отношение синусоидальной величины на выходе САУ к синусоидальной величине на входе, выраженных в символической форме при заданной частоте».
На вход элемента САУ с передаточной функцией
Подано синусоидальное воздействие с частотой ω = 1рад/с и амплитудой 2. Определите амплитуду синусоидальной величины на выходе.

На вход элемента САУ с передаточной функцией
подано синусоидальное воздействие с частотой ω =0.5 рад/с. Определите сдвиг по фазе синусоидальной величины на выходе относительно входного воздействия.

На вход элемента САУ с передаточной функцией
подано синусоидальное воздействие с частотой ω = 1рад/с и амплитудой 10. Определите амплитуду синусоидальной величины на выходе.

На вход элемента САУ с передаточной функцией
подано синусоидальное воздействие с частотой ω = 1 рад/с. Определите сдвиг по фазе синусоидальной величины на выходе.

На входы нескольких различных элементов САУ подается одно и тоже синусоидальное воздействие с заданной частотой, амплитудой и
начальной фазой. Чем в общем случае будут отличаться величины на выходах элементов в установившемся режиме?
начальной фазой. Чем в общем случае будут отличаться величины на выходах элементов в установившемся режиме?
На рисунке представлен годограф комплексной частотной характеристики (КЧХ) некоторого элемента САУ.
Из приведенных частотных характеристик выберите амплитудную частотную характеристику, соответствующую заданной КЧХ.

Из приведенных соотношений выберите соответствующие комплексной частотной характеристике.
Из приведенных соотношений выберите соответствующее амплитудной частотной характеристике.
Из приведенных соотношений выберите соответствующее фазовой частотной характеристике.
Из приведенных соотношений выберите соответствующее мнимой частотной характеристике.
Каким по форме являются уравнения статики САУ?
Какими по форме являются уравнения динамики САУ?
Какому решению дифференциального уравнения соответствует свободный процесс в САУ?
Полюсы передаточной функции САУ имеют значения:
Каким будет характер свободного движения САУ?

Полюсы передаточной функции имеют значения:
Какой (или какие) из полюсов в основном определяет общую продолжительность свободного процесса в САУ.

Из приведенных ниже выражений выберите дифференциальное уравнение возмущенного движения САУ, если
x1(t), x2(t)- воздействия на входе и выходе САУ; ai, bi, - постоянные коэффициенты; P - оператор преобразования Лапласа.
x1(t), x2(t)- воздействия на входе и выходе САУ; ai, bi, - постоянные коэффициенты; P - оператор преобразования Лапласа.
Из приведенных ниже выражений выберите дифференциальное уравнение свободного движения САУ, если
x1(t), x2(t)- воздействия на входе и выходе САУ; ai, bi, - постоянные коэффициенты; P - оператор преобразования Лапласа.
x1(t), x2(t)- воздействия на входе и выходе САУ; ai, bi, - постоянные коэффициенты; P - оператор преобразования Лапласа.
Из приведенных ниже выражений выберите характеристическое уравнение САУ, если
x1(t), x2(t)- воздействия на входе и выходе САУ; ai, bi, - постоянные коэффициенты; P - оператор преобразования Лапласа.
x1(t), x2(t)- воздействия на входе и выходе САУ; ai, bi, - постоянные коэффициенты; P - оператор преобразования Лапласа.
Характеристики ответов (шпаргалок) к КР
Тип
Коллекция: Ответы (шпаргалки) к контрольной работе
Учебное заведение
Семестр
Номер задания
Программы
Теги
Просмотров
15
Качество
Идеальное компьютерное
Количество вопросов
Преподаватели

🎓Помощь студентам Ивановских ВУЗов🎓 ❤️ Каждая приобретенная работа служит стимулом для добавления новых материалов и упрощает учебный процесс.