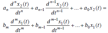
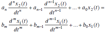
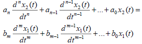
Из приведенных ниже выражений выберите характеристическое уравнение САУ, если x1(t), x2(t)- воздействия на входе и выходе САУ; ai, bi, - постоянные коэффициенты; P - оператор преобразования Лапласа.
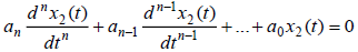
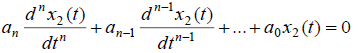
Из приведенных ниже выражений выберите дифференциальное уравнение свободного движения САУ, если x1(t), x2(t)- воздействия на входе и выходе САУ; ai, bi, - постоянные коэффициенты; P - оператор преобразования Лапласа.
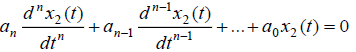
Из приведенных ниже выражений выберите дифференциальное уравнение возмущенного движения САУ, если x1(t), x2(t)- воздействия на входе и выходе САУ; ai, bi, - постоянные коэффициенты; P - оператор преобразования Лапласа.
На входы нескольких различных элементов САУ подается одно и тоже синусоидальное воздействие с заданной частотой, амплитудой и начальной фазой. Чем в общем случае будут отличаться величины на выходах элементов в установившемся режиме?
На вход элемента САУ с передаточной функцией подано синусоидальное воздействие с частотой ω = 1 рад/с. Определите сдвиг по фазе синусоидальной величины на выходе.
На вход элемента САУ с передаточной функцией подано синусоидальное воздействие с частотой ω = 1рад/с и амплитудой 10. Определите амплитуду синусоидальной величины на выходе.
На вход элемента САУ с передаточной функцией подано синусоидальное воздействие с частотой ω =0.5 рад/с. Определите сдвиг по фазе синусоидальной величины на выходе относительно входного воздействия.
На вход элемента САУ с передаточной функцией Подано синусоидальное воздействие с частотой ω = 1рад/с и амплитудой 2. Определите амплитуду синусоидальной величины на выходе.
Укажите недостающие слова в определении: «… - это отношение синусоидальной величины на выходе САУ к синусоидальной величине на входе, выраженных в символической форме при заданной частоте».
Вставьте недостающее в определение: «… функция – это изменение во времени величины на выходе САУ (или отдельного элемента) при подаче на вход воздействия в виде заданной функции времени при нулевых начальных условиях».
Укажите правильное название функции вида если отношение степенных многочленов; P - оператор преобразования Лапласа; L^(-1) - символ обратного преобразования Лапласа.
При уменьшении тока статора (ток нагрузки) синхронного генератора постоянного тока на 20% относительно номинального значения напряжение на его выводах повышается на 0.5%. Определите значение коэффициента статизма статической (внешней) характеристики генератора.
При увеличении тока статора (ток нагрузки) синхронного генератора постоянного тока на 5% относительно номинального значения напряжение на его выводах снижается на 0.2%. Определите значение коэффициента статизма статической (внешней) характеристики генератора.
При уменьшении тока якоря (ток нагрузки) генератора постоянного тока на 50% относительно номинального значения напряжение на его выводах повышается на 10%. Определите значение коэффициента статизма статической (внешней) характеристики генератора.
При увеличении тока якоря (ток нагрузки) генератора постоянного тока на 5% относительно номинального значения напряжения на его выводах понижается на 4%. Определите значение коэффициента статизма статической (внешней) характеристики генератора.
Определите значение коэффициента статизма САУ, имеющей по возмущающему воздействию передаточную функцию где Δ X(P), Δ F(P)- изображения отклонений управляемой величины и возмущающего воздействия, соответственно.
Укажите соотношение между значениями коэффициентов статизма статических характеристик двух САУ (1 и 2), представленных на рисунке, если x - управляемая величина; x3 - заданное (предписанное) значение управляемой величины; f - возмущающее воздействие?
Что характерно для САУ, статическая характеристика которой представлена на рисунке, если x - управляемая величина; x3 - заданное (предписанное) значение управляемой величины; f - возмущающее воздействие?
При подаче на вход некоторого элемента САУ воздействия x1(t) величина на выходе x2(t) изменяется в соответствии с дифференциальным уравнением вида Определите нули передаточной функции САУ.
При подаче на вход некоторого элемента САУ воздействия x1(t) величина на выходе x2(t) изменяется в соответствии с дифференциальным уравнением вида Определите полюсы передаточной функции САУ.
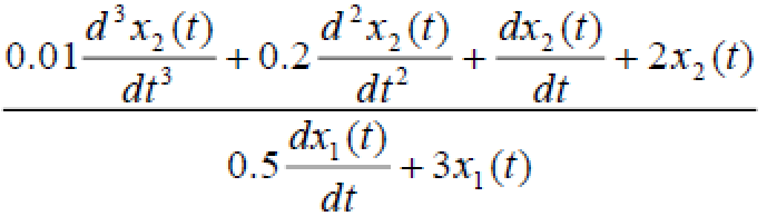
Укажите соотношение показателей степени многочленов в выражении передаточной функции , где ai, bi- постоянные коэффициенты; P - оператор преобразования Лапласа.
Укажите уравнение, корни которого являются полюсами передаточной функции , если X1(p), X2(P)- изображения воздействий на входе и выходе, K(P), D(P) - степенные полиному (многочлена)?
Что называется нулем передаточной функции , если X1(p), X2(P)- изображения воздействий на входе и выходе, K(P), D(P) - степенные полиному (многочлена)?
Что называется полюсами передаточной функции , если X1(p), X2(P)- изображения воздействий на входе и выходе, K(P), D(P) - степенные полиному (многочлена)?
Укажите уравнение, корни которого являются полюсами передаточной функции ,если X1(p), X2(P)- изображения воздействий на входе и выходе, K(P), D(P) - степенные полиному (многочлена)?
Зачем заказывать выполнение своего задания, если оно уже было выполнено много много раз? Его можно просто купить или даже скачать бесплатно на СтудИзбе. Найдите нужный учебный материал у нас!
Да! У нас любой человек может выложить любую учебную работу и зарабатывать на её продажах! Но каждый учебный материал публикуется только после тщательной проверки администрацией.
Вернём деньги! А если быть более точными, то автору даётся немного времени на исправление, а если не исправит или выйдет время, то вернём деньги в полном объёме!
Да! На равне с готовыми студенческими работами у нас продаются услуги. Цены на услуги видны сразу, то есть Вам нужно только указать параметры и сразу можно оплачивать.
Отзывы студентов
Ставлю 10/10 Все нравится, очень удобный сайт, помогает в учебе. Кроме этого, можно заработать самому, выставляя готовые учебные материалы на продажу здесь. Рейтинги и отзывы на преподавателей очень помогают сориентироваться в начале нового семестра. Спасибо за такую функцию. Ставлю максимальную оценку.
Лучшая платформа для успешной сдачи сессии Познакомился со СтудИзбой благодаря своему другу, очень нравится интерфейс, количество доступных файлов, цена, в общем, все прекрасно. Даже сам продаю какие-то свои работы.
Студизба ван лав ❤ Очень офигенный сайт для студентов. Много полезных учебных материалов. Пользуюсь студизбой с октября 2021 года. Серьёзных нареканий нет. Хотелось бы, что бы ввели подписочную модель и сделали материалы дешевле 300 рублей в рамках подписки бесплатными.
Отличный сайт Лично меня всё устраивает - и покупка, и продажа; и цены, и возможность предпросмотра куска файла, и обилие бесплатных файлов (в подборках по авторам, читай, ВУЗам и факультетам). Есть определённые баги, но всё решаемо, да и администраторы реагируют в течение суток.
Маленький отзыв о большом помощнике! Студизба спасает в те моменты, когда сроки горят, а работ накопилось достаточно. Довольно удобный сайт с простой навигацией и огромным количеством материалов.
Студ. Изба как крупнейший сборник работ для студентов Тут дофига бывает всего полезного. Печально, что бывают предметы по которым даже одного бесплатного решения нет, но это скорее вопрос к студентам. В остальном всё здорово.
Спасательный островок Если уже не успеваешь разобраться или застрял на каком-то задание поможет тебе быстро и недорого решить твою проблему.
Всё и так отлично Всё очень удобно. Особенно круто, что есть система бонусов и можно выводить остатки денег. Очень много качественных бесплатных файлов.
Отзыв о системе "Студизба" Отличная платформа для распространения работ, востребованных студентами. Хорошо налаженная и качественная работа сайта, огромная база заданий и аудитория.
Отличный помощник Отличный сайт с кучей полезных файлов, позволяющий найти много методичек / учебников / отзывов о вузах и преподователях.
Отлично помогает студентам в любой момент для решения трудных и незамедлительных задач Хотелось бы больше конкретной информации о преподавателях. А так в принципе хороший сайт, всегда им пользуюсь и ни разу не было желания прекратить. Хороший сайт для помощи студентам, удобный и приятный интерфейс. Из недостатков можно выделить только отсутствия небольшого количества файлов.
Спасибо за шикарный сайт Великолепный сайт на котором студент за не большие деньги может найти помощь с дз, проектами курсовыми, лабораторными, а также узнать отзывы на преподавателей и бесплатно скачать пособия.
Этот сайт использует файлы cookie и рекомендательные технологии для улучшения работы и персонализации контента. Продолжая использовать сайт, вы соглашаетесь с этим.