Ответ на вопрос №310930: Переходный процесс в элементе САУ определяется линейнымдифференциальным уравнением Укажите выражение передаточной функции W(P). не знаю Переходный процесс в элементе САУ определяется - Ответ на вопрос №310930Переходный процесс в элементе САУ определяется - Ответ на вопрос №310930
2025-03-162025-03-16СтудИзба
Переходный процесс в элементе САУ определяется - Ответ на вопрос №310930
-47%
Вопрос
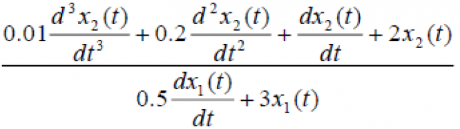
Переходный процесс в элементе САУ определяется линейнымдифференциальным уравнением
Укажите выражение передаточной функции W(P).
Ответ
Этот вопрос в коллекциях

🎓Помощь студентам Ивановских ВУЗов🎓 ❤️ Каждая приобретенная работа служит стимулом для добавления новых материалов и упрощает учебный процесс.




















