Разбор задач: уравнения, площадь и объём
Задача: Исследование функций, вычисление площадей и объёмов, решения ОДУ
Задание 1
№ варианта 5
ЗАДАНИЕ 1 по дисциплине «Математике»
Задание. Исследование функция
1. Провести полное исследование функции
2. Построить график функции уравнения
Задание 2
№ варианта 5
ЗАДАНИЕ 2 по дисциплине «Математике»
Задание 2. Вычислить площадь и объем фигуры
1. Найти площадь фигуры, ограниченной линиями.
2. Найти площадь фигуры, ограниченной параболой y = -x2 + 8x и осью OX.
3. Найти объем тела, полученного при вращении вокруг оси OX фигуры, ограниченной гиперболой
x2 - y2 = 1, прямой
и осью OX.
Задание 3
№ варианта 5
ЗАДАНИЕ 3 по дисциплине «Математике»
Задание 3
Дифференциальные уравнения
Найти общий интеграл дифференциального уравнения. Проверить правильность решения подстановкой.
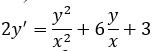
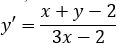
a)
б)
Показать/скрыть дополнительное описание
№ варианта 5
ЗАДАНИЕ 1 по дисциплине «Математике»
Задание. Исследование функция
1. Провести полное исследование функции
2. Построить график функции уравнения
Задание 2
№ варианта 5
ЗАДАНИЕ 2 по дисциплине «Математике»
Задание 2. Вычислить площадь и объем фигуры
1. Найти площадь фигуры, ограниченной линиями.
2. Найти площадь фигуры, ограниченной параболой y = -x2 + 8x и осью OX. 3. Найти объем тела, полученного при вращении вокруг оси OX фигуры, ограниченной гиперболой
x2 - y2 = 1, прямой
и осью OX. Задание 3
№ варианта 5
ЗАДАНИЕ 3 по дисциплине «Математике»
Задание 3
Дифференциальные уравнения
Найти общий интеграл дифференциального уравнения. Проверить правильность решения подстановкой.
a)
б)
Показать/скрыть дополнительное описаниеВ работе выполнено полное исследование функции y=x^3/(x^2−4), вычислены площади для параметрических и полярных кривых и объём тела вращения. Приведены решения двух дифференциальных уравнений с проверкой — пригодно для подготовки к зачёту..
Характеристики решённой задачи
Предмет
Учебное заведение
Семестр
Просмотров
7
Размер
144,14 Kb
Список файлов
Задание_1.docx
Задание_2.docx
Задание_3.docx
🎓 Никольский - Помощь студентам 📚 Любые виды работ: тесты, сессии под ключ, практики, курсовые и дипломные с гарантией результата ✅ Все услуги под ключ ✅ Знаем все тонкости именно вашего ВУЗа ✅ Сдадим или вернем деньги
Комментарии
Нет комментариев
Стань первым, кто что-нибудь напишет!
ЮУрГУ
nikolskypomosh














