Практические решения: пределы, производные и интегралы
Задача: Практические задания по математике: пределы, производные и интегралы
Кафедра экономики и управления
ВЫПОЛНЕНИЕ ПРАКТИЧЕСКИХ ЗАДАНИЙ ПО ДИСЦИПЛИНЕ
Математика
Практическое занятие 1 «Пределы функций»
по теме №1 Числовые последовательности и предел числовой последовательности. Предел и непрерывность функции одной переменной.
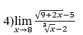
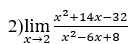
Вычислить пределы функций:
Практическое занятие 2
«Производные функций»
по темам №2 Производная и исследование функции одной переменной и №3 Исследование функций нескольких переменных
1. Найти уравнение касательной в точке касания с x0 = 1 к функции y = x4 - 3x2 + 2x - 1
2. Найти производную сложной функции:
3. Найти вторую производную функции: (sin x2)'' 4. Найти частные производные функции двух переменных z = z (x,y):
Практическое занятие 3
«Интегралы»
по теме №4 Неопределенные и определенные интегралы
1. Вычислить неопределенный интеграл, используя метод подведения под знак дифференциала:
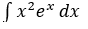
2. Вычислить неопределенный интеграл, используя интегрирование по частям:
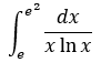
3. Вычислить определенный интеграл, используя формулу Ньютона- Лейбница:
4. Вычислить площадь фигуры, ограниченную осью Ох и функцией, на заданном интервале:
Показать/скрыть дополнительное описаниеПрактические задания по математике с подробными решениями по пределам, дифференцированию и интегралам. Включены численные ответы, примеры применения приёмов и задача на площадь криволинейной фигуры для самопроверки..
Характеристики решённой задачи
Предмет
Учебное заведение
Семестр
Просмотров
4
Размер
25,42 Kb
Список файлов
Письменная_работа.docx
🎓 Никольский - Помощь студентам 📚 Любые виды работ: тесты, сессии под ключ, практики, курсовые и дипломные с гарантией результата ✅ Все услуги под ключ ✅ Знаем все тонкости именно вашего ВУЗа ✅ Сдадим или вернем деньги
Комментарии
Нет комментариев
Стань первым, кто что-нибудь напишет!
ММУ
nikolskypomosh















