Для студентов ТулГУ по предмету МатематикаМатематикаМатематика
5,0055473
2025-06-122025-06-12СтудИзба
☀️Математика 1 семестр | ТУлГУ сборник ответов на все тесты☀️
ДЗ Ответы на тесты: Математика
-14%
Описание
▶️ Ответы на все тесты (жми на текст) 😎 ◀️
▶️ Готовые лабораторные работы, практические задания, услуги (жми на текст)🔥◀️
Ответы к дисциплине Математика (215 вопросов с правильными ответами) для ТулГУ, помогут при сдаче экзамена/итоговой аттестации или зачёта :)
Для поиска нужного вопроса, воспользуйтесь поиском ниже
Показать/скрыть дополнительное описание
▶️ Готовые лабораторные работы, практические задания, услуги (жми на текст)🔥◀️
Ответы к дисциплине Математика (215 вопросов с правильными ответами) для ТулГУ, помогут при сдаче экзамена/итоговой аттестации или зачёта :)
Для поиска нужного вопроса, воспользуйтесь поиском ниже

Математика 1 семестр ТулГУ ответы на тест зачёт экзамен итоговая аттестация.
Список вопросов
Базис пространства образуют только линейно независимые векторы. Верно?
В треугольнике АВС справедливы следующие векторные равенства:
Вектор можно разложить по базису единственным способом. Верно?
Векторы, лежащие в одной плоскости :
Верны ли равенства
А) (A·B)– 1 = A– 1 · B– 1,
Б) det(A– 1) = (detA)– 1
А) (A·B)– 1 = A– 1 · B– 1,
Б) det(A– 1) = (detA)– 1
Возведите матрицу
в квадрат. В ответе укажите сумму элементов полученной матрицы.

Выберите наиболее точное продолжение фразы: если f(x) в окрестности точки a можно представить как сумму константы A и бесконечно малой, то f(x) при x → a
Выберите наиболее точное продолжение фразы: если f(x) и g(x) бесконечно малые в окрестности точки a, то величина f(x) / g(x) в той же окрестности
Выберите наиболее точное продолжение фразы: если f(x) и g(x) эквивалентные бесконечно малые в окрестности точки a, то их разность в той же окрестности
Выберите наиболее точное продолжение фразы: если f(x) и f(x)+g(x) бесконечно малые в окрестности точки a, то g(x) в той же окрестности…
Выберите наиболее точное продолжение фразы: если функция f(x) непрерывна на отрезке [a; b], то она
Выберите наиболее точное продолжение фразы: если функция f(x) ограничена в некоторой окрестности точки a, то она…
Выберите наиболее точное продолжение фразы: если касательная к графику y(x) в точке a параллельна оси Ox, то функция y(x) в этой точке
Выберите наиболее точное продолжение фразы: если при x → a функция f(x) имеет конечный предел, то предел f(x) + g(x) при x → a
Выберите наиболее точное продолжение фразы: если при x → a функция f(x) имеет конечный предел, то предел произведения f(x) g(x) при x → a
Выберите наиболее точное продолжение фразы: если функция f(x) непрерывна на отрезке [a;b], то она
Выберите неверное продолжение фразы: если функция f(x) непрерывна на отрезке [a; b], то на этом отрезке она
Выберите правильное продолжение если фразы: если функция c·f(x) бесконечно большая в окрестности точки a, а c – константа, то f(x) в той же окрестности…
Выберите правильное продолжение если фразы: если функция f(x) бесконечно большая в окрестности точки a, а c – константа, то f(x) + c в той же окрестности
Выберите правильное продолжение если фразы: если функция f(x) бесконечно большая в окрестности точки a, а c – константа, то c · f(x) в той же окрестности
Выберите правильное продолжение если фразы: если функция f(x) бесконечно большая в окрестности точки a, то величина 1/f(x) в той же окрестности
Выберите правильное продолжение фразы: если f(x) и f(x)+g(x) непрерывны в точке a,
Выберите правильное продолжение фразы: если f(x) и g(x) непрерывны в точке a, то их произведение…
Выберите правильное продолжение фразы: если f(x) и g(x) непрерывны в точке a, то их сумма…
Выберите правильное продолжение фразы: если f(x) имеет конечный предел A при x → a (a конечно), то в точке a…
Выберите правильное продолжение фразы: если f(x) имеет конечный предел A при x → a (a конечно), то в точке a…
Выберите правильное продолжение фразы: если lim(x→a) f(x) = 0 и lim(x→a) g(x) = 0, то lim(x→a) f(x)/g(x) равен:
Выберите правильное продолжение фразы: если lim(x→a) f(x) = ∞ и lim(x→a) g(x) = b, то lim(x→a) f(x)/g(x) равен:
Выберите правильное продолжение фразы: если lim(x→a) f(x) = ∞ и lim(x→a) g(x) = ∞, то lim(x→a) f(x)/g(x) равен
Выберите правильное продолжение фразы: если y`(a) либо равна нулю, либо не существует, то в этой точке непрерывная функция y(x)…
Выберите правильное продолжение фразы: если y`(a)<0, то касательная к графику y(x) в точке a образует
Выберите правильное продолжение фразы: если y`(a)=0, то касательная к графику y(x) в точке a образует
Выберите правильное продолжение фразы: если y`(a)>0, то касательная к графику y(x) в точке a образует
Выберите правильное продолжение фразы: если y`(a)>0, то функция y(x) в точке a…
Выберите правильное продолжение фразы: если y`(a) = – 1, то функция y(x) в точке a…
Выберите правильное продолжение фразы: если y`(a)=1, то функция y(x) в точке a…
Выберите правильное продолжение фразы: если y`(a)=√3, то угол между касательной к y(x) в точке a и осью Ox равен (в градусах)
Выберите правильное продолжение фразы: если в точке a непрерывная функция y(x) имеет максимум и дифференцируема, то…
Выберите правильное продолжение фразы: если в точке a непрерывная функция y(x) имеет минимум и дифференцируема, то…
Выберите правильное продолжение фразы: если в точке a непрерывная функция y(x) имеет экстремум и дифференцируема, то
Выберите правильное продолжение фразы: если касательная к графику y(x) в точке a образует острый угол с осью Ox, то…
Выберите правильное продолжение фразы: если предел f(x) при x→a равен бесконечности, то предел 1/f(x) равен
Выберите правильное продолжение фразы: если при x→a функция f(x) имеет предел, то…
Выберите правильное продолжение фразы: если угол между касательной к графику y(x) в точке a и осью Ox равен п/3, то…
Выберите правильное продолжение фразы: если функция f(x) непрерывна на отрезке [a; b] и f(a)<0, а f(b)>0, то уравнение f(x) = 0 на этом отрезке
Выберите правильное продолжение фразы: если функция y(x) в точке a возрастает, то…
Выберите правильное продолжение фразы: если функция y(x) имеет дифференциал в точке a, то в этой точке она
Выберите правильное продолжение фразы: если функция y(x) имеет дифференциал в точке a, то она в этой точке…
Выберите правильное продолжение фразы: если функция y(x) имеет производную в точке a, то в этой точке она…
Выберите правильное продолжение фразы: если функция y(x) непрерывна в точке a, то в этой точке она…
Выберите правильное продолжение фразы: производная y`(x) определяется по формуле…
Выберите правильное продолжение фразы: функция f(x) называется бесконечно малой в окрестности точки a, если
Выберите правильное продолжение фразы: функции f(x) и g(x) называются бесконечно большими одного порядка в окрестности точки a, если…
Выберите правильное продолжение фразы: функция y = sinx при x → ∞
Выберите правильное продолжение фразы: функция y = tgx при x → ∞ …
Выберите правильное продолжение фразы: функция y = x/x+1 непрерывна…
Дана матрица
Чему равно алгебраическое дополнение элемента a32

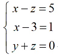
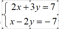
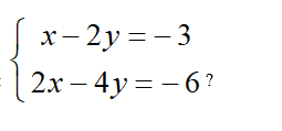
Дана система двух линейных алгебраических уравнений. Сколько решений может иметь система, если ∆ = 0, а ∆х ≠ 0:
Даны точки М1 (1; 2; 3) и М2 (3; -4; 6). Длина вектора М1М2 равна:
Для каких матриц А размера m × n существует сумма матрицы А и транспонированной матрицы?
Для матрицы
найти алгебраическое дополнение для элемента a23

Для матриц каких размерностей определена операция умножения?
Если вектор a перпендикулярен вектору b, то скалярное произведение равно:
Если вектор нормали к плоскости имеет координаты (0; 0; 1), то эта плоскость
Если вектор нормали к плоскости имеет координаты (0; 1; 0), то эта плоскость
Если вектор нормали к плоскости имеет координаты (1; 1; 0), то эта плоскость
Если вектор с координатами (0; 3) является вектором нормали к прямой на плоскости, то эта прямая
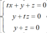
Если выполняется равенство Ax = λx при x ≠ 0, то λ называется:
Если имеет место следующее тождество a + b = b + a (a и b - векторы), то это свойство векторного сложения называется
Если направляющий вектор прямой в пространстве имеет координаты (1; 0; 0), то эта прямая
Если направляющий вектор прямой в пространстве имеет координаты (0; 0; 1), то эта прямая
Если направляющий вектор прямой на плоскости имеет координаты (1; 2), то угловой коэффициент прямой равен:
Если направляющий вектор прямой в пространстве имеет координаты (1; 2; 1), то плоскость х + 2у + z + 3 = 0
Если направляющий вектор прямой на плоскости имеет координаты (1; 2), то угловой коэффициент прямой равен
Если направляющий вектор прямой в пространстве имеет координаты (1; 0; 1), то эта прямая
Если нормаль к плоскости имеет координаты (1; 2; 1), то для прямой, перпендикулярной данной плоскости, этот вектор является
Если переставить местами две строки определителя, то определитель:
Если плоскость задана уравнением Ax + By + Cz + D = 0, то вектор с координатами (А; В; С)
Если плоскость параллельна координатной плоскости Оxу, то ее вектор нормали может иметь координаты
Если плоскость параллельна координатной плоскости Охz, то ее вектор нормали может иметь координаты
Если плоскость параллельна оси абсцисс, то ее вектор нормали может иметь координаты
Если плоскость параллельна оси аппликат, то ее вектор нормали может иметь координаты
Если прямая в пространстве задана уравнениями x = 2; y = t ; z = 2, то она
Если прямая в пространстве задана уравнениями x = 2t; y = t ; z = 2, то она
Если прямая в пространстве задана уравнениями x = 2t; y = 1 ; z = 2t, то она
Если прямая в пространстве параллельна координатной плоскости Oxy, то ее направляющий вектор может иметь координаты
Если прямая в пространстве параллельна координатной плоскости Oyz, то ее направляющий вектор может имеет координаты
Если прямая в пространстве параллельна оси ординат, то ее направляющий вектор может иметь координаты
Если прямая задана уравнениями х = 2 + t; y = 3 - t; z = 3, где t - параметр, то направляющий вектор этой прямой имеет координаты
Если прямая на плоскости задается уравнением y =x, то она
Если прямая на плоскости задана уравнением Ax + By + C = 0, то вектор с координатами (A, B) является:
Если прямая на плоскости задана уравнением Ax + By + C = 0, то угловой коэффициент этой прямой равен
Если прямая на плоскости задана уравнением 2x + y + 1 = 0, то вектор нормали к ней имеет координаты:
Если прямая на плоскости задана уравнением 5x – y + 3 = 0, то она пересекает ось абсцисс в точке с координатами
Если прямая на плоскости задана уравнением 5x – y + 3 = 0, то она пересекает ось ординат в точке с координатами
Если прямая на плоскости параллельна оси абсцисс, то вектор нормали к ней может иметь координаты:
Если прямая на плоскости проходит через точки с координатами (1; 5) и (-2; 3), то ее направляющий вектор может иметь координаты
Если строку умножить на «-2», то определитель:
Если угловой коэффициент одной прямой на плоскости равен 4, а другой -0,25, то эти прямые
Если угловой коэффициент прямой на плоскости равен нулю, то эта прямая
Характеристики домашнего задания
Тип
Коллекция: Домашнее задание
Предмет
Учебное заведение
Номер задания
Теги
Просмотров
14
Качество
Идеальное компьютерное
Количество вопросов

📚Помощь в сдаче любых видов работ✒️Более 6000 готовых студенческих работ и тестов для НСПК, ОСЭК, НИИДПО, НАДПО и других ВУЗов👨🏫Гарантирую результат или полностью верну деньги!✅💰