Ответы к заданиям: Практическое задание по дисциплине математика
Новинка
Описание
1.Выполнить деление комплексных чисел
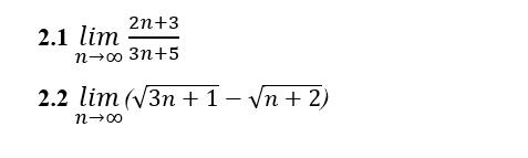
2. Вычислить пределы последовательностей
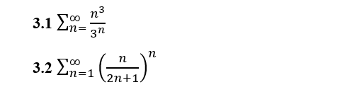
3.Используя признаки Даламбера и Коши исследовать сходимость рядов
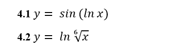
4. Найти производные сложных функций
5. Вычислить неопределенный интеграл
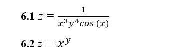
6. Найти частные производные первого и второго порядка
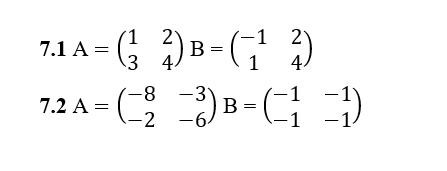
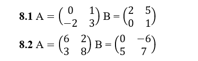
7. Найти сумму матриц
8. Найти произведение матриц
9. Найти определители матриц
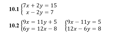
10. Решить систему уравнений
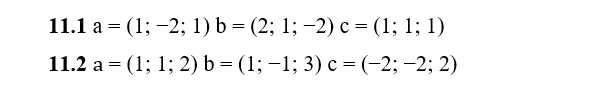
11. Для заданных векторов найти смешанное произведение
![]()
2. Вычислить пределы последовательностей
3.Используя признаки Даламбера и Коши исследовать сходимость рядов
4. Найти производные сложных функций
5. Вычислить неопределенный интеграл
6. Найти частные производные первого и второго порядка
7. Найти сумму матриц
8. Найти произведение матриц
9. Найти определители матриц
10. Решить систему уравнений
11. Для заданных векторов найти смешанное произведение

Файлы условия, демо
Характеристики ответов (шпаргалок) к заданиям
Предмет
Учебное заведение
Семестр
Просмотров
4
Размер
28,89 Kb
Список файлов
Задание_Математика.docx
Комментарии
Нет комментариев
Стань первым, кто что-нибудь напишет!
ММУ
















