Для студентов МГТУ им. Н.Э.Баумана по предмету Математический анализПределы и непрерывность функцийПределы и непрерывность функций
5,0055
2023-10-112025-04-12СтудИзба
ДЗ 1.2: Пределы и непрерывность функций вариант 9
-66%
Описание
Вариант 9 - ДЗ №2 - Пределы и непрерывность функций - МТ,РК,ИБМ,Э5,ФН1
Зачтено на максимальный балл 💥 💥 💥
Спасибо за покупку 🥰🥰🥰

Пример решения
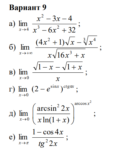
Задача 1 
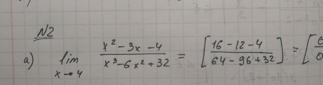
Задача 2

Характеристики домашнего задания
Предмет
Учебное заведение
Семестр
Номер задания
Вариант
Просмотров
184
Размер
583,85 Kb
Список файлов
Вариант 9 - ДЗ №2 - Пределы и непрерывность функций - МТ, СМ.pdf

Друзья, спасибо за доверие! Если вам понравилась работа – поставьте 5⭐ и напишите отзыв. Это поможет другим студентам, а мне даст силы делать ещё больше качественных материалов для вас 🔥