Для студентов МГТУ им. Н.Э.Баумана по предмету Математический анализПределы и непрерывность функцийПределы и непрерывность функций
5,005172
2022-09-282025-09-09СтудИзба
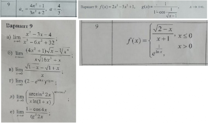
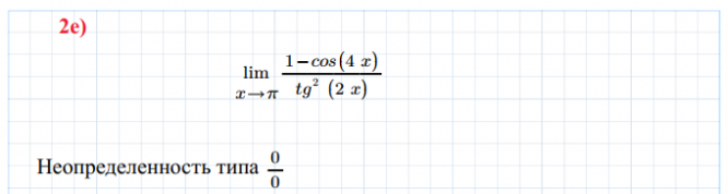
ДЗ 1.2: Пределы и непрерывность функций вариант 9
-51%
Описание
РЕШЕНИЕ ДЗ №2 - ПРЕДЕЛЫ И НЕПРЕРЫВНОСТЬ ФУНКЦИЙ (Фотка на доске в УЛК)
- Пределы вычислены шаг за шагом (Step by step) с подробными объяснениями
- Результаты проверены программой MathCAD Prime
- Решение полного ДЗ (4 задачи)

ДЕМО











Характеристики домашнего задания
Предмет
Учебное заведение
Семестр
Номер задания
Вариант
Программы
Просмотров
117
Качество
Идеальное компьютерное
Размер
12,09 Mb
Список файлов
Вариант 9.pdf

Если работа Вам была полезна, Пожалуйста, потратьте несколько секунд, чтобы оставить нам 5 ЗВЁЗД и положительный отзывы. Мы Вам глубоко признателены!
Комментарии

kryukov_nikita.04: все верно
Очень рад когда Вам помог ❤️

Отзыв
все верно