Для студентов МГТУ им. Н.Э.Баумана по предмету Математический анализПределы и непрерывность функцийПределы и непрерывность функций
5,0055
2022-10-182025-09-01СтудИзба
Услуга: Пределы и непрерывность функций
-22%
Описание
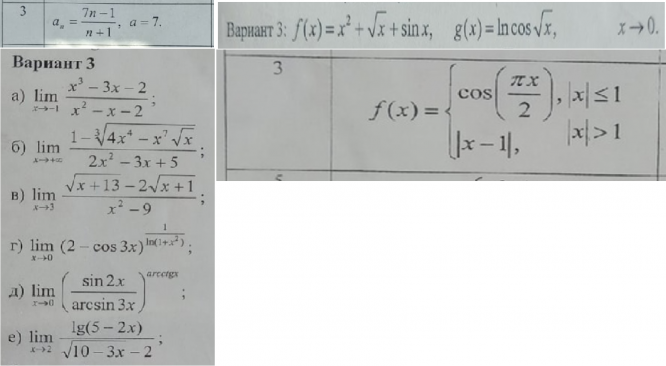
РЕШЕНИЕ ДЗ №2 - ПРЕДЕЛЫ И НЕПРЕРЫВНОСТЬ ФУНКЦИЙ (Фотка на доске в УЛК) БУДЕТ:
- Пределы вычислены шаг за шагом (Step by step) с подробными объяснениями
- Результаты проверены программой MathCAD Prime
- Решение полного ДЗ (4 задачи)
⏩ПРИМЕРЫ РЕШЕННЫХ ДЗ
https://studizba.com/file...ant-3-predely-i.html


Характеристики домашнего задания
Предмет
Учебное заведение
Семестр
Номер задания
Просмотров
207
Качество
Идеальное компьютерное
Срок выполнения
2 суток

Если работа Вам была полезна, Пожалуйста, потратьте несколько секунд, чтобы оставить нам 5 ЗВЁЗД и положительный отзывы. Мы Вам глубоко признателены!