Для студентов МГТУ им. Н.Э.Баумана по предмету Математический анализЭлементарные функции и их графикиЭлементарные функции и их графики
5,0054
2023-03-062025-04-09СтудИзба
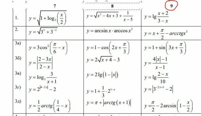
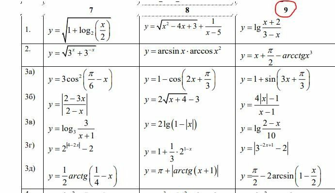
ДЗ 1.1: Элементарные функции и их графики вариант 9
-66%
Описание
Вариант 9 - ДЗ №1 - Элементарные функции и их графики - СМ,ФН,РК4,ФН2
Зачтено на максимальный балл 💥 💥 💥
Спасибо за покупку 🥰🥰 ![]()
Пример решения:



Файлы условия, демо
Характеристики домашнего задания
Предмет
Учебное заведение
Семестр
Номер задания
Вариант
Просмотров
157
Качество
Скан рукописных листов
Размер
7,06 Mb
Список файлов
Вариант 9 - ДЗ №1 - Элементарные функции и их графики -ФН2.docx

Друзья, спасибо за доверие! Если вам понравилась работа – поставьте 5⭐ и напишите отзыв. Это поможет другим студентам, а мне даст силы делать ещё больше качественных материалов для вас 🔥