Лк9 (975656), страница 2
Текст из файла (страница 2)
Чем больше отношение R0/
тем лучше стабилизация. Ток стабилизации (рис. 14.6, а)
(14.1)
Напряжение источника питания
определяется как сумма падений напряжений на стабилитроне и балластном резисторе R0 (рис. 14.4, б):
(14.2)
Нестабильность выходного напряжения вызывается двумя основными причинами: нестабильностью входного напряжения
и нестабильностью входного тока (нестабильностью сопротивления нагрузки Rн).
При изменении входного напряжения в пределах
напряжение на стабилитроне и нагрузке изменится на величину
Из (14.2) получим
откуда
Из (14.4) видно, что при
, т е. изменение напряжения на стабилитроне (на выходе) значительно меньше, чем изменение напряжения на входе.
При изменении тока нагрузки
, что равносильно изменению сопротивления
ток через стабилитрон устанавливается таким, что полный ток
и напряжение на стабилитроне Uст остаются практически постоянными. Допустим, что при изменении сопротивления
ток нагрузки возрос на величину
. Тогда ток в неразветвленной части цепи
казалось бы, должен возрасти на такую же величину, а напряжение на нагрузке и стабилитроне – снизиться на
. В действительности этого не происходит, так как даже небольшое снижение напряжения на стабилитроне вызывает резкое уменьшение тока через него. Поэтому результирующее изменение тока в неразветвленной цени
, т. е. возрастание тока в нагрузке
компенсируется снижением его в стабилитроне –
, так что значение
будет малым и полный ток
останется практически неизменным. Результирующее изменение напряжения на нагрузке при этом также будет незначительным:
Стабилотроны изготовляют в основном из кремния, обеспечивающего низкий ток насыщения.
14.3 Туннельные диоды
Туннельный диод был предложен в 1958 году Лео Исаки, который в 1973 году получил Нобелевскую премию по физике за открытие эффекта туннелирования электронов, применяемого в этих диодах.
Туннельным диодом называют полупроводниковый диод на основе p+n+-перехода с сильнолегированными областями, на прямом участке ВАХ которого наблюдается N-образная зависимость тока от напряжения.
Если концентрация доноров и акцепторов в эмиттере и базе диода будет NA, ND~1020 см-3, то концентрация основных носителей будет много больше эффективной плотности состояний в разрешенных зонах pp0, nn0 >> NC, NV. В этом случае уровень Ферми будет находиться в разрешенных зонах p+- и n+-полупроводников. В полупроводнике n+ типа все состояния в зоне проводимости вплоть до уровня Ферми заняты электронами, а в полупроводнике p+-типа - дырками.
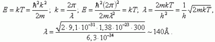
Рассчитаем, чему равна геометрическая ширина вырожденного pn-перехода. Будем считать, что при этом сохраняется несимметричность pn-перехода (p+- более сильнолегированная область). Тогда ширина p+n+-перехода мала:
Длину волны де Бройля электрона оценим из простых соотношений:
Таким образом, геометрическая ширина p+n+-перехода оказывается сравнима с дебройлевской длиной волны электрона. В этом случае в вырожденном p+n+-переходе можно ожидать проявления квантово-механических эффектов, одним из которых является туннелирование через потенциальный барьер.
|
|
| Рис. 14.6. Зонные диаграммы и ВАХ туннельного диода при прямом смещении |
| Рис. 14.7. Энергетические диаграммы и ВАХ туннельного диода при: а – отсутствии смещения; б – небольшом прямом смещении; в – смещении, соответствующем максимальному туннельному току; г – смещении, соответствующем участку с ОП; д – смещении, соответствующем нулевому туннельному току; е – смещении, вызывающем диффузионный ток; ж – обратном смещении (1 – зоне акцепторных примесей; 2 – зона донорных примесей) |
На рис. 14.6, 14.7 показаны зонные диаграммы типичного туннельного диода при обратном и прямом смещении, соответствующие различным точкам на ВАХ.
Поскольку туннельные переходы происходят без рассеяния, то есть с сохранением энергии туннелирующей частицы, то на зонной диаграмме эти процессы будут отражены прямыми горизонтальными линиями.
Проанализируем особенности ВАХ туннельного диода. На участке 1 (рис. 14.6,а) при обратном напряжении ток в диоде обусловлен туннельным переходом электронов из валентной зоны полупроводника p+-типа на свободные места в зоне проводимости полупроводника n+- типа без изменения энергии. Поскольку концентрация электронов и число мест велики, то туннельный ток резко возрастает с ростом обратного напряжения. Такое поведение ВАХ резко отличает туннельный диод от обычного выпрямительного диода.
При нулевом смещении переходы зона-зона невозможны и ток равен нулю (рис. 14.6,б).
При небольшом прямом напряжении напротив электронов зоны проводимости полупроводника n+ – типа начинают появляться свободные места в валентной зоне п/п p+–типа при той же самой энергии. По мере роста напряжения число прямых переходов возрастает, и ток растет с ростом напряжения. Туннельный ток достигает максимума, когда все свободные места в валентной зоне полупроводника p+–типа оказываются по энергии напротив энергетических уровней, занятых электронами в зоне проводимости полупроводника n+ –типа (рис. 14.6,в). Затем, по мере роста прямого напряжения, число этих свободных мест начинает уменьшаться, поскольку по энергии напротив уровней, занятых электронами в зоне проводимости полупроводника n+–типа оказываются состояния в запрещенной зоне полупроводника p+–типа (энергетические уровни в идеальных полупроводниках в запрещенной зоне отсутствуют) (рис. 14.6,г). На этом участке туннельный ток уменьшается с ростом напряжения и превращается в ноль, когда запрещенная зона p+ полупроводника будет находиться по энергии напротив уровней, занятых электронами в зоне проводимости. Это – участок с отрицательным дифференциальным сопротивлением. При дальнейшем росте прямого напряжения появляется компонента обычного диффузионного тока pn-перехода (рис. 14.6,д).
Из принципа действия туннельных диодов видно, что процессы в них обусловлены основными носителями заряда, а рекомбинация не играет принципиальной роли. Поэтому характерное время в туннельных переходах есть не время жизни неравновесных носителей, а максвелловское время релаксации
, при
1 (Ом∙см)-1
10-12 с. Вследствие этого теоретический предел частот намного больше, чем у диффузионных pn-переходов. Однако предельная частота реальных приборов понижается вследствие влияния паразитной емкости и индуктивности корпуса прибора.
Первый туннельный диод был изготовлен в 1957 из германия; однако вскоре после этого были выявлены другие полупроводниковые материалы, пригодные для получения туннельных диодов: Si, InSb, GaAs, InAs, PbTe, GaSb, SiC и др.
В силу того, что туннельных диод в некотором интервале напряжений смещения имеют отрицательное дифференциальное сопротивление и обладают очень малой инерционностью, их применяют в качестве активных элементов в высокочастотных усилителях электрических колебаний, генераторах и переключающих устройствах.
14.4 Обращенные диоды
Обращенный диод представляет собой полупроводниковый диод на основе p-n-перехода (рис. 2.19), проводимость которого при малых обратных напряжениях из-за туннельного эффекта значительно больше, чем при прямом смещении.
Высота потенциального барьера перехода
зависит от уровней легирования n - и р-областей диода. При соответствующем легировании можно добиться того, чтобы в отсутствие напряжения Ec и Ev расположились на одном уровне (рис. 14.9, а).
У обращенных диодов при прямом смещении туннельный ток отсутствует и прямая ветвь ВАХ определяется диффузионными составляющими токов электронов и дырок, как у обычных диодов (рис. 14.9, 6). Обратная ветвь ВАХ у таких диодов определяется туннелированием электронов (рис. 14.9, в). Обращенные диоды являются разновидностью туннельных диодов и используют в радиотехнических устройствах как детекторы, смесители при малых уровнях сигналов, а также в ключевых устройствах при сигналах с малыми амплитудами.
| Рис. 14.9. Энергетические диаграммы и ВАХ обращенного диода при: а – отсутствии смещения; б – прямом смещении: в – обратном смещении |
















