Лк4 (975651), страница 2
Текст из файла (страница 2)
Поскольку величина тока равна заряду, проходящему через сечение образца в единицу времени, плотность тока при слабом электрическом поле рпо закону Ома
где σ – проводимость. Отсюда легко получить закон Ома в дифференциальной форме:
| Jn = σn·E, | (4.13) |
где σn – электронная проводимость (Ом∙см).
Проводимость материала определяется двумя основными параметрами: подвижностью носителей заряда и их концентрацией.
Существует несколько механизмов рассеяния энергии свободных носителей заряда. Для полупроводников наиболее важные два: рассеяние в результате взаимодействия с колебаниями решетки (решеточное рассеяние) и рассеяние в результате взаимодействия с ионизованной примесью.
Экспериментальные исследования температурной зависимости подвижности показывают, что при низких температурах преобладает рассеяние на ионах примеси, а при более высоких – рассеяние на тепловых колебаниях решетки.
Кулоновское поле, созданное ионизованной примесью, действует на большом расстоянии и вызывает отклонение траектории носителей, движущихся даже сравнительно далеко от атома примеси, как показано на рис. 4.7. Величина свободного пробега при рассеянии на примесных атомах должна быть обратно пропорциональна концентрации этих атомов
и не зависеть от температуры.
Таким образом, при рассеянии на заряженной примеси
μni~τ~T3/2.
Следовательно, при низких температурах, когда основным механизмом является рассенние на нонах примесей, подвижность носителей заряда пропорциональна T3/2 в невырожденных полупроводниках. Качественно этот результат иллюстрируется рис. 4.7. Чем выше температура, тем быстрее движутся носители заряда и тем меньше они изменяют и траекторию своего движения при взаимодействии с ионами примеси.
Подобно тому, как электромагнитное поле излучения можно трактовать как набор световых квантов – фотонов, поле упругих колебаний, заполняющих кристалл, можно считать совокупностью квантов нормальных колебаний решетки – фононов. Аналогично фотону фонон обладает не только энергией, но и импульсом. Однако фононы не являются частицами в обычном смысле. Появляясь в результате квантования нормальных колебаний, они представляют собой корпускулярный аспект описания коллективных волновых движений, охватывающих кристалл (рис. 4.8). Средняя длина свободного пробега электронов должна, очевидно, быть обратно пропорциональна концентрации фононов
. При высоких температурах
, длина свободного пробега носителей заряда тем меньше, чем выше температура решетки (чем сильнее колеблется решетка): l~1/T.
| Рис. 4.8. Рассеяние носителей заряда на тепловых колебаниях решетки при различных температурах (Т2>Т1); А1 и А2 -амплитуды колебаний узлов решетки при температурах Т1 н Т2 |
Фононы обладают импульсом, по порядку величины равным импульсу электронов проводимости, что делает возможным прекращение движения электрона в данном направлении уже в единичном акте его столкновения с фононом, учитывая, что средняя скорость
(mv2=3kT), получим
.
Для рассеяния на решетке справедливо выражение:
При одновременном действии нескольких механизмов рассеяния для расчета подвижности можно воспользоваться понятием эффективной подвижности носителей:
Поскольку в собственном полупроводнике отсутствуют примеси, рассеяние электронов и дырок в нем должно происходить только на тепловых колебаниях решетки, т.е. в собственных кристаллах значение подвижности носителей заряда должно быть максимальным.
| Рис. 4.9. Зависимость подвижности носителей заряда от обратной температуры в невырожденном полупроводнике при различных концентрациях примеси: |
На рис. 4.9 показаны кривые температурной зависимости подвижности μ(1/Т) при различных значениях концентрации легирующей примеси в невырожденном полупроводнике.
Таким образом, уравнение (4.14) можно переписать в виде:
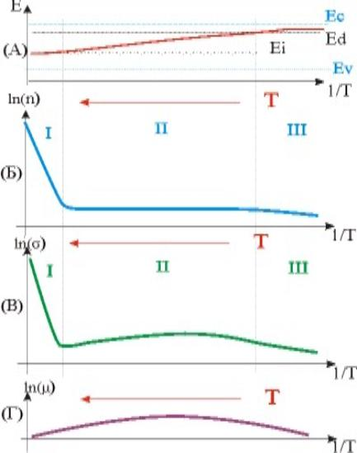
Графики этих зависимостей представлены на рис.4.10.
4.4.2 Дырочная проводимость
Под действием электрических полей валентные электроны могут переходить на незанятое место, что соответствует встречному перемещению дырок по кристаллу. При этом все рассмотренные в предыдущем разделе формулы, характеризующие движение свободного электрона справедливы и для движения дырки. Только надо сделать поправку на знак заряда. Подвижность дырок:
Следует отметить, что скорость электронов направлена против поля (от минуса к плюсу), а скорость дырок – по полю, от плюса к минусу.
Плотность дырочного тока:
| Jp = σp·E, | (4.20) |
где
– дырочная проводимость (Ом∙см).
Подвижности электронов и дырок несколько различаются из-за разницы их эффективных масс:
. Как следует из (4.19), чем больше подвижность, тем больше дрейфовая скорость носителей заряда и тем выше быстродействие полупроводникового прибора.
Рассеяние дырок будет проходить также на колебаниях решетки и заряженных примесях и дефектах. Ход температурной зависимости будет аналогичен:
где μpr – подвижность при рассеянии на решетке, μpi – подвижность при рассеянии на ионизированной примеси.
Суммарная электропроводность материала определяется общим количеством электронов и дырок:
| σ=σn+σp=q∙μn∙n+q∙μp∙p=q (μn∙n + μp∙p). | (4.22) |
Плотность тока проводимости в кристалле будет равна:
| J=Jn+Jp=σ∙E=(σn+σp∙E=q (μn∙n+μp∙p)∙E. | (4.23) |
4.4.3 Собственная проводимость
Зависимость электропроводности собственного материала от температуры:
С учетом выражений (4.3), (3.10) и (3.15), определяющих
, собственная электрическая проводимость
По экспериментальной зависимости электропроводности от температуры можно оценить ширину запрещенной зоны. Действительно, допустим, что мы произвели измерение собственной проводимости в двух различных точках:
Поделив значения электропроводности при разных температурах друг на друга и прологарифмировав получим:
При заданной температуре концентрация носителей заряда и электрическая проводимость собственного полупроводника определяются шириной его запрещенной зоны.
















