Билет №24 (943750)
Текст из файла
3
Билет №24
ЭФФЕКТ ХОЛЛА И МАГНЕТОСОПРОТИВЛЕНИЕ
В
1879 г. Холл попытался определить, действует ли сила, испытываемая проводником стоком в магнитном поле, на весь проводник или же только (как мы бы сейчас сказали) на электроны, движущиеся в проводнике. Сам он подозревал последнее, и его эксперимент основывался на том, что, «если электрический
Фиг. 1.3. Схема эксперимента Холла.
ток в закрепленном проводнике сам притягивается к магниту, то этот ток должен подходить ближе к одной из сторон проводника и поэтому испытываемое им сопротивление должно нарастать» [4]. Его попытки обнаружить такое добавочное сопротивление оказались безуспешными г), но Холл не считал, что это позволяет делать окончательные выводы: «Магнит может стремиться отклонить ток, не будучи способным сделать это. Очевидно, в таком случае в проводнике существовало бы состояние напряжения, как бы электрическое давление, действующее в направлении одной из сторон проводника». Подобное состояние напряжения должно проявляться в существовании поперечной разности потенциалов (или э. д. с. Холла, как мы ее сегодня называем), которую Холлу удалось наблюдать.
Схема эксперимента Холла изображена на фиг. 1.3. К проводнику, расположенному вдоль оси я, приложено электрическое поле Ех, вызывающее электрический ток /V Помимо того, имеется магнитное поле Н, параллельное оси z. В результате появляется сила Лоренца 2)
1) В гл. 12 и 13 мы увидим, что сопротивление действительно возрастает (сопротивление в магнитном поле называют магнетосопротивлением). Модель Друде, однако, предсказывает равенство нулю магнетосопротивления в согласии с результатом Холла.
2) Имея дело с немагнитными (или слабо магнитными) материалами, мы всегда будем считать полем величину Н, поскольку разница между В и Н в этом случае чрезвычайно мала.
отклоняющая электроны в отрицательном направлении оси у (дрейфовая скорость электрона направлена против тока). Однако электроны не могут долго двигаться в направлении оси г/, поскольку они достигают границы проводника. По мере того как они там скапливаются, нарастает электрическое поле, направленное вдоль оси у и противодействующее движению и дальнейшему накоплению электронов. В состоянии равновесия это поперечное поле (или поле Холла) Еу компенсирует силу Лоренца, и ток идет лишь в направлении оси х. Две величины представляют здесь интерес. Одна из них — это отношение поля вдоль проводника Ех к плотности тока jx:
(1.14)
Холл обнаружил, что эта величина (магнетосопротивление) не зависит от поля 1). Другой характеристикой является величина поперечного поля Еу. Поскольку такое поле уравновешивает силу Лоренца, можно полагать, что оно должно быть пропорциональным как приложенному полю Н, так и току jx в проводнике. Поэтому величину, называемую коэффициентом Холла, определяют как
(1.15)
Следует обратить внимание на то, что, поскольку поле Холла направлено против оси у (фиг. 1.3), коэффициент RH должен быть отрицательным. С другой стороны, если бы заряд носителей был положительным, знак их ^-компоненты скорости был бы обратным и сила Лоренца осталась бы неизменной. В результате поле Холла имело бы направление, противоположное тому, которое оно имеет при отрицательно заряженных носителях. Этот вывод очень важен, поскольку он означает, что измерения поля Холла позволяют определить знак носителей заряда. Экспериментальные данные, впервые полученные Холлом, находились в согласии со знаком заряда электрона, определенным позднее Томсоном. Одна из замечательных особенностей эффекта Холла заключается, однако, в том, что в некоторых металлах коэффициент Холла положителен, и поэтому носители в них должны, видимо, иметь заряд, противоположный заряду электрона. Это еще одна загадка, решение которой должна дать полная квантовомеханическая теория твердого тела. В настоящей главе дан лишь простой анализ в рамках модели Друде; хотя он и не способен объяснить существование положительных коэффициентов Холла, он часто находится в довольно хорошем согласии с экспериментом.
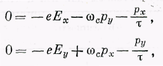
Чтобы рассчитать коэффициент Холла и магнетосопротивление, определим вначале плотности тока jx и jy в случае, когда имеется электрическое поле с произвольными компонентами Ех и Еу, а также магнитное поле Н, направленное вдоль оси z. На каждый электрон действует (не зависящая от пространственных координат) сила f = —е (Е + v X Н/с), поэтому уравнение (1.12) для импульса в расчете на один электрон приобретает вид 2)
(1.16)
х) Точнее, эта величина представляет собой поперечное ыагнетосопротивление. Существует также и продольное магнетосопротивление, измеряемое в магнитном поле, параллельном току.
2) Следует иметь в виду, что сила Лоренца не одинакова для всех электронов, поскольку она зависит от скорости электрона v. Поэтому силу f в уравнении (1.12) нужно считать средней силой в расчете на один электрон (см. примечание 2 на стр. 26). Поскольку, однако, зависимость этой силы от того, на какой электрон она действует, содержится лишь в члене, линейном по скорости электрона, среднее значение силы получается просто путем замены этой скорости на среднюю скорость р/тя.
В стационарном состоянии ток не зависит от времени, поэтому рх и ру удовлетворяют уравнениям
(1.17),
Умножая эти уравнения на —пет/т и вводя компоненты плотности тока (1.4), находим
где о"о — статическая электропроводность для модели Друде в отсутствие магнитного поля, описываемая выражением (1.6).
Поле Холла Еу определяется из требования обращения в нуль поперечного тока jy. Полагая jy равным нулю во втором уравнении (1.19), получаем
Следовательно, для коэффициента Холла (1.15) имеем
(1.21)
Это поразительный результат: согласно ему, коэффициент Холла не зависит ни от каких параметров металла, кроме плотности носителей. Выше мы уже вычисляли п, предполагая, что валентные электроны атома в металле превращаются в электроны проводимости. Измерение коэффициента Холла дает прямой способ проверки справедливости такого предположения.
При попытках определить плотность электронов п, используя результаты измерений коэффициентов Холла, возникает трудность, связанная с тем, что в действительности в противоречие с формулой (1.21) эти коэффициенты обычно зависят от магнитного поля. Кроме того, они зависят от температуры и от того, насколько тщательно приготовлен образец. Это кажется довольно странным, поскольку время релаксации, которое может сильно зависеть от температуры и состояния образца, в (1.21) не фигурирует. Тем не менее при самых низких температурах для очень чистых, тщательно приготовленных образцов в чрезвычайно сильных полях измеряемые значения постоянной Холла, по-видимому, действительно стремятся к некоторому пределу. Согласно более сложной теории, излагаемой в гл. 12 и 13, для многих (но не всех) металлов такие предельные значения точно определяются простым выражением (1.21), получаемым в модели Друде.
К термоэлектрическим явлениям относятся три эффекта: эффект Зеебека, эффект Пельтье, эффект Томсона.
Явление Пельтье
Если через контакт двух материалов пропустить электрический ток, то в контакте происходит выделение или поглощение тепла в зависимости от направления тока. Величина выделенного тепла и его знак зависят от вида контактирующих материалов и величины заряда, прошедшего через контакт: dQ12 = П12Idt. (18)
где П12 — коэффициент Пельтье
Было найдено, что если внешний ток совпадает по направлению с термотоком, возникающим при нагревании данного контакта, то этот контакт охлаждается.
Причина возникновения явления Пельтье заключается в том, что средняя энергия электронов, участвующих в переносе заряда в двух материалах, находящихся в контакте, различна, несмотря на совпадение уровней электрохимического потенциала в них. Это наглядно видно на примере контакта полупроводника n-типа и металла (рис. 5).
Энергия электронов в С-зоне полупроводника существенно выше энергии электронов на уровне Ферми в металле. Поэтому при переходе электронов под действием поля из полупроводника в металл они должны отдать частично свою энергию решетке, чтобы прийти в состояние равновесия с электронами в металле. При обратном направлении поля электроны должны взять энергию у решетки, чтобы преодолеть барьер и прийти в состояние термодинамического равновесия с электронами в с-зоне полупроводника. Поскольку электроны приходят в тепловое равновесие в результате нескольких десятков соударений в непосредственной близости от контакта, то и вся теплота Пельтье выделяется или поглощается почти на самом контакте. Кроме того, на контакте обычно существует контактная разность потенциалов, обусловленная разностью работ выхода электронов, в поле которой электроны ускоряются или замедляются. Этот эффект тоже вносит свой вклад в теплоту Пельтье.
Рис, 5, Контакт металла с полупроводником n-гипа, поясняющий возникновение эффекта Пельтье.
металл полупроводник n-типа
Характеристики
Тип файла документ
Документы такого типа открываются такими программами, как Microsoft Office Word на компьютерах Windows, Apple Pages на компьютерах Mac, Open Office - бесплатная альтернатива на различных платформах, в том числе Linux. Наиболее простым и современным решением будут Google документы, так как открываются онлайн без скачивания прямо в браузере на любой платформе. Существуют российские качественные аналоги, например от Яндекса.
Будьте внимательны на мобильных устройствах, так как там используются упрощённый функционал даже в официальном приложении от Microsoft, поэтому для просмотра скачивайте PDF-версию. А если нужно редактировать файл, то используйте оригинальный файл.
Файлы такого типа обычно разбиты на страницы, а текст может быть форматированным (жирный, курсив, выбор шрифта, таблицы и т.п.), а также в него можно добавлять изображения. Формат идеально подходит для рефератов, докладов и РПЗ курсовых проектов, которые необходимо распечатать. Кстати перед печатью также сохраняйте файл в PDF, так как принтер может начудить со шрифтами.
















