Билет №19-2 (943744)
Текст из файла
Билет №19-2
ТЕПЛОЕМКОСТЬ ПРИ НИЗКИХ ТЕМПЕРАТУРАХ
Ч
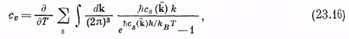
тобы провести более общее обсуждение теплоемкости, заметим прежде всего, что в пределе большого кристалла набор дискретных векторов, по которому ведется суммирование в выражении (23.12), становится плотным в масштабе тех характерных расстояний в k-пространстве, на которых слагаемые в (23.12) испытывают существенные изменения. Поэтому мы можем заменить сумму интегралом, поступая согласно общему правилу (2.29) для произвольного набора волновых векторов, удовлетворяющих граничным условиям Борна — Кармана, и записать выражение (23.12) в виде
(23.15)
причем интегрировать следует по первой зоне Бриллюэна. С учетом упрощений при очень низких температурах выражение (23.15) принимает вид
где интеграл берется по всему k-пространству.
Фиг. 23.1. Упрощения, используемые для расчета низкотемпературной удельной теплоемкости гармонического кристалла.
а — типичные кривые дисперсии нормальных мод двухатомного кристалла вдоль некоторого направления в k-пространстве (имеющего достаточно высокую симметрию, поскольку две акустические и две оптические моды вырождены).
б — спектр, заменяющий кривые, приведенные на фиг.а, при расчете интеграла (23,15). Акустические ветви заменяются прямыми, неограниченно продолжающимися в область произвольно больших значений k (т. е. интегрирование по первой зоне Бриллюэна заменяется интегрированием по всему k-пространству); оптическими ветвями при этом пренебрегают. Такие упрощения оправданы, поскольку большие по сравнению с kв T/ħ частоты (части дисперсионных кривых на фиг. а и б, лежащие выше горизонтальной штриховой линии) вносят пренебрежимо малый вклад в интеграл (23.15), а части дисперсионных кривых, отвечающие модам, которые действительно вносят вклад в величину (23.15) (участки кривых ниже горизонтальной штриховой линии), на фиг. а и б совпадают. Квантовая теория гармонического кристалла 85
……………….. при очень низких температурах имеем
Для справедливости формулы (23.20) необходимо, чтобы величина kвT/ħ была мала по сравнению со всеми частотами фононов, не лежащими на линейном участке спектра; отсюда следует, что величина kвT/ħ должна составлять малую долю характерной частоты на границах зоны. Для выполнения подобного условия температура Т должна быть значительно ниже комнатной. Так как при уменьшении температуры ниже комнатной закон Дюлонга и Пти начинает нарушаться, существует достаточно широкая область температур, в которой не применимы ни низкотемпературный, ни высокотемпературный расчеты, а следует использовать общую формулу (23.15). На практике, однако, в этой промежуточной области температур часто используют интерполяционные методы.
ТЕПЛОЕМКОСТЬ ПРИ ПРОМЕЖУТОЧНЫХ ТЕМПЕРАТУРАХ. МОДЕЛИ ДЕБАЯ И ЭЙНШТЕЙНА
В самых первых квантовых расчетах теплоемкости решетки, проведенных Эйнштейном и Дебаем, не использовался спектр фононов в его общем виде, рассмотренном выше, а предполагалось, что закон дисперсии нормальных мод имеет некоторую особенно простую форму. Результаты этих расчетов, построенных на грубой аппроксимации закона дисперсии нормальных мод', используются теперь в качестве интерполяционных формул. Кроме того, теория Дебая оказала значительное влияние на принятую терминологию и определила даже способ представления экспериментальных данных.
ИНТЕРПОЛЯЦИОННАЯ СХЕМА ДЕБАЯ
В модели Дебая все ветви колебательного спектра заменяются тремя ветвями с одним и тем же линейным законом дисперсии 3)
ω = ck. (23.21)
Кроме того, в формуле (23.15) вместо интеграла по первой зоне Бриллюэна берется интеграл по сфере радиусом kD , выбираемым так, чтобы эта сфера содержала ровно N разрешенных волновых векторов, где N — число ионов в кристалле. Поскольку объем k-пространства, приходящийся на один волновой вектор, равен (2π)3/V (см. т. 1, стр. 50), это означает, что величина (2π) 3 N/V должна равняться 4π kD3 /3 и, следовательно, kD определяется соотношением1)
После этих упрощений формула (23.15) приобретает вид
При вычислении интеграла в (23.23) удобно определить дебаевскую частоту
(23.24)
и дебаевскую температур
kBθD = ħωD = ħckD (3.25)
Легко видеть, что 1/kD характеризует среднее расстояние между частицами в кристалле, частота ωD имеет порядок максимальной частоты фононов, а θD представляет собой характерную температуру; выше нее возбуждены все моды, а ниже некоторые моды начинают «вымерзать»
2).Произведем замену переменных ħck/kBT = х; тогда в формулу (23.23) будет входить лиш дебаевская температура:
(23.26)
Эта формула выражает удельную теплоемкость при всех температурах через один эмпирический параметр θD. Разумный способ выбора θD (хотя и далеко не единственный из используемых) — потребовать, чтобы выражение (23.26) согласовывалось с наблюдаемой удельной теплоемкостью при низких температурах. Это будет обеспечено (по крайней мере в гармоническом приближении), если связь скорости с в формулах (23.21) или (23.25) с точным фоношшм спектром описывается формулой (23.18). Получающееся выражение для низкотемпературной теплоемкости таково :
a) Температуры Дебая определялись путем подгонки наблюдаемых удельных теплоемкостей Cv к формуле Дебая (23.26) в точке, где Cv = 3nkB/2. Данные взяты из статьи де Лоне [3].
Таким образом
Фиг. 23.3. Зависимость удельной теплоемкости в дебаевском приближении от T/θD. ( из работы [3].)
дебаевская температура играет в теории колебаний решетки такую же роль, какую температура Ферми играет в теории электронов в металлах: обе они представляют собой характерные температуры, отделяющие низкотемпературную область, где нужно пользоваться квантовой статистикой, от высокотемпературной области, где справедлива классическая статистическая механика. Однако в случае электронов реальные температуры всегда гораздо ниже ТF ,. тогда как дебаевская температура θD (см. табл. 23.3) обычно порядка 102 К поэтому нам могут встретиться как квантовый, так и классический режимы.
Краткое объяснение температуры Дебая.
ДЕБАЯ ТЕОРИЯ твёрдого тела — теория, описывающая колебания кристаллич. решётки и обусловленные ими термодинамич. свойства твёрдого тела; предложена П. Дебаем в 1912 в связи с задачей о теплоёмкости кристалла. Д. т. основана на упрощённом представлении твёрдого тела как изотропной упругой среды, атомы к-рой совершают колебания в конечном диапазоне частот.
Кристаллич. решётка, состоящая из N элементарных ячеек по v атомов в каждой, имеет 3Nv—6 ≈ 3Nv колебат. степеней свободы. С механич. точки зрения, такую систему можно описывать как совокупность 3Nv независимых осцилляторов, каждый из к-рых со-
ДЕБЯ ЗАКОН ТЕПЛОЁМКОСТИ — теоретически выведенная П. Дебаем в 1912 ф-ла, согласно к-рой теплоёмкость С твёрдого тела при низких темп-pax Т пропорц. кубу темп-ры:
C = 2/5 π2 kV (kT/ ћ c) 3 ( 1 )
где V — объём, с — ср. скорость звука. При низких темп-pax можно не делать различия между теплоёмкостью при пост, объёме Cv и пост, давлении Ср, поскольку в данному случае Ср
Для всех твёрдых тел при T~0 теплоёмкость решётки удовлетворительно описывается ф-лой ( 1 ). Это связано с тем, что при низких темп-pax дебаевское приближение (см. Дебая теория) соответствует характеру колебат. спектра твёрдого тела: существованию трёх акустич. ветвей колебаний Различие проявляется вблизи температурных границ Тгр применимости теории Дебая. Для простых кристаллич. решёток (элементы и простые соединения) порядка неск. десятков К. Для более сложных решёток, а также для анизотропных структур (например, квазидвумерных и квазиодномерных) существенно ниже
При сравнении эксперим. результатов с Д. з. т. имеется в виду только теплоёмкость решётки и исключается её электронная и др. составляющие (см. Теплоёмкость).
Лит. см. при ст. Дебая теория.
ДЕБАЯ ТЕМПЕРАТУРА — характеристич. темп-ра твёрдого тела, вводимая соотношением:
kTθ = ћωD ( 2 )
где ωD — макс, частота колебаний кристаллич. решётки, определяемая из условий равенства числа колебаний, приходящихся на частотный интервал от 0 до ωD, полному числу колебат. степеней свободы решётки (см. Дебая теория).
Характеристики
Тип файла документ
Документы такого типа открываются такими программами, как Microsoft Office Word на компьютерах Windows, Apple Pages на компьютерах Mac, Open Office - бесплатная альтернатива на различных платформах, в том числе Linux. Наиболее простым и современным решением будут Google документы, так как открываются онлайн без скачивания прямо в браузере на любой платформе. Существуют российские качественные аналоги, например от Яндекса.
Будьте внимательны на мобильных устройствах, так как там используются упрощённый функционал даже в официальном приложении от Microsoft, поэтому для просмотра скачивайте PDF-версию. А если нужно редактировать файл, то используйте оригинальный файл.
Файлы такого типа обычно разбиты на страницы, а текст может быть форматированным (жирный, курсив, выбор шрифта, таблицы и т.п.), а также в него можно добавлять изображения. Формат идеально подходит для рефератов, докладов и РПЗ курсовых проектов, которые необходимо распечатать. Кстати перед печатью также сохраняйте файл в PDF, так как принтер может начудить со шрифтами.
















