teoret_analiz (746081), страница 3
Текст из файла (страница 3)
4. Решение рассматриваемой задачи, оценка корректности решений в допустимых областях возможных ресурсов и ограничений.
5. Оценка полученных решений и принятие альтернативных вариантов, исследование принятых вариантов. В ряде случаев, когда результаты исследований принятых вариантов не соответствуют глобальным целям и критериям, появляется необходимость организации итеративной процедуры путём возврата к четвёртому или третьему этапам. Осуществляется коррекция модели и решения других вариантов в допустимых областях используемых ресурсов и ограничений.
1.2. Теоретическая системотехника
В этом разделе силовой системотехники изучаются общие проблемы методологии, состава, функционирования, управления, оценки эффективности. Это то, что часто называют системным подходом, точнее его непосредственной реализацией. В теоретическую системотехнику входят ряд подразделов.
Описание систем
Основные понятия и определения систем: элементы, состав, структура, функции. Системы, подсистемы, метасистемы (суперсистемы). Классификация и свойства систем. Теория систем: назначение, методология, основные задачи.
Описание систем: топологическое, информационное, в том числе количественное. Декомпозиция систем.
Общее определение: система – это ограниченное множество элементов «m», на которых реализованы заранее заданные отношения «R» с определёнными свойствами (взаимодействиями).
Ситуационные отношения
Отношения внутри системы, метасистемы, классификация ситуаций. Простые, сложные и вырожденные ситуации. Стохастические, игровые и конфликтные ситуации. Описание и модели, их расположение. Эволюция военных систем.
Эффективность в системах
Понятие эффективности системы. Функциональные и физические критерии измерения эффективности. Показатели качества систем и метасистем. Эффективность подсистем и показатели качества. Потенциальная эффективность, изменение эффективности во времени, развитие и деградация систем. Целевые функции. Взаимосвязь систем с метасистемой. Возможные варианты отношений: субординация, доминирование и т.д. Возможные конфликты: на одном уровне, в иерархии.
Моделирование систем
Методика и средства моделирования систем. Общая методика моделирования, теоретическое моделирование. Вероятностное, сценарное моделирование, организация, интерпретация моделей военных систем. Значение экспериментов и их использование при моделировании. Использование моделей в различных отраслях науки и техники.
Оптимизация систем
Теоретическая основа оптимизации систем – раздел математики, математическое программирование. Состав задачи оптимизации силовых систем: критерии, ограничения, методы, программы. Возможные варианты: одно и многокритериальные задачи оптимизации. Оптимизация как один из путей поиска вариантов решений, многокритериальная оптимизация военных систем. Возможные свертки критериев в зависимости от условий принятия решений в организационном и функциональном управлении силовыми системами.
Принятие решений
Принятие решений: выбор альтернатив, оптимизация по Парето, функции полезности, выбора в управленческих вопросах. Принятие решений на основе исследования операций, состав метода: идентификация объектов, формирование критериев, моделей, решение задач в управлении силовыми системами. Конфликтные ситуации, компромиссные решения.
Управление в системотехнике
Взаимосвязь методов кибернетики и системного подхода. Виды управления: программное, централизованное и децентрализованное. Рефлексивное управление, его применение в военном деле в конфликтных ситуациях. Адаптивное управление. Управление в сложных многоуровневых силовых системах.
1.3. Оперативная системотехника
Описание группировок
Группировка сил и средств – это система, которая объединяет и связывает в единое целое входящие в неё элементы (подразделения). Свойства силовой группировки определяются следующими показателями:
-
оперативность, т. е. способность быстро реагировать на изменение обстановки (характеризуется временем реализации решений). Оперативность зависит от числа промежуточных элементов и скорости прохождения информации. В зависимости от цели создаются силовые группировки с различной оперативностью;
-
централизация определяется средним числом элементов связей от центра управления до каждой позиции по кратчайшему пути, отношением числа связей с периферийными элементами к общему числу связей. Чем выше показатель централизации, тем выше управляемость системы;
-
периферийность определяет топологические свойства группировки – дислокацию. Количественно определяется числом элементов, находящихся за определенной границей, внутри которой находится центр. Связи также рассматриваются как элементы. Обычно, чем выше периферийность, тем эффективнее группировка.
-
живучесть – способность сохранять свои свойства при разрушении части структуры. Показатель определяется отношением числа уничтоженных элементов к общему числу, при котором эффективность группировки не снизится ниже определенного порога;
-
объем группировки определяется количеством личного состава, боевой техники и инженерного обеспечения.
Описание боевых действий
Методы описаний. Игровое и конфликтное описание. Учёт периферийности. Динамика боевых действий. Упрощенные модели боевых действий. Включение в математическое описание качественных показателей. Исследование операций. Состав: модели противоборствующих сторон и модель их взаимодействия.
Принятие оперативных решений
Методика подготовки и принятия боевых решений. Технология принятия и реализации решений. Использование ЭВМ, АСУ в вооруженных силах: АСУ вооружением, общевойсковые АСУ. Принятие оперативных решений в ОМОН и внутренних войсках при выполнении служебно-боевых задач. Оно осуществляется в несколько этапов:
-
факторизация, выделение главных факторов, остальная информация временно или окончательно отбрасывается. Недостаток информации дополняется опытными данными (эксперты);
-
распознавание ситуации путём сопоставления факторов между собой и с факторами, которые были известны ранее, с целью идентификации ситуации;
-
выработка вариантов решений на основе прогнозирования ситуаций в соответствии с предвиденным ходом изменения факторов;
-
выработка вариантов решений на основе количественной их оценки с помощью соответствующих критериев;
-
заключительный этап – выбор из полученного множества решений наиболее оптимального.
Все перечисленные выше этапы повторяются, т. к. процесс принятия решения является итерационным.
1.4. Организационная системотехника
Задачей организационной системотехники является изучение поведения и деятельности людей в силовых системах.
Описание организаций
Методы описания силовых организаций, топологические и математические модели. Структура связи, отношения между элементами и подсистемами организации. Распределение функций. Критерии эффективности. Зависимость структуры силовых организаций от поставленных задач. Особенности ОМОН и внутренних войск при построении организации как силовых соединений, находящихся в постоянной оперативной и боевой готовности и выполняющих повседневные служебно-боевые задачи.
Социальная психология
Основы психологии милицейских и воинских коллективов. Социальные и морально-психологические факторы. Формирование отношений в коллективе. Лидерство и конфликты. Формирование коллектива. Функции управления и мотивация. Оценка эффективности.
Принятие организационных решений
Свойства организационного решения. Методы и свойства подготовки организационного решения. Коллективное обсуждение и принятие решения. Доведение решений до исполнителей и контроль за их выполнением. Распределение функций в принятии решений.
Планирование
Роль и содержание планирования. Структура планирования. Планирование основных видов деятельности: боевой подготовки, боевых действий, снабжения. Методы, средства, основные этапы планирования. Автоматизация планирования. Планирование в ОМОН и внутренних войсках.
Управление организацией
Сущность системного управления: иерархичность, многокритериальность, оптимальность. Оценка качеств управления. Синтез группировок с позиций организации оптимального управления АСУ современных вооруженных сил государства.
1.5. Основные положения и методология
силовой кибернетики в системе МВД
Кибернетика – наука об управлении, получении, передаче и обработке информации в кибернетических системах. Под кибернетическими системами (системами управления) понимают системы любой природы – технические, биологические, экономические, социальные, военные, административные.
Впервые, сто пятьдесят лет назад, французский физик и математик Ампер в своей обзорной работе «Очерки по философии наук», где была выполнена систематизация всех отраслей научных знаний, под номером 83 предложил поместить науку об управлении обществом. Ампер назвал ее кибернетикой, исходя из греческого термина «кибернетес», что означает понятие «рулевой», кормчий. В 1843 году был опубликован труд Б. Трентовского «Отношение философии к кибернетике как управлению народом». В дальнейшем, в 1948 году термин кибернетика был использован американским математиком Норбертом Винером, который опубликовал книгу «Кибернетика, или управление и связь в животном и машине».
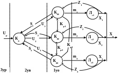
Силовая кибернетическая система представляет собой сложный комплекс, в который входят: личный состав, штатное и приданное вооружение, боевая техника. Структурная организация определяется масштабом подразделения – это, как правило, линейная или линейно-штабная структуры. В некоторых подразделениях возможно функциональное дополнение, связанное с наличием в подразделениях технических или других специальных средств. Управление деятельностью подразделений, как силовой кибернетической системой, осуществляется командирами. Основным определяющим элементом силовой системы является личный состав, который выступает как системообразующий фактор. Командование является функциональным фактором, обеспечивающим целенаправленную деятельность силовой кибернетической системы. Очевидно, что силовая система относится к сложным системам, т. к. в ней основным и определяющим фактором, как и в любой социальной системе, является положение о неоднозначном и сложном поведении людей, формирующих личный состав системы. Административно-организационная структура силовых подразделений определяется уставом. Рассмотрим основное подразделение любой силовой системы – взвод. Принято считать во всем мире: «воюют солдаты»! Структурную схему мотострелкового взвода как кибернетической системы можно представить в следующем виде:
Рис. 1.1. Структурная схема мотострелкового взвода
как кибернетического объекта
Условные обозначения:
Лс1, Лс2, Лс3 – личный состав отделений;
К01, К02, К03 – командиры отделений;
Кв – командир взвода;
Хв, Х1, Х2, Х3 – комплексные величины, характеризующие боеспособность, боевые действия взвода и его отделений: Хв = Х1 +
+ Х2 + Х3;
m1, m2, m3 – управляющие воздействия, распоряжения командиров отделений личному составу отделений Лс1, Лс2, Лс3;
U1, U2, U3 – команды, директивные воздействия, указания командира взвода командирам отделений К01, К02, К03;
Z1, Z2, Z3 – обратная связь, информация о состоянии личного состава отделений: текущая информация и сведения о эффективности выполнения конкретных распоряжений командиров;
S1, S2, S3 – обратная связь, информация командиру взвода из отделений;
1уо, 2ув, 3ур – уровни управления: отделений – 1уо, взвода – 2ув, роты – 3ур;
Кр1, Кр2, Кр3 – координационные связи на первом уровне 1уо между отдельными командирами;
Uр – директивные указания, команды из роты во взвод;
Sв – обратная связь, информация о взводе, функционально собираемая командиром взвода.
Всего в структуре взвода как кибернетического объекта:
элементов 7: системообразующих – 3, функциональных – 4;
связей 14: системообразующих – 7, обратных – 7;
уровней управления 3: отделение, взвод, рота.
В структуре взвода как в кибернетической системе можно отметить следующие особенности, присущие сложной, высокоразвитой системе:
-
все элементы системы как системообразующие Лс1, Лс2, Лс3, так и функциональные К01, К02, К03, Кв связаны между собой прямыми, системообразующими связями: Uр, U1, U2, U3; m1, m2, m3 и обратными, функциональными: S1, S2, S3, Z1, Z2, Z3, SВ; количество обратных связей равно числу прямых связей, что свидетельствует о замкнутости управленческих циклов;
-
управление организовано по иерархическому принципу, т. к. содержит три уровня управления: 1у – уровень отделения, 2н – уровень взвода, 3у – уровень роты. На 1-м уровне 1у возможны координационные связи, частично показанные – Кр1, Кр2.
-
оптимальность функционирования взвода, как боевого подразделения зависит от эффективности работы системообразующих: Лс1, Лс2, Лс3 и функциональных элементов К01, К02, К03, Кв, что в конечном итоге оптимизирует прямые и обратные связи в структуре взвода как военной системы: m1, m2, m3, Uр, U1, U2, U3, S1, S2, S3, Z1, Z2, Z3, SВ.
Очевидно, что чем выше подготовленность элементов силовой системы, тем эффективнее она функционирует в рамках своей метасистемы – силового подразделения более высокого ранга. Основой функционирования силовой системы является оптимальное функционирование элементов нижнего уровня – отделений. Поэтому опорой личного состава вооруженных сил являются командиры первого нижнего уровня. Неслучайно в вооруженных силах зарубежных армий уделяется большое внимание в подготовке сержантского состава как основы профессиональной армии.
В МВД государства в качестве объектов управления выступают: строевое (боевое) подразделение отдельные службы, т. е. кибернетика состоит из двух видов: технической и социальной. Силовой объект управления является агрегированным объектом, поэтому и силовая (военная) кибернетика является агрегированной областью знаний.
Можно перечислить основные задачи, решаемые военной кибернетикой:
-
Управление обучением личного состава.
-
Управление в условиях повседневной деятельности.
-
Управление при выполнении штатных служебно-боевых действий в соответствии с конкретными планами и сложившейся ситуацией.
-
Организационно-административное управление: МВД, ГУВД, ГУКВВ, округа, воинские части.
-
Управление боевыми действиями при защите территории РФ (в том числе целостности РФ).
В технических службах МВД имеют место задачи:
-
Управление боевыми машинами – установками как техническими объектами.
-
Управление отдельными боевыми машинами на марше, в боевых условиях.
-
Управление боевой техникой в условиях боя во взаимодействии с другими родами войсковых соединений.
Задачи управления можно разделить на организационные, связанные с функционированием военной системы, и на системные, обеспечивающие непосредственное управление служебно-боевыми действиями.
















