201575 (689382)
Текст из файла
57
Реферат
ПЗ: 77 страниц, 21 рис., 14 табл., 14 источников
Объект исследования - разработка технологического процесса изготовления детали и участка механосборочного цеха.
Цель курсового проектирования - закрепление и углубление полученных знаний, пополнение их новыми достижениями современной прогрессивной технологии и применение новейшего оборудования, конструирование технологической оснастки, выбор режущего и контрольного инструмента.
Метод исследования - расчетно-аналитический.
СТАНОК, ДЕТАЛЬ, ЗАГОТОВКА, ПЛАТ! ОБРАБОТКИ, РЕЖИМЫ РЕЗАНИЯ, СКОРОСТЬ, ОПЕРАЦИОННАЯ КАРТА, КАРТА ЭСКИЗОВ, МАРШРУТНАЯ КАРТА, КОНТРОЛЬ, РЕЖУЩИЙ ИНСТРУМЕНТ
Содержание
Введение
1. Технологическая часть
1.1 Описание конструкции и назначение детали
1.2 Выбор типа производства и формы организации работ
1.3 Выбор метода получения заготовки
1.4 Проектирование плана обработки
1.4.1 Анализ конструкции детали на технологичность
1.4.2 Проектирование маршрута обработки поверхностей (МОП)
1.4.3 Проектирование маршрута обработки заготовки
1.4.4 Расчёт межоперационных припусков и технологических размеров
1.5 Проектирование операционной технологии
2. Конструкторская часть
2.1 Конструирование рабочего приспособления
2.1.1 Описание конструкции и принципа работы
2.1.2 Расчёт необходимого усилия закрепления заготовки и выбор привода
2.1.3 Расчёт приспособления на прочность
2.1.4 Экономическая эффективность применения данного приспособления
2.2 Контрольное приспособление
3. Проектирование участка
Заключение
Перечень ссылок
Приложение А. Альбом технологических карт
Приложение Б. Приспособление рабочее
Приложение В. Приспособление для проверки биения шестерни
Введение
Перед машиностроением в нынешних условиях стоят следующие задачи: повышение качества, производительности производства. Эти задачи решаются путем создания новых технологий на основе новейших научных разработок.
Основными производственными фазами является качество оборудования и инструмента, физико-химические и механические свойства исходных материалов и заготовок, качество выполнения обработки деталей машин. Полученные при обработке размеры, форма и расположение элементарных поверхностей определяют фактические зазоры и натяги в соединении.
Для получения качественной и недорогой продукции ее выпуск должен быть технологичным:
- Относительная дешевизна материалов при сохранении требуемых свойств;
- Прогрессивные методы получения заготовок;
- Применение высокопродуктивного оборудования:
а) многоинструментальных станков с ЧПУ;
б) высокопроизводительного оборудования.
Качество создаваемого изделия обеспечивается на этапах подготовки и производства продукции и реализуется в процессе эксплуатации. Важной составляющей обеспечения качественной продукции является контроль изделия, как в ходе выполнения технологического процесса, так и окончательный контроль детали.
Итак, в условиях рыночной экономики определяющее значение в положении предприятия на рынке будет иметь применение наиболее производительных с наименьшей себестоимостью средств труда, обеспечивающих необходимое качество; применение наиболее эффективных средств и методов контроля качества продукции.
В ходе выполнения курсового проекта необходимо разработать оптимальный технологический процесс получения заданной детали на основе знаний, полученных в процессе изучения курса "Основы технологии машиностроения", выбрать оборудование, обеспечивающее быстрое и качественное изготовление заданной детали.
1. Технологическая часть
1.1 Описание конструкции и назначение детали
Деталь Шестерня привода ступенчатого вата является составляющей частью конструкции двигателя Д-36, выпускаемого на предприятии «Мотор-Сич». Деталь предназначена для передачи крутящего момента на последующие рабочие звенья двигателя.
Химический состав стали 14ХГСН2МА-Ш представлен в таблице 1.1.
Таблица 1.1 - Химический состав стали 14ХГСН2МА-Ш согласно ТУ 14-11865-76
| C, % | Cr, % | Mn, % | Si, % | Ni, % | Mo, % | V, % | S, % | Fe, % |
| 0,11- 0,16 | 1,2-1,6 | 0,7-1 | 0,45-0,7 | 1,6-2 | 0,25-0,4 | 0,03-0,06 | 0-0,025 | 94,025 |
Данная сталь - трудносвариваемая. Термообработке предшествует подогрев для данной стали. Плотность стали 7800 кг/м3.
1.2 Выбор типа производства и формы организации работ
1.2.1 Исходные данные
- годовая программа выпуска N = 5000 шт.
- масса детали q = 0,286 кг
Проектирование технологического процесса механической обработки зависит от типа производства и формы его организации.
Тип производства определяют по широте номенклатуры, регулярности и стабильности выпуска изделий. Предварительно, учитывая массу детали и программу выпуска, принимаю серийный тип производства.
1.2.2 Расчет количества деталей в партии, шт.
Количество деталей в партии можно определить
где α – периодичность запуска (5 дней);
Ф – число рабочих дней в году (256 дней).
Принимаем партию деталей n=100 шт. Для серийного производства характерно использовать универсальный и специальный режущий и измерительный инструменты.
1.3 Выбор метода получения заготовки
1.3.1 Исходные данные
деталь - Шестерня привода СВ
материал детали - сталь 14ХГСН2МА-Ш
программа выпуска - N = 5000 шт.
вес детали - q = 0,286 кг
Сравниваю два способа получения заготовки:
а) штамповка на КГШП;
б) прокат.
1.3.2 Определение массы заготовки, полученной методом штамповки на КГШП.
В соответствии с [4] установлены следующие характеристики штамповки:
класс точности………………………………......Т2
группа стали…………………………………….МЗ
степень сложности……………………………...С1
уклоны для наружных поверхностей…………3±1°
радиусы закругления, мм………………………2
Масса штампованной заготовки определяется с помощью системы
Компас-ЗD путем измерения массово-центровочных характеристик.
Эскиз заготовки, полученной методом штамповки на КГШП представлен на рисунке 1.1
Рисунок 1.1 - Эскиз заготовки, полученной методом штамповки на КГШП
Q=0,759 кг
1.3.3 Определение массы заготовки, полученной методом проката
В виде заготовки для данной детали принимаем сортовой гарячекатанный круглый прокат нормальной точности, Ø85 мм.
Масса заготовки из проката определяется путем измерения массово-центровочных характеристик в системе Компас-ЗD
Эскиз заготовки, полученной методом проката представлен на рисунке 1.2
Рисунок 1.2 - Эскиз заготовки из проката.
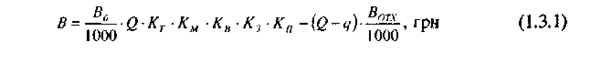
1.3.4 Стоимость одной заготовки, полученной разными методами
а) Метод гарячей штамповки
где В6 - базовая стоимость 1 т заготовок, грн
Q, q - масса заготовки и детали соответственно, кг
КТ,КМ,КВ,К3,КП - коэффициенты, которые учитывают соответственно материал, класс точности, группу сложности, массу заготовки, программу выпуска.
ВОТХ - стоимость 1 т стружки, грн
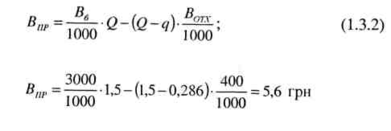
б) Метод проката
Результаты расчетов сводим в табл. 1.2.
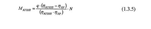
1.3.5 Расчет коэффициента использования материала заготовок
Коэффициент использования материала:
При сравнении двух способов получения заготовок видим, что ВКГШП < ВПР при ηКГШП < ηПР . Из этого следует, что в качестве заготовки в данном случае выбираю штамповку на КГШП.
Годовые сбережения по стоимости изготовления заготовок, грн:
Дополнительно использованный вес материала при получении заготовок прокатом, кг:
Таблица 1.2- Сравнительная таблица
| Показатели | Обозначение | Единицы | Вариант | |
| измерения | КГШП | Прокат | ||
| Вес заготовки | Q | кг | 0,759 | 1,5 |
| Базовая стоимость 1 т. заготовок | Вб | грн. | 4000 | 3000 |
| Коэффициенты | КТ | - | 1 | - |
| КМ | - | 1,22 | - | |
| КВ | - | 0,79 | - | |
| КЗ | - | 0,87 | - | |
| КП | - | 0,8 | - | |
| Стоимость 1 т. стружки | ВОТХ | грн. | 400 | 400 |
| Стоимость одной заготовки | В | грн. | 2,25 | 5,6 |
| Коэффициент использования материала | η | - | 0,37 | 0,19 |
1.4 Проектирование плана обработки
1.4.1 Анализ конструкции детали на технологичность
В общем случае конструкция детали считается технологичной, если она обеспечивает простое и экономичное изготовление. Критериями технологичности детали являются абсолютное значение трудоемкости Т и технологической себестоимости С ее изготовления.
Характеристики
Тип файла документ
Документы такого типа открываются такими программами, как Microsoft Office Word на компьютерах Windows, Apple Pages на компьютерах Mac, Open Office - бесплатная альтернатива на различных платформах, в том числе Linux. Наиболее простым и современным решением будут Google документы, так как открываются онлайн без скачивания прямо в браузере на любой платформе. Существуют российские качественные аналоги, например от Яндекса.
Будьте внимательны на мобильных устройствах, так как там используются упрощённый функционал даже в официальном приложении от Microsoft, поэтому для просмотра скачивайте PDF-версию. А если нужно редактировать файл, то используйте оригинальный файл.
Файлы такого типа обычно разбиты на страницы, а текст может быть форматированным (жирный, курсив, выбор шрифта, таблицы и т.п.), а также в него можно добавлять изображения. Формат идеально подходит для рефератов, докладов и РПЗ курсовых проектов, которые необходимо распечатать. Кстати перед печатью также сохраняйте файл в PDF, так как принтер может начудить со шрифтами.















