201575 (689382), страница 4
Текст из файла (страница 4)
Исходными данными для определения припусков являются: материал, вид заготовки, ее масса и размеры, маршрут обработки поверхности, схема установки заготовки.
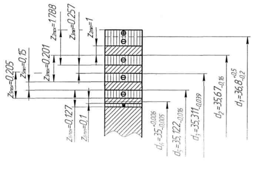
1.4.4.1 Определение припусков табличным методом и расчет операционных технологических размеров методом размерных цепей (метод Балакшина) для поверхности
мм (наружная цилиндрическая поверхность).
Подготовить таблицу для исходных данных и расчетных значений припусков
Назначение припусков [4]:
Точение черновое2zmin =1 мм
Точение чистовое2zmin = 0,2 мм
Шлифование черновое2zmin =0,15 мм
Шлифование чистовое2zmin =0,1 мм
Расчет максимальных значений размеров по переходам, начиная с последнего:
Расчетные значения di max необходимо округлить с точностью до количества знаков после запятой в допуске - в большую сторону для валов.
Таблица 1.8 - Маршрут обработки для наружной поверхности
мм (табличный метод расчета припусков)
| I | Наименовани технологич. перехода | Расчетный размер | Доп. Td, мм | Значение размеров | Значение припусков | Технологический размер, мм | |||
| 2zmin мм | d, мм | dmax мм | dmin мм | 2zmax мм | 2zmin мм | ||||
| 1 | Заготовительная | - | 700 | 37,3 | 36,6 | - | - |
| |
| 2 | Точение черновое | 1 | 35,671 | 160 | 35,67 | 35,512 | 1,788 | 1 | |
| 3 | Точение чистовое | 0,2 | 35,311 | 39 | 35,311 | 35,272 | 0,201 | 0,2 | |
| 4 | ТО | - | - | - | - | - | - | - | - |
| 5 | Шлифование черновое | 0,15 | 35,122 | 16 | 35,122 | 35,106 | 0,205 | 0,15 | |
| 6 | Шлифование чистовое | 0,1 | 35,006 | 11 | 35,006 | 34,995 | 0,127 | 0,1 | |
Расчет минимальных значений размеров по переходам, мм
Определение припусков по переходам, мм:
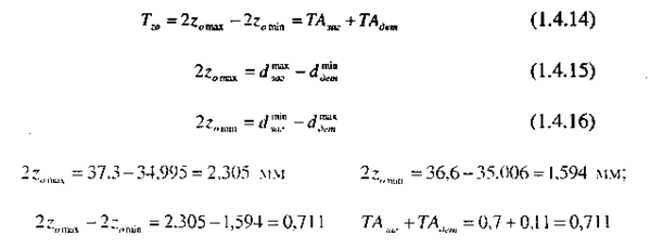
Проверочный расчет:
Определение исполнительных размеров:
Р
асчетная схема представлена на рис. 1.9
Рисунок 1.9 - Расчетная схема (метод Балакшина)
1.4.4.2 Определение припусков табличным методом и расчет операционных технологических размеров для поверхности
мм (внутренняя цилиндрическая поверхность).
Подготовить таблицу для исходных данных и расчетных значений припусков
Назначение припусков [4]:
Сверление……………………………….2Zmin = 20 мм
Растачивание получистовое……………2Zmin =1 мм
Шлифование черновое………………….2Zmin =0,4 мм
Шлифование чистовое………………….2Zmin =0,08 мм
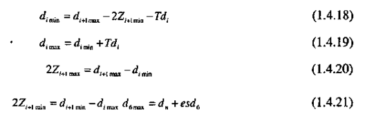
Расчет максимальных значений размеров по переходам выполняется по
формулам:
Расчет минимальных значений размеров по переходам, мм
Таблица 1.10 Маршрут обработки для наружной поверхности
(табличный метод расчета припусков)
| Наименовани технологич. перехода | Расчетный размер | Доп. Td, мм | Значение размеров | Значение припусков | Технологический размер, мм | ||||
| 2zmin мм | d, мм | dmax мм | dmin мм | 2zmax мм | 2zmin мм | ||||
| 1 | Сверление | 20 | 23,459 | 160 | 23,619 | 23,459 | 23,61 | 20 |
|
| 2 | Растачивание получистовое | 0,8 | 24,419 | 62 | 24,481 | 24,419 | 1,031 | 0,8 | |
| 3 | ТО | - | - | - | - | - | - | - | - |
| 4 | Шлифование черновое | 0,4 | 24,881 | 39 | 24,92 | 24,881 | 0,501 | 0,4 | |
| 5 | Шлифование чистовое | 0,08 | 25 | 21 | 25,021 | 25 | 0,14 | 0,08 | |
1.4.4.3 Расчет припусков табличным методом и определение операционных технологических размеров методом Кована для поверхности
мм (внутренняя цилиндрическая поверхность)
Назначение припусков [4]:
Растачивание черновое 2zmin=2 мм
Растачивание получистовое 2zmin=1 мм
Шлифование черновое 2zmin=0,4 мм
Шлифование чистовое 2zmin=0,08 мм
Расчет минимальных значений размеров по переходам, начиная с последнего.
Расчет максимальных значений размеров по переходам
В табл. 1.11 представлен маршрут обработки поверхности.
Проверочный расчет:
Таблица 1.11 Маршрут обработки для наружной поверхности
(аналитический метод расчета припусков)
| Наименовани технологич. перехода | Расчетный размер | Доп. Td, мм | Значение размеров | Значение припусков | Технологический размер, мм | |||||||
| 2zmin мм | d, мм | dmax мм | dmin мм | 2zmax мм | 2zmin мм | |||||||
| 1 | Заготовительная | - | 30,575 | 700 | 31,275 | 30,575 | - | - |
| |||
| 2 | Растачивание получистовое | 2 | 33,275 | 160 | 33,435 | 33,275 | 2,86 | 2 | | |||
| 3 | Растачивание получистовое | 1 | 34,435 | 62 | 34,497 | 34,435 | 1,22 | 1 | | |||
| 4 | ТО | - | - | - | - | - | - | - | - | |||
| 5 | Шлифование черновое | 0,4 | 34,895 | 25 | 34,92 | 34,895 | 0,485 | 0,4 | | |||
| 6 | Шлифование чистовое | 0,08 | 35 | 25 | 35,025 | 35 | 0,13 | 0,08 | | |||
1.4.4.4 Расчет припусков длиннового размера 10 мм методом размерных цепей















