201575 (689382), страница 3
Текст из файла (страница 3)
мм
Характеристика детали: Тdд = 25 мкм, IT6, Rад = 0,8 мкм (Rzдет=2,5 мкм)
Допуски для поверхности заготовки выбираем согласно источнику [1]:
Заготовка
мм
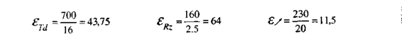
Расчет необходимых уточнений, используя формулы (1.4.4), (1.4.5), (1.4.6):
Количество переходов согласно (1.4.7): Kd=2•lg64=3,68 Kd=4
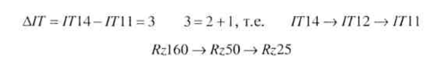
Разница квалитетов по точности и шероховатости:
Значения допуском по операциям [1]:
Td заг =700 мкм заготовительная операция
Td2 =160 мкм сверление
Td3 =62 мкм растачивание получистовое
Td5 = 25 мкм шлифование черновое
Td6 = 25 мкм шлифование чистовое
Расчет аналогичен п.1.4.2.1
Результаты расчетов сведены в табл. 1.5
Таблица 1.5 - План обработки поверхности
мм
| Обрабатыв. поверхность | Показатели точности | Уточнение | Кол-во переходов | Разница квалитетов по точности | МОП | Показ. кач-ва | Уточнения | |||||||||
| расч. | прин. | i | Метод обработки | Td | Rz | | εd | εR | ε | |||||||
| IT = 11 Rz = 160 IT = 16 | Td Rz | 43,75 64 11,5 | 3,28 | 4 | ΔIT=IT14-IT7=7 IT14→IT11→IT9→IT8→IT7 | 1 | Заготовит. | 700 | 160 | 230 | - | - | - | |||
| 2 | Сверление | 160 | 50 | 53 | 3,2 | 1,6 | 4,33 | |||||||||
| 3 | Растачив. получист. | 62 | 25 | 31 | 2,5 | 2 | 1,7 | |||||||||
| 4 | Шлифование черновое | 25 | 10 | 8 | 2,4 | 2,5 | 3,8 | |||||||||
| 5 | Шлифование чистовое | 25 | 2,5 | 2 | 1 | 4 | 4 | |||||||||
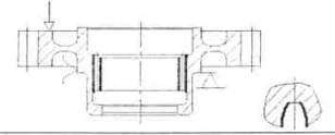
1.4.2.4 Определение МОП длиннового размера 29 мм
Шероховатость поверхностей 1 и 2 Rад = 3.2 мкм (Rz дет = 10 мкм); Заготовка: Td = 130 мкм; Rz заг = 160 мкм; IT = 14
Рисунок 1.5 - Эскиз шестерни для определения МОП длиннового размера
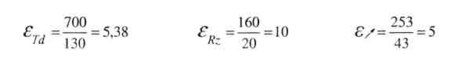
Расчет необходимых уточнений, используя формулы (1.4.4), (1.4.5), (1.4.6):
Количество переходов согласно (1.4.7): Kd = 2·lg10 = 2 Kd = 2
Разница квалитетов по точности и шероховатости:
Значения допусков по операциям выбираем по источнику [1] как и в предыдущих пунктах п.1.4.2.1 и п.1.4.2.2
Все выбранные значения заносим в таблицу 1.6.
| Обрабатыв. поверхность | Показатели точности | Уточнение | Кол-во переходов | Разница квалитетов по точности | МОП | Показ. кач-ва | Уточнения | |||||||||
| расч. | прин. | i | Метод обработки | Td | Rz | | εd | εR | ε | |||||||
| 2 15 | Td Rz | 5,38 10 5 | 2 | 2 | Поверхность 2: T14→IT12→IT11 Поверхность 15: IT14→IT12→IT11 | 1 | Заготовит. | 700 | 160 | 253 | - | - | - | |||
| 2 | Точение черновое (пов. 2,15) | 210 | 50 | 70 | 3,3 | 3,2 | 3,6 | |||||||||
| 3 | Точение получистовое (пов. 2,15) | 130 | 25 | 43 | 1,6 | 2 | 1,62 | |||||||||
1.4.3 Проектирование маршрута обработки заготовки
Маршрут обработки заготовки - это общий план, в котором на основе компоновки операций установлен состав и последовательность операций технологического процесса, указаны тип и модель станка, установлены технические комплексы поверхностей. МОЗ как этапный документ технологического процесса представляется в виде таблицы. Исходные данные: чертеж детали; эскиз заготовки; годовая программа выпуска N=5000 шт.; сведения о целевом назначении технологического процесса; справочно-нормативные материалы. Маршрут обработки заготовки представлен в таб. 1.7:
Таблица 1.7 - Маршрут обработки заготовки
| № | Содержание и наименование операции | Оборудование | Эскиз установки | ||||||||||
| 005 | Заготовительная (штамповка) | КГШП | | ||||||||||
| 010 | ТО (нормализация) | Печь | |||||||||||
| 015 | Токарная с ЧПУ | АТПр-2М12С | | ||||||||||
| 020 | Токарная с ЧПУ | АТПр-2М12С | | ||||||||||
| 025 | Токарная | 16К20 | | ||||||||||
| 030 | Шлифовальная | 3М151 | | ||||||||||
| 035 | Зубофрезерная | 5Е32 | | ||||||||||
| 040 | Зубофрезерная | Р251 | У35 | ||||||||||
| 045 | Слесарная | Слесарный верстак | |||||||||||
| 050 | Моечная | Моечная машина | |||||||||||
| 055 | Горизонтально-фрезерная | 6Р83 | | ||||||||||
| 060 | Моечная | Моечная машина | |||||||||||
| 065 | Контрольная | Контрольный стол | |||||||||||
| 070 | Меднение под нитроцементацию | Ванна | |||||||||||
| 075 | Нитроцементация | Печь | |||||||||||
| 080 | Токарная | АТПр-2М12СН | | ||||||||||
| 085 | Долбежная | 7Д430 | | ||||||||||
| 090 | Кругло-шлифовальная | | |||||||||||
| 095 | Внутри- шлифовальная | 3К227А | |||||||||||
| 100 | Моечная | Моечная машина | |||||||||||
| 105 | Зубо-шлифовальная | 5851 | | ||||||||||
| 110 | Моечная | Моечная машина | |||||||||||
| 115 | Контрольная | Контрольный стол | |||||||||||
| 120 | Стабилизирующий отпуск | ||||||||||||
| 140 | Слесарная | Специальная установка | |||||||||||
| 145 | Магнитный контроль | УМДЭ-1000 | |||||||||||
1.4.4 Расчёт межоперационных припусков и технологических размеров















