201575 (689382), страница 5
Текст из файла (страница 5)
Предварительно необходимо составить маршрутную схему и примерный маршрут обработки.
Рисунок 1.6 Маршрут обработки поверхности
Технологические размеры определяются методом размерной цепи, мм
При выполнении технологических расчетов значения припусков нахожу табличным методом, используя источник [4]:
а)токарная черновая обработка zmin=1,2 мм на сторону
б)токарная получистовая обработка zmin=0,25 мм на сторону
Расчетные значения Simax необходимо округлить с точностью до количества знаков после запятой в допуске - в большую сторону для валов.
Расчет минимальных технологических размеров и припусков по переходам, мм
Номинальный размер, мм:
Таблица 1.12 - Маршрут обработки длинновой поверхности 29 мм
| I | Наименовани технологич. перехода | Расчетный размер | Доп.Td, мм | Значение размеров | Значение припусков | Технологический размер, мм | |||||
| zmin мкм | S, мм | Smax мм | Smin мм | zmax мм | zmin мм | ||||||
| 1 | Заготовительная | - | 33,2 | 0,7 | 33,15 | 32,45 | - | - |
| ||
| 2 | Точение получистовое поверхности | 2 | 1,2 | 31,25 | 0,21 | 31,25 | 31,04 | 2,11 | 1,2 | | |
| 15 | 1,2 | 29,84 | 0,21 | 29,84 | 29,63 | 1,62 | 1,2 | | |||
| 3 | Точение чистовое поверхности | 2 | 0,25 | 29,38 | 0,13 | 29,38 | 29,25 | 0,59 | 0,25 | | |
| 15 | 0,25 | 29 | 0,13 | 29 | 28,87 | 0,51 | 0,25 | | |||
1.5 Проектирование операционной технологии
1.5.1 Расчет режимов резания на шлифовальную операцию (030)
Исходные данные:
деталь - Шестерня привода;
обрабатываемый материал - Сталь 14ХГСН2МА-Ш, σВ=1000 МПа;
заготовка - штамповка;
оборудование - круглошлифовальный станок мод. 3У151;
инструмент - круг шлифовальный 1 200x32x76 24А 40 С1 К5 35м/с 1кл ГОСТ 2424-88
Процесс обработки:
-
Установить и закрепить деталь
-
Шлифовать поверхность 9.
-
Снять деталь
Характеристика станка (3М151)
Наибольшие размеры устанавливаемой заготовки:
диаметр, мм 270
длина, мм 700
Рекомендуемый диаметр (наибольший) шлифования, мм:
Наружного 60
Внутреннего -
Наибольшая длина шлифования, мм:
Наружного 700
Внутреннего -
Высота центров над столом, мм 125
Наибольшее продольное перемещение стола, мм 705
Частота вращения шпинделя, об/мин, шпинделя заготовки с бесступенчатым регулированием 50-500
Наибольшие размеры шлифовального круга, мм:
наружный диаметр 600
высота 100
Частота вращения шпинделя шлифовального круга, об/мин:
наружное шлифование 1590
внутреннее шлифование -
Скорость врезной подачи шлифовальной головки, мм/мин 0,1-4
Мощность электродвигателя, кВт 12
Габариты, мм
Длина 4605
Ширина 2450
Определение режимов резания
Стойкость шлифовального круга Т=5 мин [8, стр.625, карта 4].
Глубина резания принимается равной припуску на обработку t=0,1 мм
Рисунок 1.7 Операционный эскиз на операцию 030
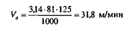
Предварительно принимаю скорость вращения детали Vd=(18...35) м/с, принимаю Vd=30, используя источник [8, с 628, карта 6]. В связи с этим число оборотов детали, согласно формуле (1.5.1):
Для поверхности 9 ( D=81 мм)
По паспорту станка принимаю
. При данном значении числа оборотов детали скорость ее вращения согласно формуле (1.5.2) составит:
Выбор поперечной передачи производится согласно источника [8]
где K1 - коэффициент, зависящий от припуска и точности; K1=0,63
[8, стр.629, карта 6]
К2 - коэффициент, зависящий от обрабатываемого материала и
диаметра обрабатываемою круга; К2=0,8 [8, стр.629, карта 6]
Расчет мощности резания, кВт:
где K1 - коэффициент, учитывающий твердость и ширину круга
К2 - коэффициент, учитывающий диаметр шлифования
K1=l,04, K2=l,l, [8, стр.630, карта 7]
NТАБЛ=0,30 кВт [8, стр.631, карта 8]
N=0,3·1,04·1,1=0,34 кВт
Расчет основного времени, мин:
[8, стр.636, карта 12] - табличное время установившегося процесса
где K1 – коэффициент, учитывающий припуск и точность обработки
К2 - коэффициент, учитывающий материал и диаметр шлифовального круга.
где К - коэффициент, зависящий от материала заготовки и припуска
1.5.2 Расчет режимов резания на операцию № 035 зубофрезерная
Исходные данные:
Заготовка - штамповка ;
Прочность σ=1000 МПа;
Материал 14ХГСН2МА-Ш
Деталь - Шестерня привода; m=3; z=25; степень точности 6-В; HRC 30...42; угол наклона зубьев β=20
Инструмент - фреза червячная модульная цельная из быстрорежущей стали Р18, двухзаходная (К=2); Dф=70мм ГОСТ 9324-80
Рисунок 1.8 Эскиз операции зубонарезания
Характеристика зубофрезерного станка 5Е32
Наибольший размер обрабатываемой заготовки, мм
- диаметр 200
Набольшие размеры нарезаемых колес
- модуль 6
- длина зуба прямозубых колес 180
Частота вращения шпинделя, об/мин 75-500
Подача заготовки, мм/об
- вертикальная 0,45-120
- горизонтальная 0,1-1,6
Мощность электродвигателя, кВт 7,5
Габариты, мм
- длина 3150
- ширина 1815
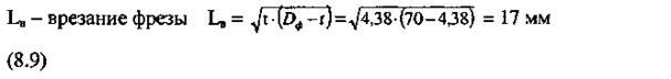
Глубина резания
Поскольку после фрезерования предусматривается шлифование зубьев, то глубина резания будет равна полной высоте зуба 2,25-m за вычетом припуска под шлифование 2а. По таблице 3.11 стр. 59 [9] 2а=0,12 мм. Окончательно
Подача
где S0T - подача по таблице 3.4 стр.56 [9]; для 2-хзаходной фрезы из быстрорежущей стали при числе зубьев детали z=25 SOT=3 мм/об
Ks1 - коэффициент, учитывающий твердость заготовки (табл 3.5 стр56 [9])
Ks2 - коэффициент, учитывающий угол наклона зубьев (табл 3.5 стр56 [9])
Кs3 - коэффициент, учитывающий количество заходов фрезы (табл 3.5 стр56 [9])
Округляем до ближайшего нормативного значения по таблице 3.7 стр 57 [9]
Принимаем So=2,3 мм/об
Стойкость фрезы
По таблице 3.8 [9] при m=3 Т=160 мин
Скорость резания
где VT - табличная скорость ([7] карта 3-2 стр 148); для 2-хзаходной фрезы из быстрорежущей стали при числе зубьев детали z=25
K1 - коэффициент, зависящий от обрабатываемого материала ([7],карта 3-2 стр149)
К2 - коэффициент, зависящий от стойкости инструмента ([7] карта 3-2 стр149)
nф=(1000 • V)/(π • Dф)=(1000 • З6)/(3,14 • 70)=163,8 об/мин (1.5.7)
Уточняем по паспорту станка и принимаем nф=156 об/мин
Пересчитываем скорость резания
Мощность резания
где K1 зависит от механических свойств материала
К2 - зависит от состава материала
Кз - зависит от стойкости фрезы
К4 - зависит от количества заходов фрезы
Табличное значение мощности и коэффициенты выбираем по таблицам 3.9,3.10 стр 57 [9]
Необходимая мощность электродвигателя
где η - КПД станка
У данного станка N=7,5 кВт, что обеспечивает значительный резерв мощности
Основное машинное время
Где В – ширина нарезаемого венца
Lп –перебег 3…5 мм для косозубого колеса
1.5.3 К.р. №1 Расчет режимов резания на операцию №045 - токарная с ЧПУ
Исходные данные:
Заготовка - штамповка;
Прочность а=1000 МПа;
Материал 14ХГСН2МА-Ш;
Деталь - Шестерня привода;
Инструмент: Сверло центровочное комбинированное Ø5 Р6М5 ГОСТ 14952-75
Сверло спиральное 023,5 Р6М5 ГОСТ 2092-77
Резец проходной упорный с пластиной из твердого сплава
Т15К6 2101-0013 ГОСТ 18879-73; НхВ=25x16; φ=93°;
















