179509 (685661), страница 9
Текст из файла (страница 9)
Средняя квадратическая применяется для расчета среднего квадратического отклонения (а), являющегося показателем вариации признаков, а также в технике (например, при сооружении трубопроводов).
Средняя геометрическая (простая) используется при вычислении среднего коэффициента роста (темпа) в рядах динамики.
Структурные средние - мода и медиана - в отличие от степенных средних, которые в значительной степени являются абстрактной характеристикой совокупности, выступают как конкретные величины, совпадающие с вполне определенными вариантами совокупности. Это делает их незаменимыми при решении ряда практических задач.
Модой называется значение признака, которое наиболее часто встречается в совокупности (в статистическом ряду).
Медианой называется значение признака, которое лежит в середине ранжированного ряда и делит этот ряд на две равные по численности части.
Ранжированный ряд - ряд, расположенный в порядке возрастания или убывания значений признака.
Для определения медианы сначала определяют ее место в ряду, используя формулу
Если ряд состоит из четного числа членов, то за медиану условно принимают среднюю арифметическую их двух срединных значений.
Применяется мода при экспертных оценках, при определении наиболее ходовых размеров обуви, одежды, что учитывается при планировании их производства. Медиана используется при статистическом контроле качества продукции и технологического процесса на промышленных предприятиях; при изучении распределения семей по величине дохода и др. Мода и медиана имеют преимущество перед средней арифметической для ряда распределения с открытыми интервалами.
3. СТАТИСТИЧЕСКИЕ РАСПРЕДЕЛЕНИЯ И ИХ ОСНОВНЫЕ ХАРАКТЕРИСТИКИ
Различия индивидуальных значений признака у единиц совокупности называются вариацией признака. Она возникает в результате того, что индивидуальные значения складываются под совместным влиянием разнообразных условий (факторов), по-разному сочетающихся в каждом отдельном случае.
Изучение вариации в пределах однородной группы предполагает использование следующих приемов: построение вариационного ряда (ряда распределения), его графическое изображение, исчисление основных характеристик распределения.
Вариационный ряд - групповая таблица, построенная по количественному признаку, в сказуемом которой показывается число единиц в каждой группе. Форма построения вариационного ряда зависит от характера изменения изучаемого признака, он может быть построен в форме дискретного ряда или в форме интервального ряда.
По характеру вариации значений признака различают:
• признаки с прерывным изменением (дискретные);
* признаки с непрерывным изменением (непрерывные).
Признаки с прерывным изменением могут принимать лишь конечное число определенных значений (например, тарифный разряд рабочих, число детей в семье, число станков, обслуживаемых одним рабочим). Признаки с непрерывным изменением могут принимать в определенных границах любые значения (например, стаж работы, пробег автомобиля, размер дохода и т. д.).
Для признака, имеющего прерывное изменение и принимающего небольшое количество значений, применяется построение дискретного ряда. В первой графе ряда указываются конкретные значения каждого индивидуального значения признака, во второй графе - численность единиц с определенным значением признака.
Для признака, имеющего непрерывное изменение, строится интервальный вариационный ряд, состоящий, так же как и дискретный ряд, из двух граф (варианты и частоты). При его построении в первой графе отдельные значения признака указываются в интервалах «от - до», во второй графе - число единиц, входящих в интервал. Интервалы образуются, как правило, равные и закрытые.
Величина интервала определяется по формуле
i = R/m
где R - размах колебания (варьирования) признака;
т - число групп.
Число групп приближенно определяется по формуле Стерджесса:
т = 1 +3,322 lg n,
где п - общее число единиц совокупности.
Полученную по этой формуле величину округляют до целого числа, поскольку количество групп не может быть дробным числом.
При небольшом объеме информации (численности единиц в совокупности) число групп может быть установлено исследователем без использования формулы Стерджесса.
Величину интервала обычно округляют до целого (всегда большего) числа, исключение составляют лишь случаи, когда изучаются малейшие колебания признака (например, при группировке деталей по величине размера отклонений от номинала, измеряемого в долях миллиметра).
Нижнюю границу первого интервала принимают равной минимальному значению признака (чаще всего его предварительно округляют до целого числа); верхняя граница первого интервала соответствует значению (дст)п + /). Для последующих групп границы определяются аналогично, т. е. последовательно прибавляется величина интервала. Если единица обладает значением признака, равным величине верхней границы интервала, то ее следует относить к следующей группе.
Примером интервального вариационного ряда служит табл. 3.1.
Таблица 3.1 Выполнение норм выработки рабочими цеха
Частоты ряда (f) могут быть заменены частостями (w), которые представляют собой частоты, выраженные в относительных числах (долях или процентах) и рассчитанные путем деления частоты каждого интервала на их общую сумму, т. е.
Замена частот частостями позволяет сопоставлять вариационные ряды с различным числом наблюдений. В табл. 3.2 по данным табл. 3.1 исчислены частости и накопленные частоты. Частости в долях исчислялись так:
Таблица 3.2 Выполнение норм выработки рабочими цеха
Частости в процентах:
0,022 • 100 = 2,2%; 0,245 • 100 = 24,5% и т. д.
Накопленные частоты:
2+ 22 = 24; 24+ 48 = 72; 72 +16 = 88; 88+2 = 90.
Если вариационный ряд дан с неравными интервалами, то для правильного представления о характере распределения необходимо произвести расчет абсолютной или относительной плотности распределения.
Абсолютная плотность распределения (р) представляет собой величину частоты, приходящейся на единицу размера интервала отдельной группы ряда: р =f/i
Относительная плотность распределения (р') - частное от деления частости (w) отдельной группы на размер ее интервала: р' - w/i
Первым этапом изучения вариационного ряда является его графическое изображение. Дискретный вариационный ряд изображается в виде так называемого полигона, или многоугольника, распределения частот, являющегося разновидностью статистических ломаных. Для изображения интервального ряда применяются полигон распределения частот и гистограмма частот.
Строятся графики в прямоугольной системе координат. При построении полигона частот на оси абсцисс в одинаковом масштабе откладываются направо в порядке возрастания значения признака (для дискретного характера) или центральные значения интервалов (для интервальных рядов); по оси ординат наносится шкала для выражения величин частот. Из точек на оси абсцисс, соответствующих величине признака, восстанавливаются перпендикуляры высотой, соответствующей частоте; вершины перпендикуляров соединяются отрезками прямой. Крайние точки полученной ломаной соединяются с лежащими на оси абсцисс следующими (меньшими и большими) возможными, но фактически не наблюдающимися значениями признака, частота которых, очевидно, равна 0. Замкнутая с осью абсцисс ломаная линия представляет полигон распределения частот.
Для построения гистограммы по оси абсцисс откладывают величины интервалов, а частоты изображаются прямоугольниками, построенными на интервалах с высотой в масштабе оси ординат. В случае неравенства интервалов гистограмма строится не по частотам или частостям, а по плотности распределения.
В ряде случаев для изображения вариационных рядов используется кумулятивная кривая (кумулята), она особенно удобна для сравнения вариационных рядов. Накопленные частоты наносятся на чертеж в виде ординат; соединяя вершины отдельных ординат прямыми, получают ломаную линию, которая, начиная с нуля, непрерывно поднимается над осью абсцисс, до тех пор пока не достигнет высоты, соответствующей общей сумме частот.
При построении графических изображений вариационного ряда большое значение имеет соотношение масштабов по оси абсцисс (х) и оси ординат (f). В этом случае следует руководствоваться так называемым «правилом золотого сечения», в соответствии с которым высота графика должна быть примерно в два раза меньше его основания.
Для анализа вариационных рядов используются три группы показателей:
• показатели центра распределения;
• показатели степени вариации;
• показатели формы распределения.
Показатели центра распределения
Для характеристики среднего значения признака в вариационном ряду применяются: средняя арифметическая, медиана, мода.
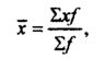
Средняя арифметическая для дискретного ряда распределения исчисляется по формуле:
где х - варианты значений признака;
f - частота повторения данного варианта.
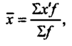
Средняя арифметическая для интервального ряда распределения:
где х' - середина соответствующего интервала значения признака.
Медиана (Ме) соответствует варианту, стоящему в середине ранжированного ряда. Положение медианы определяется ее номером:
где п - число единиц в совокупности.
По накопленным частотам определяют ее численное значение в дискретном вариационном ряду.
В интервальном ряду распределения сначала указывают интервал, в котором находится медиана.
Медианным является первый интервал, в котором сумма накопленных частот превысит половину общего числа наблюдений.
Численное значение медианы определяется по формуле:
где хМе - нижняя граница медианного интервала;
i - величина интервала;
S(-1) - накопленная частота интервала, предшествующего медианному;
f- частота медианного интервала.
Мода (Мо) - наиболее часто встречающееся значение признака. В дискретном ряду - это варианта с наибольшей частотой. В интервальном ряду сначала определяется модальный интервал, т. е. тот интервал, который имеет наибольшую частоту.
Конкретное значение моды определяется по формуле:
Моду и медиану можно определить на основе графического изображения ряда. Медиана определяется по кумуляте. Для ее определения высоту наибольшей ординаты, которая соответствует общей численности, делят пополам. Через полученную точку проводят прямую, параллельную оси абсцисс, до пересечения ее с кумулятой. Абсцисса точки пересечения является медианной величиной.
Мода определяется по гистограмме распределения. Для этого правую вершину модального прямоугольника соединяют с правым верхним углом предыдущего прямоугольника, а левую вершину модального прямоугольника - с левым верхним углом последующего прямоугольника. Абсцисса точки пересечения этих прямых и будет модой распределения.
Показатели вариации (колеблемости) признака
Для характеристики размера вариации признака используются абсолютные и относительные показатели. К абсолютным показателям вариации относятся:
• размах колебаний;
• среднее линейное отклонение;
• среднее квадратическое отклонение;
• дисперсия;
• квартильное отклонение.
Размах колебаний (размах вариации)
где Xmax u Xmin - соответственно максимальное и минимальное значения признака. Величина показателя зависит от величины только двух крайних вариант и не учитывает степени колеблемости основной массы членов ряда.
Среднее линейное отклонение и среднее квадратическое отклонение показывают, на сколько в среднем отличаются индивидуальные значения признака от среднего его значения. Среднее линейное отклонение определяется по формулам:
















