179509 (685661), страница 13
Текст из файла (страница 13)
-
средняя себестоимость единицы продукции по группе предприятии соответственно в отчетном и базисном периодах.
Средняя себестоимость единицы продукции в отчетном и базисном периодах исчисляется по формулам средней арифметической взвешенной:
-
себестоимость единицы продукции каждого предприятия соответственно в базисном и отчетном периодах;
-
выпуск продукции в натуральном выражении каждым предприятием соответственно в базисном и отчетном периодах.
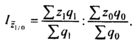
Следовательно,
Этот индекс носит название индекса переменного состава. Это объясняется тем, что при исчислении средней себестоимости единицы продукции в отчетном периоде весами служило количество продукции отчетного периода. При определении средней себестоимости единицы продукции базисного периода весами было количество продукции базисного периода, т. е. исчислялись средние с меняющимися (переменными) весами.
Величины отражают распределение продукции
по предприятиям, поэтому формула индекса себестоимости переменного состава может быть записана так:
- удельный вес каждого предприятия в общем объеме выпуска продукта А соответственно в базисном и отчетном периодах.
-
абсолютное изменение средней себестоимости по группе предприятий.
Величина индекса переменного состава зависит от изменения уровня себестоимости по предприятиям и изменения в распределении физического объема продукции между предприятиями.
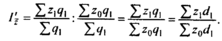
Чтобы устранить влияние изменений в структуре весов на показатель изменения уровня себестоимости, рассчитывается отношение средних с одними и теми же весами, т. е. исчисляется индекс себестоимости фиксированного состава. Для этого среднюю себестоимость определяют при структуре фактического объема продукции в текущем периоде.
Формула индекса себестоимости фиксированного состава записывается так:
Полученный индекс себестоимости фиксированного состава отражает изменение уровня средней себестоимости в связи с изменениями значений себестоимости по отдельным предприятиям:
- абсолютное изменение средней себестоимости по группе предприятий за счет изменения уровня себестоимости по предприятиям.
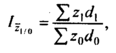
Индекс влияния структурных сдвигов в объеме продукции определяется по формулам
-
абсолютное изменение средней себестоимости по группе предприятий за счет структурных сдвигов в объеме выпуска продукции.
Поскольку изменение средней себестоимости в целом по группе предприятий определяется изменением двух факторов, то
РЕШЕНИЕ ТИПОВЫХ ЗАДАЧ
Задача 1. Выпуск продукции по заводу почвообрабатывающих машин за два квартала следующий:
| Вид продукции | Выпуск, шт. | Отпускная цена за шт., тыс. д.е | |||
| 1 кв. (q0) | 2 кв. (q1) | 1 кв. (p0) | 2 кв. (p1) | ||
| Плуги навесные 2500 | 2610 4,8 5,4 | ||||
| Плуги прицепные 3000 | 2950 7,1 7,6 | ||||
| Культиваторы навесные 3600 | 3700 5,0 5,7 | ||||
Определить:
1) изменение (в %) выпуска каждого вида продукции, а также изменение выпуска продукции в целом по предприятию;
2) изменение цен (в %) по каждому виду продукции и среднее изменение цен по всему ассортименту продукции;
3) абсолютное изменение общей стоимости продукции, выделив из общей суммы изменение за счет изменения количества продукции и за счет изменения цен.
Решение
Для характеристики изменения выпуска продукции в целом по предприятию исчисляется агрегатный индекс физического объема продукции:
или 101,3%, т. е. в целом по предприятию выпуск продукции увеличился на 1,3%, в результате стоимость продукции увеличилась на 673 000 руб. (51 973 - 51 300).
Среднее изменение цен по всему ассортименту продукции определяется по формуле агрегатного индекса цен:
или 110,8%.
Таким образом, цены на продукцию предприятия повышены в среднем на 10,8%, за счет чего стоимость продукции повысилась на 5631 тыс. руб. (57 604-51 973).
3. Абсолютное изменение стоимости продукции определяется по формуле
-
абсолютное изменение стоимости продукции за счет изменения выпуска продукции
- абсолютное изменение стоимости продукции за счет изменения цен;
тыс. руб;
что и соответствует ранее полученной цифре.
Задача 2. Определить, как изменились в среднем отпускные цены на продукцию, если количество произведенной продукции в отчетном периоде по сравнению с базисным увеличилось на 8,0%, а общая стоимость продукции уменьшилась на 5,0%.
Решение
Для определения индекса цен используется взаимосвязь между тремя индексами:
или 97,2%. Следовательно, отпускные цены на продукцию снижены в среднем на 2,8%.
6. ВОПРОСЫ К ЭКЗАМЕНУ (ЗАЧЕТУ) ПО СТАТИСТИКЕ
-
Современная организация статистики. Задачи органов статистики в условиях рыночных отношений.
-
Статистическое наблюдение. Основные организационные формы статистического наблюдения.
-
Виды статистического наблюдения.
-
Организация статистической отчетности. Специальные статистические наблюдения. Ошибки наблюдения.
-
Задачи группировок. Виды группировок: типологические, структурные, аналитические.
-
Группировочные признаки, их сущность и значение.
-
Важнейшие группировки и классификации, применяемые в статистике.
-
Ряды распределения. Их виды, назначение и использование.
-
Абсолютные величины и их значение в статистическом исследовании. Виды абсолютных величин, единицы измерения.
10.Виды относительных величин, способы их расчета и формы
выражения.
11.Виды средних и способы определения их величин.
12.Выборочное наблюдение - основные приема расчета ошибок.
13.Задачи статистического изучения вариации. Основные показатели
вариации.
14.Виды дисперсии. Правило сложения дисперсий.
15.Понятие о рядах динамики и их значение.
16.Основные правила построения рядов динамики.
17.Виды зависимостей между факторами. Показатели регрессии.
18.Аналитические модели зависимости между факторами.
19.Анализ рядов динамики.
20. Аналитические приемы обработки рядов динамики.
21.Понятие об индексах. Значение индексов в анализе социально-
экономических явлений.
22.Классификация индексов.
23.Индивидуальные и общие индексы.
24.Агрегатный индекс как основная форма общего индекса.
25.Средний арифметический и гармонический индексы.
26.Система взаимосвязей индексов.
27.Индексы постоянного, переменного состава и структурных
сдвигов.
28.Базисные и цепные индексы, их взаимосвязь.
7. ТЕСТЫ ПО СТАТИСТИКЕ (теория статистики)
Абсолютные, относительные и средние величины
1. В прошлом году себестоимость производства изделия А составила 70,0 тыс. руб. По плану отчетного года предусматривалось снизить себестоимость на 1400 руб., фактическая себестоимость составила 68,2 тыс. руб.
Определить относительные величины планового задания по снижению себестоимости и динамики себестоимости производства изделия А.
а) 0,98; 0,974
б) 0,95; 0,087
в) 0,78; 1,657
г) 1,89; 0,675
2. Планом предусмотрено увеличение объема продукции предприятия против прошлого года на 2,1%. Фактически прирост продукции против прошлого года составил 4,8%.
Определить процент выполнения плана по выпуску продукции.
а) 100%
б) 106,5%
в) 102,6%
г) 101,1%
3. Планом предусмотрено снижение затрат на один рубль товарной продукции на 4,0%; фактически по сравнению с прошлым годом затраты возросли на 1,8%.
Определить, на сколько процентов фактические затраты на один рубль товарной продукции отличаются от плановых.
а) Меньше на 5,6%
б) Больше на 2,3%
в) Больше на 6,04%
г) Одинаковые
4. Автобус на междугородной линии протяженностью 625 км прошел путь в прямом направлении со скоростью 68 км/ч, в обратном направлении - со скоростью 52 км/ч.
Определить среднюю скорость сообщения за оборотный рейс.
а) 65,0 км/ч
б) 70,0 км/ч
в) 42,0 км/ч
г) 59,0 км/ч
5. Цехом произведены бракованные детали в трех партиях: в первой партии - 90 шт., что составило 3,0% от общего числа деталей; во второй партии - 140 шт., или 2,8%; в третьей партии - 160 шт., или 2,0%.
Определить средний процент бракованных деталей.
а) 10%
б) 16,5%
в) 2,6%
г) 2,44%
Статистические распределения
1. Средняя величина в совокупности равна 15, среднее квадратическое отклонение равно 10. Чему равен средний квадрат индивидуальных значений этого признака?
















