179509 (685661), страница 10
Текст из файла (страница 10)
а) для несгруппированных данных (первичного ряда)
б) для п вариационного ряда
Среднее квадратическое отклонение (ơ) и дисперсия (ơ2) определяются так:
а) для несгруппированных данных
б) для вариационного ряда
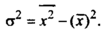
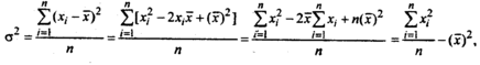
Формула для расчета дисперсии может быть преобразована:
т.е. дисперсия равна средней из квадратов индивидуальных значений признака минус квадрат средней величины. Следовательно,
Среднее квадратическое отклонение по своей величине всегда превышает значение среднего линейного отклонения в соответствии со свойством мажорантности средних.
При сравнении колеблемости различных признаков в одной и той же совокупности или же при сравнении колеблемости одного и того же признака в нескольких совокупностях с различной величиной средней арифметической используются относительные показатели вариации. Они вычисляются как отношение абсолютных показателей вариации к средней арифметической (или медиане) и чаще всего выражаются в процентах.
Формулы расчета относительных показателей вариации следующие:
коэффициент осцилляции
относительное линейное отклонение
коэффициент вариации
Наиболее часто применяется коэффициент вариации. Его применяют не только для сравнительной оценки вариации, но и для характеристики однородности совокупности. Совокупность считается однородной, если коэффициент вариации не превышает 33% (для распределений, близких к нормальному).
Сложение дисперсий изучаемого признака
Изучая дисперсию интересующего нас признака в пределах исследуемой совокупности и опираясь на общую среднюю в расчетах, нельзя оценить влияние отдельных факторов, определяющих колеблемость индивидуальных значений (вариант) признака. Это можно сделать при помощи метода группировок, когда единицы изучаемой совокупности подразделяются на однородные группы по признаку-фактору. При этом кроме общей средней для всей совокупности исчисляются средние по отдельным группам (групповые или частные средние) и три показателя дисперсии:
• общая дисперсия;
• межгрупповая дисперсия;
• средняя внутригрупповая дисперсия.
Величина общей дисперсии (Q02) характеризует вариацию признака под влиянием всех факторов, формирующих уровень признака у единиц данной совокупности, и определяется по формуле
где хo - общая средняя арифметическая для всей изучаемой совокупности.
Межгрупповая дисперсия (дисперсия групповых средних δ2) отражает систематическую вариацию, т. е. те различия в величине изучаемого признака, которые возникают под влиянием фактора, положенного в основу группировки. Межгрупповая дисперсия определяется по формуле
Средняя внутригрупповая дисперсия
характеризует случайную вариацию, возникающую под влиянием других, неучтенных факторов, и не зависит от условия (признака-фактора), положенного в основу группировки.
Средняя внутригрупповая дисперсия определяется по формуле
где ơi2 - дисперсия по отдельной группе;
Указанные дисперсии взаимосвязаны между собой следующим равенством: величина общей дисперсии равна сумме межгрупповой дисперсии и средней внутригрупповой дисперсии:
Это тождество отражает закон (правило) сложения дисперсий. Опираясь на это правило, можно определить, какая часть (доля) общей дисперсии складывается под влиянием признака-фактора, положенного в основу группировки.
Вариации альтернативного признака
Альтернативный признак - качественный признак, имеющий две взаимоисключающие разновидности (например, работники предприятия подразделяются на мужчин и женщин; продукция - на годную и бракованную и т. д.).
Альтернативный признак принимает всего два значения:
1 - наличие признака;
О - отсутствие признака.
p+q=1
где р - доли единиц, обладающих признаком;
q - доли единиц, не обладающих признаком.
Среднее значение альтернативного признака
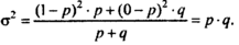
Дисперсия альтернативного признака
Предельное значение вариации альтернативного признака равно 0,25; оно получается при p = q = 0,5.
Показатели формы распределения
Для получения приблизительного представления о форме распределения строят графики распределения (полигон и гистограмму). В практике статистических исследований приходится встречаться с самыми различными распределениями. Однородные совокупности характеризуются, как правило, одновершинными распределениями. Многовершинность свидетельствует о неоднородности изучаемой совокупности. В этом случае необходима перегруппировка данных с целью выделения более однр-родных групп.
Выяснение общего характера распределения предполагает оценку степени его однородности, а также исчисление показателей асимметрии и эксцесса.
Для сравнительного анализа степени асимметрии нескольких распределений рассчитывается относительный показатель асимметрии (As):
Величина показателя асимметрии Аs может быть положительной и отрицательной. Положительная величина показателя асимметрии указывает на наличие правосторонней асимметрии. Отрицательный знак показателя асимметрии говорит о наличии левосторонней асимметрии. Чем больше абсолютная величина коэффициента, тем больше степень скошенности. Принято считать, что если коэффициент асимметрии меньше 0,25, то асимметрия незначительная, если свыше 0,5, то асимметрия значительная.
Кривые распределения
Наиболее надежный путь выявления закономерностей распределения - увеличение количества наблюдений. По мере увеличения количества наблюдений (в пределах той же однородной совокупности) при одновременном уменьшении величины интервала закономерность, характерная для данного распределения, будет выступать все более и более ясно, а представляющая полигон частот ломаная линия будет приближаться к некоторой плавной линии и в пределе должна превратиться в кривую линию.
Кривая линия, которая отражает закономерность изменения частот в чистом, исключающем влияние случайных факторов виде, называется кривой распределения.
В настоящее время изучено значительное число различных форм распределений. В практике статистических исследований часто используется распределение Пуассона, Максвелла, особенно нормальное распределение. Распределения, близкие к нормальному распределению, были обнаружены при изучении самых различных явлений как в природе, так и в развитии общества.
В статистической практике большой интерес представляет решение вопроса о том, в какой мере можно считать полученное в результате статистического наблюдения распределение признака в исследуемой совокупности, соответствующее нормальному распределению.
Для решения этого вопроса следует рассчитать теоретические частоты нормального распределения, т. е. те частоты, которые были бы, если бы данное распределение в точности следовало закону нормального распределения. Для расчета теоретических частот применяется следующая формула:
Следовательно, в зависимости от величины t для каждого интервала эмпирического ряда определяются теоретические частоты.
Для проверки близости теоретического и эмпирического распределений используются специальные показатели, называемые критериями согласия. Наиболее распространенным является критерий согласия
К. Пирсона χ2 («хи- квадрат»), исчисляемый по формуле
где f - эмпирические частоты (частости) в интервале;
f'' - теоретические частоты (частости) в интервале.
Полученное значение критерия (х2 расч) сравнивается с табличным значением (х2табл)- Последнее определяется по специальной таблице (см. приложение 2) в зависимости от принятой вероятности (Р) и числа степеней свободы k (для нормального распределения k равно числу групп в раду распределения минус 3).
Если X2расч <= Х2табл, то гипотеза о близости эмпирического распределения к нормальному не отвергается.
При расчете критерия Пирсона необходимо соблюдать условия: число наблюдений должно быть достаточно велико (п > 50); если теоретические частоты в некоторых интервалах меньше 5, то интервалы объединяют так, чтобы частоты были больше 5.
РЕШЕНИЕ ТИПОВЫХ ЗАДАЧ
3.2. Имеются следующие данные о возрастном составе рабочих цеха (лет): 18; 38; 28; 29; 26; 38; 34; 22; 28; 30; 22; 23; 35; 33; 27; 24; 30; 32; 28; 25; 29; 26; 31; 24; 29; 27; 32; 25; 29; 29.
Для анализа распределения рабочих цеха по возрасту требуется: 1) построить интервальный ряд распределения; 2) дать графическое изображение ряда; 3) исчислить показатели центра распределения, показатели вариации и формы распределения. Сформулировать вывод.
Решение \. Величина интервала группировки определяется по формуле
Интервальный ряд распределения
2. Графически интервальный вариационный ряд может быть представлен в виде гистограммы, полигона, кумуляты.
Гистограмма строится в прямоугольной системе координат. По оси абсцисс откладывают интервалы значений вариационного признака, причем число интервалов целесообразно увеличить на два4ло одному в начале и в конце имеющегося ряда) для удобства преобразования гистограммы в полигон частот. На отрезках (интервалах) строятся прямоугольники, высота которых соответствует частоте.
Для преобразования гистограммы в полигон частот середины верхних сторон прямоугольников соединяют отрезками прямой, и две крайние точки прямоугольников замыкаются по оси абсцисс на середине интервалов, в которых частоты равны нулю.
















