179509 (685661), страница 12
Текст из файла (страница 12)
По степени охвата элементов совокупности различают индивидуальные и сводные (общие) индексы. Индивидуальные индексы характеризуют изменение одного элемента совокупности. Сводные индексы характеризуют изменение сложного явления в целом. В зависимости от способа исчисления общих (сводных) индексов различаются агрегатные индексы и средние взвешенные индексы.
Для удобства применения индексного метода, составления формул индексов и их использования в статистико-экономическом анализе в теории статистики разработана определенная символика и применяются соответствующие условные обозначения.
Каждая индексируемая величина имеет свое символическое обозначение:
q - количество продукции одного вида в натуральном выражении;
р - цена за единицу продукции;
z - себестоимость единицы продукции;
t - затраты труда (рабочего времени) на единицу продукции.
Индексы по отдельным элементам изучаемого сложного экономического явления (т. е. индивидуальные индексы) обозначаются символом i, у которого проставляется символ соответствующей индексируемой величины. Например:
iq - индивидуальный индекс объема (количества) отдельного вида продукции;
ip - индивидуальный индекс цен на отдельный вид продукции (товара);
iz - индивидуальный индекс себестоимости единицы отдельного вида продукции;
iqp - индекс стоимости отдельного вида продукции;
iqz - индекс денежных затрат на выпуск одного вида продукции;
iqt - индекс затрат труда на выпуск (производство) одного вида продукции.
Общий (сводный) индекс изучаемого сложного экономического явления обозначается символом I, у которого отражается символ индексируемой величины. Например:
Iq - общий индекс физического объема продукции;
Ip - общий индекс цен;
Iz - общий индекс себестоимости;
Iqp - общий индекс стоимости всех видов продукции;
Iqz - общий индекс затрат на производство всех видов продукции;
Iqt - общий индекс затрат труда на выпуск всех видов продукции.
Для отражения базисных периодов времени применяются специальные обозначения, которые пишутся внизу символа используемых при написании индекса величин. Базисный период, с данными которого производится сравнение, обозначается нулевым значением, первый отчетный период - единицей и т. д. Кроме того, обозначения сравниваемого и базисного периодов можно проставлять внизу символа индекса (например, Iq1/0).
Индексы количественных показателей
Индивидуальный индекс физического объема выпуска продукции характеризует изменение выпуска (реализации или потребления) одного вида продукции и определяется по формуле
-
количество продукции данного вида в натуральном выражении соответственно в текущем и базисном периодах.
Индивидуальный индекс затрат на выпуск продукции
показывает изменение затрат на производство одного вида продукции и имеет следующий вид:
- себестоимость единицы продукции данного вида соответственно в текущем и базисном периодах;
- сумма затрат на выпуск продукции данного вида соответственно в текущем и базисном периодах.
Индивидуальный индекс стоимости продукции:
- цена единицы продукции данного вида соответственно в текущем и базисном периодах;
- стоимость продукции данного вида соответственно в текущем и базисном периодах.
Агрегатный индекс физического объема продукции Iq1/0
характеризует изменение выпуска всей совокупности продукции и исчисляется по формуле
- количество выработанных единиц отдельных видов продукции соответственно в отчетном и базисном периодах;
- цена единицы отдельного вида продукции в базисном периоде.
Такой вариант построения агрегатного индекса был предложен Э. Ласпейресом в 1864 г.
В агрегатном индексе физического объема продукции индексируемой величиной является количество продукции (q); цена (p) служит коэффициентом соизмерения (соизмерителем).
- абсолютное изменение общей стоимости продукции за счет изменения выпуска продукции.
При вычислении индекса физического объема продукции возможны разные решения - в зависимости от выбора коэффициента соизмерения. В качестве коэффициента соизмерения можно также использовать цены отчетного периода (р1) или сопоставимые (фиксированные - Рc). Тогда формулы агрегатного индекса имеют следующий вид:
Агрегатный индекс с соизмерителями отчетного периода был предложен в 1874 г. Г. Пааше.
Кроме того, в качестве соизмерителей могут быть использованы себестоимость единицы продукции, а также затраты рабочего времени на единицу продукции. В этом случае агрегатный индекс физического объема определяется по формулам
z0 - себестоимость единицы продукции каждого вида в базисном периоде;
-
затраты рабочего времени на производство единицы продукции каждого вида в базисном периоде.
Средние взвешенные индексы физического объема продукции применяются в том случае, если известны индивидуальные индексы объема по отдельным видам продукции и стоимость отдельных видов продукции (или затраты на отдельные виды продукции) в базисном или отчетном периоде.
Средний взвешенный арифметический индекс физического объема продукции
- индивидуальный индекс по каждому виду продукции;
q0p0 - стоимость продукции каждого вида в базисном периоде.
Средний взвешенный гармонический индекс физического объема продукции:
-
стоимость продукции каждого вида в текущем периоде.
Агрегатный индекс затрат на выпуск всей продукции
имеет следующий вид:
-
затраты на выпуск продукции каждого вида соответственно в отчетном и базисном периодах.
- абсолютное изменение общей суммы затрат на выпуск продукции за счет изменения количества выработанной продукции и ее себестоимости.
Агрегатный индекс стоимости продукции (товарооборота):
-
абсолютное изменение общей стоимости продукции за счет изменения количества продукции и цен.
Индексы качественных показателей
Индивидуальные индексы цен, себестоимости, затрат рабочего времени на единицу продукции характеризуют изменение цен, себестоимости, затрат рабочего времени по каждому виду продукции:
- цена за единицу продукции каждого вида соответственно в текущем и базисном периодах;
- себестоимость единицы продукции каждого вида соответственно в текущем и базисном периодах;
- затраты рабочего времени на единицу продукции каждого вида соответственно в текущем и базисном периодах.
Агрегатный индекс цен характеризует среднее изменение цен по совокупности различных видов продукции и исчисляется по формуле
(этот вариант индекса был предложен Г. Пааше).
Индексируемой величиной является цена (р), количество продукции (q) носит название веса.
-абсолютное изменение всей стоимости продукции за счет изменения цен.
Для характеристики среднего изменения цен на потребительские товары (потребительскую корзину) агрегатный индекс цен целесообразно определять по формуле
(вариант индекса был предложен Э. Ласпейресом).
Средние взвешенные индексы цен применяются в том случае, если известны индивидуальные индексы цен по отдельным видам продукции, а также стоимость отдельных видов продукции.
Средний взвешенный арифметический индекс цен:
Ip - индивидуальный индекс цен по каждому виду продукции;
p0q0 - стоимость продукции каждого вида в базисном периоде.
Средний взвешенный гармонический индекс цен:
-
стоимость продукции каждого вида в текущем периоде.
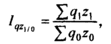
Агрегатные индексы себестоимости и затрат рабочего времени на единицу продукции исчисляются по такому же принципу, как и агрегатные индексы цен. Их формулы следующие:
Изучение динамики качественных показателей по нескольким единицам (предприятиям, территориям, странам)
Анализ динамики уровней качественных показателей по нескольким единицам означает анализ динамики уровней средних величин различных экономических показателей (средней себестоимости, средней цены, средней заработной платы и т. д.). Этот анализ выполняется с помощью системы взаимосвязанных индексов: индекса переменного состава, индекса фиксированного состава и индекса влияния структурных сдвигов.
Построение этой системы индексов показано на примере анализа себестоимости одного вида продукции А, выпускаемой несколькими предприятиями фирмы.
Изменение себестоимости продукта А по фирме (по группе предприятий) определяется следующим индексом:
















