166731 (625094)
Текст из файла
Размещено на http://www.allbest.ru/
Оглавление
I. Введение
II. Перегруппировки карановых монотерпеноидов, протекающие по ионному механизму
III. Перегруппировки, протекающие по радикальному механизму
IV. Согласованные реакции
V. Выводы
I. Введение
Одним из наиболее распространенных монотерпеновых углеводородов является 3-карен — 3,7,7-триметилбицикло[4.1.0]гепт-3-ен (1), входящий в состав многих эфирных масел и скипидаров.
молекулярный радикальный перегруппировка карановый монотерпеноид
Интерес к 3-карену обусловлен наличием в его молекуле гем-диметилциклопропанового кольца — уникального фрагмента, являющегося важным структурным элементом ряда биологически активных соединений. Здесь можно упомянуть природные и синтетические пиретроиды, стеркуловую кислоту и ее эфиры, производные аминоциклопропанкарбоновой кислоты и др. Кроме того, 3-карен и родственные соединения, как и другие бициклические терпеноиды, способны к разнообразным скелетным перегруппировкам. Поэтому они — чрезвычайно перспективные модели для исследований в области фундаментальной органической химии, а также полезные исходные соединения для получения ценных продуктов — сесквитерпеноидов,3 феромонов,4 ювеиоидов,5 пиретроидов 6-7 и душистых веществ.7-9
Известные в настоящее время скелетные перегруппировки соединений ряда карана протекают с образованием структур нескольких типов: с бицикло[3.1.0]гексановым, бицикло[3.2.0]гептановым, п- и м-ментановым и 1,1,4-триметилциклогептановым скелетами. По механизмам перегруппировки классифицируются на ионные, радикальные и согласованные.
Существующие обзоры по карановым монотерпеноидам были написаны в основном более 25 лет тому назад и не включают скелетные перегруппировки, исследованные в последние десятилетия. Подробный обзор 10 посвящен перегруппировкам, протекающим по ионному механизму. В обзоре 11 в основном приведены перегруппировки карановых монотерпеноидов, в которых циклопропановое кольцо (ЦПК) раскрывается по внешним связям с образованием соединений ряда п- и м-ментана.
В обширной монографии Эрмана "Химия монотерпенов" 12 прекрасно изложены систематические данные по реакциям монотерпенов и рассмотрены механизмы этих реакций, однако фактический материал по превращениям терпеноидов ряда карана включает литературу до 1976 г. К настоящему времени получены новые результаты и появились новые представления о механизмах некоторых реакций, рассмотренных в этой монографии. Периодически публикуемые обзоры13-14 носят констатирующий, а не аналитический характер, поэтому механизмы описанных превращений в них как правило не рассматриваются и не обсуждаются. В последних обзорах, посвященных перегруппировкам терпеноидов, 3,15,16 превращения соединений с карановым скелетом практически не рассматриваются.
Целью курсовой работы является обобщение данных по скелетным превращениям терпеноидов каранового ряда. Более ранние работы привлечены в тех случаях, когда представляет интерес история вопроса или появилось новое понимание известных фактов. Перегруппировки рассмотрены в соответствии с классификацией по их механизмам.
II. Перегруппировки карановых монотерпеноидов, протекающие по ионному механизму
Реализация ионного механизма при молекулярных перегруппировках карановых монотерпеноидов обусловлена взаимодействием циклопропанового кольца с электронодефицитным карбениевым центром в α- или β-положении к циклу. Интерес к этому типу перегруппировок связан с возможностью образования интермедиатов с делокализованным зарядом. Согласно предложенной в обзоре10 классификации, ионные перегруппировки карановых структур подразделяются на гомоаллильную перегруппировку, перегруппировку с трансаннулярным участием ЦПК и перегруппировку типа Вагнера-Меервейна с сужением шестичленного цикла. Однако эта классификация не отражает в полном объеме разнообразие ионных перегруппировок карановых структур и является условной. Гомоаллильная перегруппировка — не единственная возможность скелетных превращений через карбокатион с делокализованным зарядом: в карановых структурах, содержащих двойные связи, может существовать и ион типа пентадиенильного, причем пути его образования могут быть различными для различных соединений. Кроме того, по нашему мнению, перегруппировку с трансаннулярным участием ЦПК и перегруппировку типа Вагнера - Меервейна более корректно рассматривать в ряду согласованных реакций, поскольку в них происходят алкильные сдвиги в заряженных системах.
1. Карбений-ионные перегруппировки
Молекула 3-карена содержит два реакционноспособных фрагмента: двойную связь и циклопропановое кольцо. Оба эти фрагмента характеризуются повышенной электронной плотностью, что делает молекулу реакционноспособной по отношению к электрофильным агентам. Хорошо известна перегруппировка 3-карена под действием кислот с образованием соединений ряда п- и м-ментана.12 Очевидно, что в этом случае циклопропановое кольцо выступает как изолированный реакционный центр, образуя карбениевые ионы 2 или 3. Двойная связь удалена и не взаимодействует с атомом углерода, несущим положительный заряд. Ионы стабилизируются путем выброса протона или захвата нуклеофила (схема 1).
Описанное превращение осуществляется в том случае, когда вначале протонируется ЦПК. Очевидно, что присоединение протона к двойной связи углеводорода 1 должно приводить к третичному иону 4.
В ионах такого типа возможна перегруппировка, обусловленная так называемым "трансаннуляриым циклопропильным участием"10 (см. раздел IV.4), но ее результатом было бы образование иона 5 и продуктов иной структуры.
Причину того, что в случае 3-карена протежируется ЦПК, а не двойная связь, можно объяснить с позиций принципа жестких и мягких кислот и оснований (ЖМКО). Циклопропан — более жесткое основание, чем двойная связь (потенциалы ионизации 10.9 и 9.3 эВ соответственно). В молекуле 3-карена разница энергий высших занятых молекулярных орбиталей (ВЗМО) соответствующих фрагментов несколько меньше, но все еще достаточно велика (9.16 и 8.61 эВ).17 Жесткая кислота — протон — присоединяется вначале к жесткому основанию — ЦПК. Так, при взаимодействии эквимолярных количеств 3-карена и хлористого водорода образуются производные со скелетом п- и м-ментана.18 Сходство электронного строения двойной связи и ЦПК 19 обусловливает сходство их реакционной способности.20 Наличие катионоидного центра в α-положении к циклопропановому кольцу приводит к их сопряжению и образованию гомоаллильного иона. Направление реакции этого иона с нуклеофилом зависит от пространственных факторов, природы уходящей группы, степени сольватации молекулы (в реакциях сольволиза) и др.
X- — нуклеофил
Если атака гомоаллильного иона происходит со стороны ЦПК, это приводит к его раскрытию и в случае карановых производных — к перегруппировкам скелета.
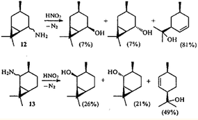
Так, в условиях кислотного катализа каран-5-ол (6) и каран-2-ол (7) изомеризуются в м- (8) и п-ментен-8-олы (9) соответственно в результате атаки гидроксила по атому С(8) гомоаллильных ионов 10 и 11.21,22 Эти реакции можно рассматривать как региоспецифичные.
Подобным же образом протекает дезаминирование 5- (12)- и 2-аминокаранов (13), однако присутствие среди продуктов бициклических спиртов показывает, что в данном случае реакция не была доведена до конца.23
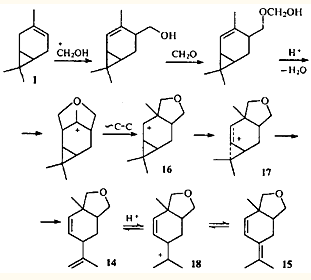
Гомоаллильные перегруппировки могут сочетаться с другими ионными перегруппировками. Так, при конденсации 3-карена с формальдегидом по Принсу среди продуктов реакции обнаружены два циклических эфира 14 и 15. Их образование объясняется последовательным протеканием перегруппировки типа Вагнера — Меервейна и гомоаллильной.24-25
В данном случае перегруппировка Вагнера-Меервейна, протекающая как алкильный сдвиг, не приводит к изменению карановой структуры. Однако алкильный сдвиг возможен лишь потому, что в образующемся вторичном ионе 16 делокализация заряда с участием циклопропанового кольца приводит к его раскрытию и образованию гомоаллильного иона 17, обладающего меньшей энергией. Ион 17 стабилизируется путем выброса протона от одной из геминальных метильных групп, давая эфир 14. В кислой среде этот эфир изомеризуется в эфир 15 через классический катион 18.
2. Перегруппировки, протекающие через ионы с высокой степенью делокализации заряда
Очевидно, что в систему ЦПК - заряженный атом углерода может включаться одна или несколько двойных связей. Образующийся при этом гомопентадиенильный ион характеризуется большей степенью делокализации заряда, чем гомоаллильный, и имеет, соответственно, более низкую энергию. Поэтому реакции с участием гомопентадиенильных ионов протекают легче, чем с участием гомоаллильных. Изомеризация 4-карен-3-ола (19) в гидроксидиен 20 происходит при кипячении в воде даже в отсутствие кислотных катализаторов:26
Как и при изомеризации соединений 6 и 7, необратимость атаки по циклопропановому фрагменту иона 21 обусловливает региоспецифичность реакции.
Следует отметить, что соседство (и, возможно, сопряжение) двойной связи и ЦПК в нейтральной молекуле не является обязательным условием образования гомопентадиенильного иона и, следовательно, протекание скелетной перегруппировки. С точки зрения механизма интересна селективная изомеризация кар-3-ен-5-ола (22) в м-мента-1,3-диен-8-ол (20): двойную связь и ЦПК объединяет в систему сопряжения возникающий между ними карбокатаонный центр.27
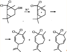
В систему сопряжения катионоидный центр - ЦПК может включаться не только соседняя двойная связь, но также и второй трехчленный карбоцикл. Участие такого интермедиата в реакции приводит к перегруппировке трициклооктанового скелета в замещенный циклогептадиен.28 Эта перегруппировка интересна тем, что в данном случае гем-дихлорциклопропановое кольцо раскрывается по внутренней связи, а гем-диметилциклопропановое — по внешней.
Из приведенных выше примеров ионных перегруппировок видно, что для гем-диметилциклопропанового кольца раскрытие по внешней связи является закономерностью, практически не знающей исключений. Трехчленный цикл, связанный с двумя атомами галогена, напротив, может вести себя по-разному. При метанолизе аддукта 3-карена с дибромкарбеном ЦПК раскрывается по двум направлениям, приводя к продуктам как с сохранением карановой структуры, так и к продуктам перегруппировки.29
То, что трехчленные циклы в ионных реакциях раскрываются по разным связям, может быть обусловлено природой геминальных заместителей. гем-Диметильная группировка укорачивает (и усиливает) противолежащую связь циклопропана,30 а два геминальных атома хлора удлиняют и ослабляют ее. Геминальные атомы брома действуют таким же образом, но слабее.31
Чрезвычайно легко протекает ацетолиз тозилата 23;32 в данном случае интермедиатом является гомогептатриенильный ион 24, в котором степень делокализации заряда еще выше, чем в гомопентадиенильном.
Выше было сказано, что гомоаллильные и гомопентадиенильные перегруппировки являются необратимыми, однако это утверждение не совсем корректно. Действительно, подобные превращения карановых производных можно провести со 100%-ной степенью конверсии. Это обусловлено геометрией иона и образующейся молекулы. Атом углерода ЦПК при С(2), не включенный в цепь сопряжения, в гомоаллильном ионе, в процессе его стабилизации меняет гибридизацию с sp2 на sp3 При этом угол С(1)—С(2)—С(3), равный в молекуле циклопропана 60°, в конечной молекуле увеличивается до 109°, что вызывает, в свою очередь, увеличение расстояния между атомами С(1) и С(3). Однако если эти атомы удастся каким-то образом сблизить, вновь становится возможным образование гомоаллильного иона.
На практике соединения с ментановым скелетом никогда не превращаются в карановые. Однако именно в карановых структурах, благодаря особенностям их строения, можно наблюдать ретро-гомоаллильную перегруппировку, при которой гомоаллильный ион образуется из линейного фрагмента молекулы и приводит к замыканию трехчленного цикла. Эффект подобного рода наблюдался при взаимодействии тозилата 25 с лчтийалюминийгидридом,33 триэтилалюминием,34 а также при его сольволизе.35
Характеристики
Тип файла документ
Документы такого типа открываются такими программами, как Microsoft Office Word на компьютерах Windows, Apple Pages на компьютерах Mac, Open Office - бесплатная альтернатива на различных платформах, в том числе Linux. Наиболее простым и современным решением будут Google документы, так как открываются онлайн без скачивания прямо в браузере на любой платформе. Существуют российские качественные аналоги, например от Яндекса.
Будьте внимательны на мобильных устройствах, так как там используются упрощённый функционал даже в официальном приложении от Microsoft, поэтому для просмотра скачивайте PDF-версию. А если нужно редактировать файл, то используйте оригинальный файл.
Файлы такого типа обычно разбиты на страницы, а текст может быть форматированным (жирный, курсив, выбор шрифта, таблицы и т.п.), а также в него можно добавлять изображения. Формат идеально подходит для рефератов, докладов и РПЗ курсовых проектов, которые необходимо распечатать. Кстати перед печатью также сохраняйте файл в PDF, так как принтер может начудить со шрифтами.
















