166731 (625094), страница 6
Текст из файла (страница 6)
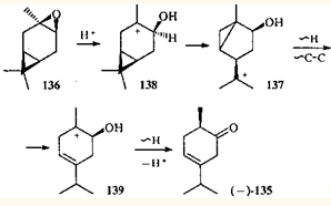
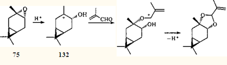
Для объяснения перегруппировок β-цис-3,4-эпоксикарана (136) в суперкислотной среде предложен механизм с участием бициклического иона 137, изомерного иону 134.118 В этом случае стереоспецифично образуется кетон (—)-135, который является не только стереоизомером, но и энантиомером кетона (+)-135, получающегося в процессе перегруппировок эпоксида 75.
Различную реакционную способность эпоксидов 75 и 136 авторы 118 объясняют термодинамическим и орбитальным факторами: ионы 132 и 138 имеют одинаково благоприятную для процесса сужения цикла ориентацию мигрирующей связи и вакантной орбитали. Для иона 132 энергетически более выгодным является процесс сужения цикла, а для иона 138 предпочтительна β-циклопронильная перегруппировка (через катионы 137 и 139), поскольку ориентация вакантной орбитали в этом катионе более благоприятна для перегруппировки, чем в ионе 132.
Приведенные выше схемы превращений эпоксидов 75 и 136 рассматривают лишь наиболее вероятные пути образования конечных продуктов. Соединения, имеющие углеродный скелет 1-метил-4-изопропилбицикло[3.1.0]гексана, которые могли бы получаться из ионов 134 и 137, среди продуктов превращения эпоксикаранов в суперкислотной среде не найдены. Однако в 1962 г, при кислотной гидратации цис-эпоксида 136 был получен диол 140 с таким же скелетом,119 и в 1972 г. была подтверждена его структура.120
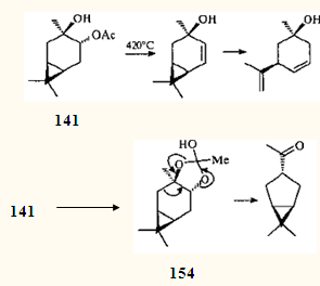
В 1966 г. было показано, что одним из продуктов дегидратации моноацетата 3β, 4α-карандиола 141 является ацетат транс-1-метил-4-изопропенилбицикло[3.1.0]гексан-2-ола (142).121
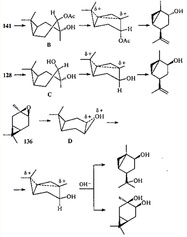
Кропп, исследовавший эту реакцию,121 считая ее первым документально подтвержденным примером перегруппировки с трансаннулярным циклопропильным участием.10 Он полагал, что в реакциях нуклеофильного замещения ЦПК выступает в роли внутреннего нуклеофила и в подобных реакциях чрезвычайно велика роль стереохимического фактора: диметилциклопропановое кольцо должно иметь пространственную возможность атаковать атом С(3), несущий β-заместитель. Важно также наличие α-заместителя у атома С(4) для того, чтобы фиксировать шестичленный цикл в конформации "син-ванны" А.121
Относительно высказанных Кроппом стереохимических условий "циклопропильного участия" существовали разные мнения. Предложенная им интерпретация пространственных особенностей протекания подобных реакций какое-то время считалась общепринятой и цитировалась в специальной литературе.12 Однако последующие исследования 10, 122-128 позволили выдвинуть и экспериментально обосновать предположение, что в переходном состоянии молекулы реагирующих карановых соединений имеют конформацию "анти-ванны" (B-D); ориентация заместителя при С(4) значения не имеет.122, 123, 129
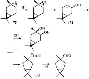
Фактически "трансаннулярное участие ЦПК" сводится к 1,2-гомоенильному сдвигу, который может произойти (и происходит) в заряженных системах. Отсутствие продуктов "трансаннулярного циклопропильного участия" при перегруппировках в суперкислотах обусловлено тем, что вследствие чрезвычайно малой нуклеофильности среды и низких температур ионные процессы идут глубже и отличаются высокой селективностью. Поэтому в суперкислотах превращения не останавливаются на ионе 137, а идут дальше с образованием иона 139. который и приводит к конечному продукту реакции.
Такой подход объясняет общность превращений эпоксида 136 в условиях обычного кислотного катализа и в суперкислотах, но при этом возникают новые вопросы. Превращение зпоксида 75 в суперкислотах приводит к продуктам, предполагающим промежуточное образование иона 134, а сольволиз соединения 75 протекает без образования 1-метил-4-изопропилбицикло[3.1.0]гептановых структур. В качестве побочного продукта процесса происходит сужение цикла в результате алкильного сдвига в ионе 132, что приводит к иону 133, который стабилизируется путем выброса протона; в суперкислоте ион 133 подвергается перегруппировке.125, 130
Несомненно, эпоксиды 75 и 136 реагируют в обычных условиях по-разному вследствие различий в их пространственном строении. Однако в суперкислотах эти различия по отношению к "трансаннулярному циклопропильному участию" не проявляются или, по крайней мере, не играют существенной роли. Можно предположить, что в суперкислотах происходит более глубокое разделение зарядов, что меняет геометрию каранового скелета и создает возможность 1,2-сдвига. В обычных кислотах на участвующих атомах сконцентрирован лишь частичный заряд,121 поэтому геометрия каранового скелета изменяется незначительно. Следует, однако, отметить, что ион 133 образуется в условиях обычного кислотного катализа, что пока необъяснимо с точки зрения приведенной выше аргументации.
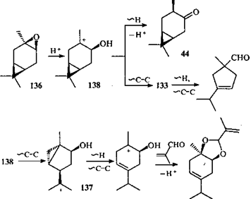
При взаимодействии α-эпоксикарана с альдегидами на глине асканит-бентонит (алюмосиликатный катализатор) не образуется продуктов, которые указывали бы на участие в реакции иона 134.131
В этом случае глубокие превращения ионов не происходят, так как альдегид перехватывает ион 132 и реакция идет по другому пути. В то же время эпоксид 136 в аналогичных условиях дает продукты, которые свидетельствуют о том, что ион 138 претерпевает не только 1,2-гомоенильный, но и 1,2-алкильный сдвиг с образованием иона 133 (что не наблюдалось в суперкислотах 118), который затем перегруппировывается.
Специфика каталитических превращений на твердой поверхности приводит к тому, что из эпоксида 136 не образуется ацеталь с карановым скелетом, но получается кетон 44, который отсутствует в реакции эпоксида 75.
На глине асканит-бентонит 3-карен в реакции с альдегидами не вступает,131 но спирт 36 в этих условиях дает целый ряд перегруппированных продуктов, строение которых зависит от использованного альдегида.132
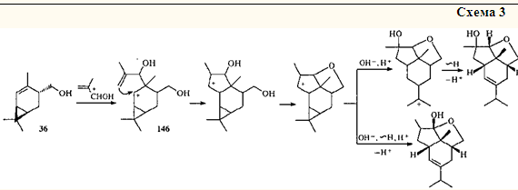
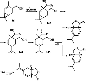
Предложенный авторами132 механизм реакции включает атаку молекулы протонированного масляного альдегида по более замещенному концу двойной связи и образование не третичного, а менее устойчивого вторичного катиона 143. Его перегруппировка с раскрытием ЦПК дает ионы 144, 145 и далее продукты реакции. В разделе II.1 приводится другая точка зрения на образование продуктов с похожим скелетом.24, 25 В пользу механизма, предложенного в работе 132, свидетельствует получение трициклических продуктов в реакции спирта 36 с α-метилакролеином (схема 3).
Близость двойной связи и катионного центра в ионе 146 может привести к циклизации, которая, как полагают, обусловлена наличием метильной группы в α-положении к двойной связи.
Выше, на примерах эпоксикаранов, уже описывались перегруппировки каранового скелета в бицикло[3.1.0]гексановый. Похожая (с формальной точки зрения) перестройка каранового скелета наблюдается в процессе превращения оксима кар-2-ен-4-она (147) под действием азотистой кислоты.133 С учетом природы функционального заместителя наиболее вероятный путь превращения оксима 147 включает интермедиаты 148 - 152.
Очевидно, что за перестройку каранового скелета ответственен сдвиг алкильной группы в заряженной системе. Проведя квантово-химические расчеты, авторы 133 пришли к заключению, что 1,2-алкильный сдвиг в аллильном ионе 152 невозможен с точки зрения его пространственного строения и термодинамики. Что касается иона 151, то в нем предполагается согласованное элиминирование азота с одновременной атакой ацетатной группы и миграцией связи С(5)—С(6). Катион 153 стабилизируется захватом аниона NO2¯. Переходное состояние типа 151 постулировалось ранее130, 134 для объяснения пиролиза моноацетата карандиола 141.
Однако предложенный авторами циклический интермедиат 154 лишь формально - схематически описывает перестройку связей. Очевидно, что термический сдвиг связи С(2)—С(3) может произойти только в ионе. Возможно, уже отщепившаяся (но согласованному механизму) и присутствующая в реакции уксусная кислота способствует образованию промежуточных ионов.
Еще более удивительный пример скелетной перегруппировки, обусловленной участием оксииминной группы, описан в работе 135. Реакция оксимов 3α-гидроксиламинокаран-4-она (155а) и 3α-(O-ацетил)гидроксиламинокаран-4-она (155b) с боргидридом натрия в ацетонитриле приводит к продукту реакции 156 с семичленным конденсированным циклом.
В данном случае ацетонитрил, по-видимому, является не только растворителем, но и реагентом, так как и его отсутствие перегруппировка не происходит. АвторыI постулируют два возможных интермедиата реакции — А или В, — но отмечают, что механизм их образования пока неясен.
V.Выводы
Рассмотренный в курсовой работе обширный материал свидетельствует, что изучение химических превращений карановых производных выходит далеко за рамки того раздела органической химии, который принято называть химией терпеноидов. 3-Карен — поистине уникальное природное соединение, предоставляющее исследователям огромные возможности. Благодаря доступности 3-карена, из него сравнительно легко получают все новые производные, которые представляют интерес как сами по себе, так и служат прекрасными моделями для изучения механизмов реакций. По нашему мнению, среди природных соединений только бензол может сравниться с 3-кареном по вкладу в теоретическую и синтетическую органическую химию.
Хотя мы постарались рассмотреть механизмы известных перегруппировок, внимательный читатель, очевидно, отметил, что они часто носят гипотетический, а иногда и спорный характер. Нет сомнений, что исследования в этой области будут продолжены и не только дадут ответы на сегодняшние вопросы, но и поставят новые. Мы надеемся, что начатая нами аналитическая работа будет продолжена в рамках дипломного проекта.
Литература
1. S.Dev. Curr. Sci., 52, 1125 (1983)
2. B.V.Lawrence. Perfum.Flavor., 33 (3), 66 (2001)
3. Н.Ф.Салахутдинов, В.А.Бархаш. Успехи химии, 66, 376 (1997)
4. H.R.Sonawane, B.S.Nanjundiah, M.U.Kumar. Tetrahedron Lett., 25,2245(1984)
5. A.S.Khanra.K.K.Chakravarti, R.B.Mitra. Indian J. Cliem., 13,314 (1975)
6. А.Х.Хусид, О.М.Нефедов. Журн. Всесоюз. хим. о-ва им. Д.И.Менделеева, 33, 653 (1988)
7. С.А.Осадчий, Г.А.Толстиков. Химия в интересах устойчивого развития, 5,79 (1997)
8. H.Sadowska, J.Gora. Perfum. Flavor., 7(1), 52 (1982)
9. J.Verghese. Perfum. Flavor., 4(4), 23 (1979)
















