13864 (596886), страница 34
Текст из файла (страница 34)
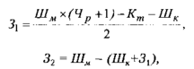
де: 3 - захисна зона (мм);
Шм - ширина міжряддя (мм);
Шк - ширина колеса трапа чи гусениць (мм).
де: Зі - зовнішня захисна зона (мм)
32 - внутрішня захисна зона (мм);
Чр - число рядків між колісьми трактора;
Кт - колія трактора (мм).
Якщо при розподілі ширини колії трактора на розмір міжряддя виходить число з залишком, це вказує, що ширина зовнішньої і внутрішньої захисних зон буде неоднакова. У цьому випадку розмір їх визначають за формулами:
Перед початком роботи тракторист відзначає поворотні смуги і визначає міжряддя для першого проходу агрегату.
При поздовжній культивації поворот агрегату на міжрядному обробітку здійснюється на поворотній смузі посівного агрегату. Для поперечної культивації при відсутності вільних виїздів за межі ланок виділяють поворотні смуги по краях ділянки уздовж рядків.
При поздовжній культивації перший прохід агрегату роблять по першому проході посівного чи посадкового агрегату або у тім же напрямку з таким розрахунком, щоб крайніми групами лап оброблялися стикові міжряддя. При поперечній культивації перший прохід агрегату роблять поруч з колишньою контрольною борозною (поворотною лінією),
Перший міжрядний обробіток роблять у поперечному напрямку, другий - у поздовжньому. Одночасно обробляти ланку в двох напрямках не слід, тому що це може викликати ушкодження культурних рослин. Напрямок останнього міжрядного обробітку картоплі, капусти й інших культур повинен збігатися з напрямком руху збирального агрегату.
Організація збирання зернових колосових культур. Серед робіт з обробітку зернових культур особливе значення має збирання - один з найбільш важливих і трудомістких процесів сільськогосподарського виробництва.
На збиранні врожаю важливо використовувати всі засоби механізації - комбайни, лафетні жниварки, підбирачі. У залежності від використання техніки збирання розчленовується на такі операції: косовицю, добірку валків і обмолот, очищення зерна, скиртування соломи і полови.
Тепер поширені два способи збирання зернових - пряме комбайнування і роздільний. Пряме комбайнування починають у період повної спілості зерна.
Для скорочення термінів жнив і запобігання утрат врожаю в більшості господарств застосовується найбільш прогресивний роздільний (двофазний) спосіб збирання, при якому косовицю хлібів і обмолот ведуть окремо. Досвід багатьох передових господарств свідчить про безперечну економічну перевагу роздільного збирання, незважаючи на те, що витрати на збирання гектара хлібів тут вищі, ніж при прямому комбайнуванні (нами прийнято, що норми на косовиці, добірці й обмолоті валків на 20-30 % вищі, ніж при прямому комбайнуванні).
Роздільний спосіб дозволяє скоротити терміни збирання колосових і тим самим попередити втрати 2-3 ц зерна з кожного гектара від опадання на корені. Крім того, досягається велика економія засобів на підробітку зерна і, за даними багатьох досліджень, поліпшується його якість.
Роздільне комбайнування починають з настанням воскової спілості зерна, коли вологість його складає ЗО- 40%. Для косовиці використовують жниварки рядкові і лафети з хедерами від комбайнів. Скошені валки просушують 3- 5 днів і потім комбайнами з підбирачами обмолочують хліба безпосередньо з валків.
Придатними для роздільного збирання вважають площі з густотою стеблостою не менш як 280-300 рослин на 1 кв. м. при висоті не нижче 80 см (не враховуючи довжини колосся). Рекомендується залишати стерню не нижче 15-18 см.
Важливою умовою якісного роздільного збирання є укладання рівномірного за товщиною і прямолінійного валка уздовж борозен; для цього потрібно, щоб жниварка працювала з повним захопленням. Від форми, розміру і безперервності валка залежить наступна робота комбайна з підбирачем, скорочення втрат врожаю.
Оптимальною формою загінки є прямокутник, у якого довжина перевищує ширину в 5-8 разів. Величина загонки повинна бути не менше денної норми виробітку комбайна на добірці валків. Довга сторона загінки повинна по можливості збігатися з напрямком оранки; у цьому випадку зменшиться тяговий опір жниварки на косовиці і комбайна на добірці валків, жниварка і комбайн не піддаються сильній трясці.
Поля для роздільного збирання обкошують і роблять прокоси, щоб перший валок від рядкової жниварки лягав на стерню. Ширина обкосів 4-6 м, прокосів 6-8 м.
Продуктивність агрегату (Пр) можна визначити за формулою:
де: Пр~ продуктивність агрегату (га в годину); Ш3 - ширина захоплення агрегату (м); С - швидкість руху агрегату (у годину); 0,1 - постійний коефіцієнт.
Час одного рейсу (Вр) залежить від відстані між ділянкою, на якій збирається зерно, і місцем його розвантаження, швидкості руху транспорту, а також від часу, затрачуваного на навантаження і розвантаження. Він підраховується за формулою:
де: Вр - час одного рейсу (хв);
Р - відстань від ділянки, на якій збирається врожай, до місця розвантаження зерна (км);
З - середня швидкість руху транспорту (км на годину);
Вх _ час, затрачуваний на вивантаження зерна з бункера (хв);
В2 - час, затрачуваний на зважування і розвантаження зерна (хв).
На роздільному збиранні застосовують груповий спосіб використання комбайнів, при якому на одному полі працює кілька агрегатів на окремих загінках. Це дає можливість спростити технічне обслуговування збиральних агрегатів і поліпшити організацію їхнього розвантаження.
Щоб вчасно забезпечити обмолот валків, на кожну рядкову жниварку необхідно мати не менш одного комбайна з підбирачем.
Слідом за збиранням солому скиртують, використовуючи для цього волокуші чи інші засоби механізації. Скирти зазвичай укладають на краю ланки, бажано ближче до дороги. Потім проводять лущіння стерні і зяблеву оранку.
Потоковий метод збирання зернових полягає в тому, що весь урожай зерна, соломи і полови збирають з ланки одночасно, у єдиному технологічному потоці. Для цього зернозбиральні комбайни обладнують подрібнювачем соломи; для транспортування різання на кожен комбайн виділяють 2-3 візки ПТС-40 місткістю від 1 до 1,8 т. Якщо поле знаходиться недалеко від ферми, то на її території скиртують різання. При цьому способі средньосезонне вироблення на комбайн складає 250-400 га.
Результати широкої виробничої перевірки показали, що нова технологія цілком себе виправдала і дала значний ефект. Витрати праці на гектар збирання усього врожаю (зерна і соломи) скорочуються більш ніж у 3 рази, в тому числі на збиранні тонни соломи більш ніж у 4 рази. Застосування такого способу збирання дозволяє усунути втрати соломи і швидко слідом за комбайном звільнити поле для післязбиральних робіт.
На збиранні зернових потоковим методом виділяють ланку в складі двох комбайнерів (один з них ланковий), 6-8 трактористів, 4-6 причіплювачів на візках, 3-4 робітників на скиртувальних агрегатах і скирті, 2-3 чоловік на відвезенні і 2-3 чоловік на очищенні зерна. Ланка може зібрати 30-40 га зернових культур за робочий день.
Комбайни, що беруть участь на збиранні, з подрібнювачами, транспортні візки і скиртувальні агрегати створюють потік і повинні працювати ритмічно.
Варто підкреслити, що зазначеним способом успішно збирають і горох. Здрібнена горохова солома - цінний корм для худоби.
Організація овочівництва. Овочівництво - це трудомістка галузь сільського господарства, що характеризується великим набором культур і різноманіттям прийомів їхнього обробітку. Розвиток овочівництва пов'язаний з великими капітальними вкладеннями.
У нашій країні з кожним роком збільшується попит населення на різноманітні вітамінні продукти, у тому числі і на свіжі овочі, що роблять великий вплив на зміцнення здоров'я і підвищення працездатності людини. Завдання галузі полягає в тому, щоб створити достаток свіжих дешевих овочів і постачати ними в різноманітному асортименті населення протягом усього року.
Практика показала, що найбільш правильний шлях швидкого збільшення виробництва овочів з найменшими затратами праці і матеріальних засобів - це концентрація їхнього виробництва у великих спеціалізованих господарствах, які розташовують на заплавних і зрошуваних землях. Важливе значення має і внутрішньогосподарська поглиблена спеціалізація виробництва овочів.
Організація великих спеціалізованих господарств дає можливість перейти в овочівництві від переважного використання ручної праці до вирощування овочів на основі інтенсифікації, що включає хімізацію і комплексну механізацію їх обробітку, а також до організації овочевого господарства в складі всіх його цехів: вирощування розсади й овочів у закритому і відкритому ґрунті, часткова переробка продуктів, зимове зберігання і насінництво. Правильне поєднання закритого і відкритого ґрунту дозволить найбільш ощадливо і повно використовувати робочу силу протягом усього року і поставляти безупинним потоком різноманітну овочеву продукцію споживачу.
До останнього часу капуста білокачанна, буряк, морква, помідори й огірки займали понад 90% посівної площі овочевих культур. У спеціалізованих підприємствах є можливість значно розширити асортимент оброблюваних культур, дцо також набагато поліпшить умови постачання населення продукцією цієї галузі.
Поєднання відкритого і закритого ґрунту. Розвиток овочівництва відкритого грунту тісно пов'язаний з наявністю в господарстві теплиць і парників. Для вигонки ранніх овочів у відкритому ґрунті насіння цвітної, білокачанної і савойскої капусти, а також селери, качанного салату, перцю, помідорів і деяких інших культур висівають у теплицях, а потім пікіровані сіянці виносять у парники, Площі теплиць і парників повинні відповідати площам ранніх розсадних культур. У розрахунку на гектар відкритого ґрунту овочівницькі господарства повинні мати для вирощування повноцінної розсади ранньої капусти не менш 90 парникових рам, ранніх помідорів 75-180 рам і т.д.
Провідну роль в організації овочівництва відіграє правильне планування вирощування овочів протягом року, поєднання відкритого і закритого ґрунту, що мають за основу такі положення: а) у закритому ґрунті вирощують розсаду, щоб одержувати ранні і високі врожаї культур відкритого ґрунту; б) у відкритому ґрунті вирощують посадковий матеріал для вигінки і дорощування в закритому ґрунті; в) у відкритому ґрунті використовують відходи парникового господарства.
Овочівництво закритого ґрунту покликане вирощувати ранні овочі узимку (у зимових теплицях) і навесні (у парниках), а також просувати культуру овочів на північ. Розсадний спосіб культури скорочує період від посадки до початку збору врожаю. Теплично-парникові господарства будують з урахуванням правильного поєднання різних видів теплиць, парників і утепленого ґрунту.
При розміщенні відкритого і закритого ґрунту на території господарства враховують особливості цієї галузі і ряд організаційно-господарських питань. Так, ділянки закритого ґрунту повинні розміщуватися поблизу овочевих сівозмін і мати гарний дорожній зв'язок із садибою господарства, залізничною станцією, пристанню й іншими пунктами здачі продукції та одержання необхідних вантажів. Поблизу теплиць і парників розміщують площі утепленого ґрунту з метою вирощування ранніх овочів і розсади. Ділянка, що відводиться під закритий ґрунт, повинна мати ухил щ південь, південний схід чи південний захід і захист від північних, північно-східних та інших вітрів, що панують у зимовий період. Вона повинна бути вилучена від складських приміщень та інших господарських будівель не менш ніж на 300 м, а від житлових приміщень - - на 500 м. У північній частині ділянки розміщають службові будівлі і теплиці, до півдня від них - ранні, потім середні парники. Утеплений ґрунт розташовують південніше середніх парників і по периферії ділянки, але не в зоні затінення.
Овочеві сівозміни розміщують, виходячи з вимог культур до тепла і вологи. При цьому враховують, що, наприклад, капуста дає значно вищий врожай на низинних, зволожених землях, а такі культури, як помідори, перець, баклажани, в умовах середньої смуги краще ростуть на теплих положистих схилах. На холодних ґрунтах, що пізно поспівають, зниженого рельєфу одержувати ранню продукцію овочів не можна.
Структура посівів овочевих культур має свою специфіку. Справа в тім, що в овочівництві важливо не тільки установити набір культур, а й правильно підібрати сорти, тому що це має першорядне значення для одержання ранніх і високих врожаїв. Ранні сорти помідорів, капусти, огірків та інших культур дозрівають на 2-4 тижні раніше, ніж середні і пізні. Для тих чи інших культур, що займають у господарстві великі площі, підбирають кілька сортів. Наприклад, скоростиглі і средньостиглі сорти білкачанної капусти використовуються у свіжому виді і для квашення, середньостиглі і пізньостиглі - для тривалого зимового зберігання. Наявність сортів з різним вегетаційним періодом не тільки подовжує терміни надходження продукції, а й дозволяє правильно скласти графік сівби і висадження, збирання врожаю й інших робіт, краще використовувати робочу силу.
















