13864 (596886), страница 30
Текст из файла (страница 30)
Польові сівозміни вводять для виробництва зерна й інших продовольчих, а також технічних культур, грубих і концентрованих кормів для тваринництва.
Кормові сівозміни (прифермські й лукопасовищні) створюють для забезпечення тваринництва всіма основними видами кормів. У прифермських сівозмінах обробляють переважно зелені і соковиті корми (кукурудзу, коренеплоди й ін.), а в лукопасовищних - трави на зелений корм (випас), сінаж і сіно.
Спеціальні сівозміни організують з метою вирощування овочевих культур, коноплі, бавовни й інших культур, що потребують спеціальної агротехніки. Для боротьби з ерозією ґрунтів уводять ґрунтозахисні сівозміни.
При визначенні складу і кількості сівозмін за основу приймають оптимальну структуру посівів, тобто найбільш раціональне співвідношення площ сільськогосподарських культур у загальній площі. Розміри сівозмін встановлюють у залежності від числа бригад, ферм, відділень, ділянок, цехів і комплексів, їхньої спеціалізації, площ земельних угідь, їхньої якості, рельєфу місцевості, конфігурації ділянок, наявності на території рік, лісів, ярів, залізничних колій і шосейних магістралей. Кожен виробничий підрозділ повинен мати одну сівозміну. Відхилення допускається тільки в тому випадку, якщо одна сівозміна не задовольняє потреби підрозділу, чи земельні ділянки роз'єднані природними перешкодами (ріками, ярами і т.ін.) й різко відрізняються одна від одної за складом ґрунтів, рельєфу, чи оброблювані культури вимагають різної агротехніки.
У залежності від виду сівозміни, кількості культур і ефективності їхнього обробітку, ґрунтових умов і рельєфу місцевості встановлюють кількість полів у сівозміні. При цьому на кожному полі розміщують одну чи дві культури з однаковою агротехнікою обробітку. Під організацією території сівозмін мається на увазі розміщення доріг, джерел польового водопостачання, мережі зрошувальних і осушувальних каналів та відводів, полезахисних лісосмуг, польових станів. Поля по можливості нарізають рівновеликими (відхилення від середніх розмірів допускаються в межах ±8%), вони повинні бути правильної конфігурації й однорідні за рельєфом, родючістю і механічним складом ґрунтів. Усе це забезпечує необхідні пропорції у виробництві окремих видів продукції по роках і створює кращі умови для організації трудових процесів. Правильна конфігурація полів, раціональні розміри і довгі гони - необхідні умови для використання широкозахватних агрегатів і швидкісних машин. Найбільш зручна форма полів - прямокутник зі співвідношеннями сторін 1:2, 1:3 і 1:4 у залежності від розміру полів, рельєфу і т.ін.
Розміри полів значно впливають на холості пересування агрегатів і переміщення людей до місця роботи і назад, а отже, і на розмір виробничих витрат. Відомо, що тракторні і комбайнові агрегати роблять три види непродуктивних пересувань, пов'язаних з виконанням робіт: переїзди з одного поля на інше після завершення кожного виду роботи; переїзди до місця роботи і назад на стоянку, до місця проведення технічного обслуговування і ремонту машин; повороти і заїзди при виконанні робіт у межах одного поля.
Витрати часу на переїзди з одного поля чи сівозміни на інше залежать від кількості сівозмін і полів, що обслуговуються окремою групою тракторів і комбайнів. Кількість переїздів при цьому дорівнює сумарній кількості усіх видів механізованих робіт, виконуваних у різний час на кожному полі, помноженому на число полів, що обслуговуються групою тракторів. Розрахунки показують, що збільшення площі сівозмін з 700 до 1400 га дозволяє зменшити непродуктивні витрати часу механізованих агрегатів на 40-50 %.
Використання техніки і якість робіт поліпшуються, якщо поле чи сівозміни мають безпосередній вихід до садиби, доріг, джерел води, а на схилах розміщені довгою стороною поперек схилу.
Економічна оцінка організації території землекористування і сівозмін дається за такими показниками:
-
вихід продукції (у натуральних, умовних одиницях і вартісному обчисленні) з одиниці земельної чи сівооборотної площі;
-
відсоток виконання плану виробництва валової і товарної продукції по видах і в цілому по господарству;
-
забезпеченість худоби кормами і собівартість кормової одиниці;
-
рівень продуктивності праці;
-
собівартість продукції, рентабельність виробництва і розмір чистого доходу в розрахунку на гектар сівооборотної площі;
-
енергоємність (кількість кінських сило-годин, що приходяться на гектар ріллі чи сівозміни);
-
трудомісткість (витрати людино-годин на гектар сівооборотної площі чи ріллі);
-
строк окупності капітальних вкладень;
-
розподіл витрат праці по періодах року.
У процесі високоефективного використання сільськогосподарських земель необхідно забезпечити схоронність природи і поліпшення навколишнього середовища.
8.2 Формування виробничої програми в рослинництві
Виробнича програма рослинництва складається з оптимальної площі земель, які задіяні у сівозмінах, та урожайності сільськогосподарських культур.
Якість цієї програми багато в чому залежить від ступеня обґрунтування урожайності. Розрахунок урожайності зазвичай базується на визначенні рівня, досягнутого в попередні роки (наприклад, у середньому за останні п'ять років), виявленні амплітуди коливань і співвідношення показників максимальної і мінімальної урожайності за ці роки в розрізі культур, на аналізі урожайності за звітний рік у підприємстві - конкуренті, а також на розрахунках обґрунтованого приросту урожайності для конкретних ґрунтово-кліматичних (зональних чи регіональних ) умов.
Рівень урожайності залежить від багатьох факторів, які можна об'єднати в дві групи: організаційно-економічні і техніко-технологічні. Тобто урожайність є результатом комплексу конкретних складових частин і, перш за все, господарської організації виробництва. У світовій практиці виходять з того, що кінцеві результати виробництва на половину - дві третини залежать не від матеріальних (уречевлених) факторів, а від людини, її мотивів інтересів, відношення до справи, рівня кваліфікації та професійної майстерності, вміння знаходити оптимальні рішення в постійно змінюваних умовах виробництва. В умовах гострого дефіциту матеріальних ресурсів, що спостерігається в багатьох господарствах України, значення уречевлених факторів стає визначальною умовою не тільки стійкого зростання урожайності, а й стабільності її показників.
На конкретному сільськогосподарському підприємстві рівень урожайності формується під впливом дії тих чи інших факторів. Приріст урожайності за рахунок кожного з них, а також їх сукупна дія при різноманітних співвідношеннях і передбачених ступенях інтенсивності можна виміряти шляхом застосування математичних моделей залежності урожайності від факторів, що її визначають. Побудування моделі базується на використанні звітних даних про врожайність. Основним економічним принципом техніки розрахунків на підготовчих стадіях є системний підхід. Система розрахунків повинна передбачати її перевірку від базових даних до кінцевих результатів по єдиній методиці. Другим важливим принципом слід вважати взаємозв'язок технологічних і організаційно-економічних показників. Збільшення обсягів виробництва залежить від зростання врожайності, а зростання врожайності від впровадження у виробництво високо урожайних сортів і гібридів інтенсивного типу, застосування оптимальних доз органічних та мінеральних добрив й інших факторів інтенсифікації виробництва. Ці взаємозв'язки і взаємозалежності обов'язково повинні дотримуватися і контролюватися. Третій принцип - урахування закономірностей в тенденціях, що проявилися в попередні з плановим роки, і оцінка їх направленості. Тенденції можуть бути як сприятливими, так і несприятливими для зростання врожайності. В усякому разі вони повинні бути якісно виражені і враховані при плануванні. У вітчизняній практиці планування урожайності сільськогосподарських культур використовують різноманітні методи і прийоми: прогнозування із використанням методів лінійного програмування і кореляційного моделювання; програмування з урахуванням кількісного впливу комплексу найважливіших факторів; обґрунтування приросту на підставі кількісної і якісної оцінки кожного фактора. Всі ці методи та прийоми детально викладені в спеціальній літературі.
У перелік заходів по підвищенню врожайності сільськогосподарських культур включають: вибір місця розміщення в сівозміні та попередників; впровадження нових районованих і перспективних сортів (гібридів); освоєння ресурсом та енергозберігаючих технологій інтенсивного та індустріального типу; застосування оптимальних доз внесення органічних та мінеральних добрив; використання інтегрованих систем захисту рослин від шкідників і хвороб та ін.
При визначенні ресурсної врожайності рекомендується використовувати одну з найбільш простих моделей програмування на основі використання природної родючості (бонітет ґрунтів), кількості і економічної ефективності органічних і мінеральних добрив, а також порівняльної ефективності різних попередників. Для цього слід використовувати таку формулу:
Ур=ЦБ + 0,К, + 02К2у
де: Ур - ресурсна урожайність;
Ц - ціна бала;
Б - бонітет грунтів;
0\02 - окупність мінеральних і органічних добрив;
КХК2 - кількість внесених мінеральних і органічних добрив.
При програмуванні урожайності слід користуватися матеріалами обстеження грунтів по господарству.
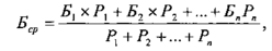
Шкали бонітетів грунтів складаються для кожного конкретного агрогрунтового району і культур, при цьому один і той же грунт у різних агрогрунтових районах може мати різну бальну оцінку. Бонітет грунтів кожного конкретного поля господарства визначається як середньо виважена величина бонітетів ґрунтів, що входять в нього (по шкалах бонітетів ґрунтів відповідного агроґрунтового району), і їх площ (по матеріалах широкомасштабного ґрунтового дослідження) за формулою:
де: Бср - середньо виважений бонітет ґрунтів поля, господарства, району;
Бь Б2,...у Бп ~ бонітети агровиробничих груп грунтів по шкалі бонітетів даного оцінного району; Рь P2,..., Рп - площі ґрунтів.
Вихідними даними тут є площі всіх ґрунтів господарства і бонітети їх по шкалі агроґрунтового району, в якому розташоване господарство. Середньовиважений бонітет ґрунтів для кожної культури одержуємо діленням суми добутків бонітетів ґрунтів та їх площ на суму площ ґрунтів.
Вихідною інформацією для оцінки ґрунтів полів є книги хімізації полів, а при їх відсутності - плани ґрунтів господарств, плани землеустрою і нариси ґрунтів по матеріалах широкомасштабного ґрунтового обстеження. Наприклад, в полі № 3 польової сівозміни господарства заплановано посіяти озиму пшеницю. Ґрунтове покриття поля представлене чотирма агровиробничими групами ґрунтів: 1) чорнозем потужний середньо гумусний важко суглинистий, шифр 416 - 60 га; 2) чорнозем потужний середньо-гумусний важко суглинистий слабко змитий, шифр 426 - 20 га; 3) чорнозем потужний середньо-гумусний важко суглинистий середньо змитий, шифр 43 - 40 га; 4) луговий і чорноземно-луговий ґрунт, шифр 112 - ЗО га.
Оцінка цих ґрунтів по шкалі бонітетів даного району: 416-80 балів, 426-68 балів, 43-53 бали і 112-72 бали. Середньовиважений бонітет поля буде дорівнювати:
Після оцінки ґрунтів усіх полів по кожній сільськогосподарській культурі визначають середньовиважений бонітет грунтів по господарству. Одержані зведені бонітети зіставляються з розрахунковими. Вони можуть відрізнятися від них на 2-3 бали за рахунок чергування різноманітних по ґрунтовому покриттю полів у сівозмінах.
Оцінка ґрунтів для культур, не приведених в шкалах бонітетів, може проводитись по бонітетах інших, близьких по біолого-екологічних і господарських особливостях культур: для озимої пшениці і жита на зелений корм - по шкалі бонітетів для озимої пшениці на зерно, для кукурудзи на зелений корм і силос - по шкалі кукурудзи на зерно, кормових буряків - по шкалі цукрових буряків, проса та інших зернових по шкалі групи зернових культур.
Шкали бонітетів ґрунтів є нормативами родючості ґрунтів по усереднених попередниках. Так, в умовах нестійкого і недостатнього зволоження такий попередник озимої пшениці, як чистий або зайнятий пар, може згладити вплив на урожай недостатньої атмосферної вологи, а стерньові попередники - підсилити його. Тому для озимої пшениці вводять поправочний коефіцієнт на бонітет ґрунтів, виходячи з попередників. Так, урожайність після кукурудзи молочно-воскової стиглості на зелений корм прийнято за 1, по чистих і зайнятих парах - вище, а після стерньових попередників - нижче 1. Кінцевий бонітет ґрунтів поля озимої пшениці визначається множенням середньо виваженого бонітету ґрунтів на поправний коефіцієнт. Наприклад, середньо виважений бонітет ґрунтів поля озимої пшениці - 65 балів, поправочний коефіцієнт на стерньовий попередник - 0,91. Кінцевий бонітет поля складає 60 балів (65 балів х 0,91).
Для спрощення розрахунків по районах і підприємствах визначають поправочні коефіцієнти на попередник по оцінках районів, або зонах області, як середньо виважені величини.
Для того, щоб безпосередньо використовувати результати бонітування у визначенні рівнів родючості ґрунтів без внесення добрив, необхідно знати ціну одного бала ґрунту по урожайності культур. Ціна бала, незалежно від агроґрунтового району, є середньо обласною і залежить від досягнутого рівня культури землеробства, тобто величина її є динамічною. З підвищенням загальної культури землеробства ціна одного бала бонітету по урожайності культур підвищується.
Оцінка природної родючості ґрунтів для програмування урожайності інших культур (овочеві, однорічні та багаторічні трави на зелений корм, на сіно та ін.) проводиться по шкалі оцінки вказаних зернових і технічних культур з близькими господарськими або кормовими властивостями. Наприклад, в 1 ц зерна ячменю міститься 1,21 ц к.од., а в 1 ц зеленої маси однорічних трав - 0,18 ц к.од. (в 6,72 р. менше). На цьому самому полі ціна одного бала для однорічних трав на зелений корм складе 2,75 ц/га (6,72 х 0,41).
При наявності в підприємстві зрошуваних чи осушених земель для їх оцінки бонітет ґрунтів помножується на коефіцієнт ефективності використання, який суттєво коливається по зонах України.
Ресурсна врожайність за рахунок використання органічних та мінеральних добрив розраховується по їх окупності приростом урожайності.
Ефективність використання добрив в значній мірі залежить від агрохімічних властивостей ґрунтів. При незначному вмісту в них поживних речовин одна і та сама доза внесення добрив дає більшу прибавку, ніж при підвищеному і високому вмісту. Тому при розрахунку врожайності здійснюють коригування доз внесення добрив по прийнятих коефіцієнтах (табл.8.2).
















