13864 (596886), страница 25
Текст из файла (страница 25)
б)за рахунок скорочення чисельності працівників на підприємстві.
При плануванні застосовують такі методичні підходи і прийоми розрахунку росту продуктивності праці: а) по факторах з використанням показника економії робочої сили; б) по укрупнених факторах з використанням показників трудомісткості продукції (по прямих затратах праці).
Розрахунок по факторах з використанням показників економії робочої сили може бути використаний у всіх господарствах. Існуюча статистична, бухгалтерська звітність і система показників бізнес-плану підприємства дозволяє забезпечити виявлення резервів і складання розрахунків.
Методика планування продуктивності праці на основі показників трудомісткості (по прямих затратах праці), які цілком сумірні з показниками виробництва продукції як у грошовому, так і натуральному обчисленні, дозволяє визначити зростання продуктивності праці підприємства, в якому проводиться розрахунок трудомісткості виробництва.
Застосування методики планування продуктивності праці по факторах передбачає тісний зв'язок і поєднання планування продуктивності праці з розробкою організаційно-технічних заходів.
При плануванні зростання продуктивності праці повинні бути враховані такі фактори: впровадження нової техніки і технології; здійснення комплексної механізації і автоматизації виробничих процесів; удосконалення технології виробництва; введення в експлуатацію нових цехів (виробництв) з промисловою технологією виробництва; впровадження прогресивних форм організації виробництва і праці; раціональна організація і підвищення продуктивності праці робітників допоміжних виробництв і на роботах по обслуговуванню основного виробництва шляхом механізації цих робіт і поліпшення нормування праці; підвищення професійної майстерності робітників і розповсюдження передового досвіду; удосконалення організації і техніки управління виробництвом; спрощення структури апарату управління; механізація обліково-статистичних, розрахунково-бухгалтерських робіт.
Крім того повинен враховуватися вплив на темпи росту продуктивності праці змін у структурі виробництва, видах і асортиментах продукції.
В якості єдиного для всіх галузей показника, що відображає зростання продуктивності праці по кожному окремому фактору і в цілому, приймається економія робочої сили.
Розрахунок обґрунтування підвищення продуктивності праці по факторах на підприємстві проводиться за такою методикою: на підставі заходів, намічених для підвищення продуктивності праці, по окремих факторах визначають економію робочої сили, виходячи з економії робочої сили по факторах, віднесеної до загальної потреби в чисельності працюючих на плановий період за мінусом загальної економії, визначають розмір підвищення продуктивності праці по кожному фактору окремо; визначають загальне зростання продуктивності праці на підприємстві на основі економії робочої сили по всіх факторах і чисельності працівників у плановому періоді.
Для розрахунку економії робочої сили необхідно визначити чисельність працюючих, виходячи з досягнутого рівня виробництва валової продукції в базисному періоді.
Приклад. На підприємстві виробництво валової продукції на 1 працівника, зайнятого в сільськогосподарському виробництві, в базисному році склало 6000 грн., а обсяг валової продукції на плановий рік встановлено в розмірі 1750 тис.грн, що на 12% більше обсягу базисного періоду. Потреба в працівниках, зайнятих у виробництві, для виконання обсягу валової продукції на плановий рік при збереженні виробництва валової продукції на 1 середньорічного працівника, досягнутого в базисному періоді, складе 292 чол. (1750000 : 6000).
Розрахунок економії робочої сили за рахунок впровадження нової техніки може бути виконаний за такою формулою:
де: 0Ечр - економія чисельності робітників, %;
М - загальне число одиниць техніки, шт.;
Мі - кількість одиниць техніки, яка не підлягає заміні на нову, шт.;
М2 - кількість одиниць нової техніки, шт.;
ПТ - показник росту продуктивності нової техніки, %;
К - коефіцієнт дії нової техніки, який дорівнює Тд : Тк (Тд - кількість місяців роботи нової техніки; Тк - календарне число місяців у плановому періоді).
Коли відомий відсоток зменшення потреби в робочій силі за рахунок підвищення продуктивності нової техніки, для розрахунку економії робочої сили з урахуванням питомої ваги основних робітників в загальній чисельності працівників, зайнятих у сільськогосподарському виробництві, застосовують таку формулу:
де: АЕчр - економія робочої сили (кількість вивільнюваних працівників);
Чр - необхідна чисельність працюючих для виконання планового обсягу валової продукції, виходячи з виробітку базисного періоду;
Прп - питома вага робітників, зайнятих на новій техніці (% до чисельності працівників, зайнятих в сільськогосподарському виробництві);
ОЕчр - економія робочої сили за рахунок підвищення продуктивності нової техніки, %.
Приклад. Визначити економію робочої сили в результаті заміни трактора Г-150К на ХТЗ-17121 при таких показниках.
Загальна кількість машин на кінець базисного періоду - 5; кількість машин, що підлягають заміні, - 4; строк впровадження нових машин - 1 липня; підвищення продуктивності праці нових машин (% в порівнянні з діючими) - 164; середньорічна чисельність робітників, зайнятих на обслуговуванні цих тракторів - 5; питома вага цих робітників (%) в загальній чисельності працівників, зайнятих в сільськогосподарському виробництві (5:2 92х100)-1,7%.
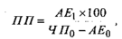
Розмір підвищення продуктивності праці по кожному фактору окремо визначають як відношення економії робочої сили по цьому фактору до загальної потреби в чисельності працівників, розрахованій на обсяг у плановому періоді за виключенням загальної економії робочої сили. Розрахунок ведуть так за :
Де. ПП – зростання продуктивності праці;
AE1 - економія робочої сили по окремому фактору;
ЧП0 - чисельність працівників, що розрахована на обсяг планового періоду і виходить із виробітку звітного періоду;
ЛЕ0 - економія робочої сили, визначеної по всіх факторах.
Приклад. Для виконання обсягу валового виробництва в плановому періоді при збереженні виробітку базисного періоду необхідно мати 292 працівники, зайнятих у сільськогосподарському виробництві. Загальна економія робочої сили по намічених у плановому році заходах складе 20 чол. (по всіх факторах). Впровадження нової техніки скоротить потребу в робочій силі на 1 чол.
Розмір зростання продуктивності праці за рахунок впровадження нової техніки складе:
ПП = [1 : 292 - 20)] х 100 = 0,4%.
Загальне зростання продуктивності праці по підприємству в результаті здійснення намічених заходів встановлюють як відношення потреби в працівниках по всіх факторах до чисельності працівників у плановому періоді:
де ЧПпл - чисельність працівників планового періоду, що розрахована як різниця між чисельністю працівників, визначеною, виходячи із обсягу виробництва валової продукції планового періоду і продуктивністю праці звітного періоду, і загальною економією робочої сили по факторах.
Тоді:
тобто запланована економія робочої сили цілком забезпечує виконання завдання по зростанню продуктивності праці.
Розрахунок можливого підвищення продуктивності праці по факторах на базі показника зниження трудомісткості продукції проводять, виходячи з трьох укрупнених груп факторів: зниження трудомісткості продукції, поліпшення використання робочого часу і удосконалення структури кадрів.
Завдання по зростанню продуктивності праці обґрунтовують за такою методикою: обчислюють трудомісткість продукції (по затратах праці основних працівників); визначають відсоток зниження трудомісткості продукції в плановому періоді до економії праці, очікуваної в результаті впровадження відповідних організаційно-технічних заходів; розраховують відсоток збільшення продуктивності праці в результаті зниження трудомісткості; встановлюють зростання продуктивності праці в результаті поліпшення використання робочого часу в плановому періоді у порівнянні із звітним; обчислюють загальне зростання продуктивності праці в результаті зниження трудомісткості і поліпшення використання робочого часу; враховують вплив зміни питомої ваги основних робітників у загальній чисельності працівників, зайнятих в сільськогосподарському виробництві, на показник продуктивності праці.
Середньорічна оплата праці одного працівника, зайнятого в сільськогосподарському виробництві, визначається шляхом ділення загального фонду оплати праці цих працівників на їх середньорічну чисельність. Темп росту середньорічної оплати праці в плановому році визначається до базисного (звітного) року. При плануванні річного фонду оплати праці і середньорічного фонду оплати праці одного працівника слід мати на увазі, що однією з умов розширеного відтворення є випередження темпів зростання її оплати. Як виняток ця умова не може стосуватися тих господарств, у яких в силу різних причин за останні роки склався занадто низький рівень оплати праці.
Контрольні питання
-
Особливості формування балансу трудових ресурсів.
-
Кооперація праці.
-
Сутність хронографії.
-
Умови застосування хронометражних спостережень.
-
Особливості нормування праці в сільському господарстві.
-
Порядок розрахунків норм виробітку в рослинництві та тваринництві.
-
Форми та види оплати праці.
-
Тарифні ставки та тарифні розряди.
-
Залежність між темпами зростання оплати та продуктивності праці.
РОЗДІЛ 7
Організаційні умови виробництва в підприємствах АПК
7.1 Наукові основи регіонального і внутрішньогосподарського розміщення сільськогосподарського виробництва
Незалежно від форм власності та напрямків формування економічних систем у результаті суспільного поділу праці виробництво матеріальних благ здійснюється в окремих галузях народного господарства і розподіляється по території країни. Суспільний поділ праці в сільському господарстві поглиблюється з розвитком галузі, особливо в умовах науково-технічного прогресу. Однією з форм суспільного поділу праці в сільському господарстві є розміщення сільськогосподарського виробництва. Воно означає розподіл виробництва окремих видів сільськогосподарської продукції по території країни. Розміщення визначається обсягом виробництва тієї чи іншої продукції сільського господарства в окремих районах і областях, їх місцем у виробництві цієї продукції в масштабах країни, області, району або підприємства.
У сільському господарстві виробляється багато різноманітних видів продукції, окремі з яких розміщуються практично на всій території країни. Значення окремих районів і областей у виробництві того чи іншого виду сільськогосподарської продукції неоднакове. Так, виробництво зерна розміщується на всій території України, проте головними його постачальниками є господарства Лісостепу і Степу. Як форма суспільного поділу праці розміщення закріплює певні галузі виробництва за певними регіонами країни та обумовлює ресурсний розподіл.
Раціональне розміщення сільського господарства сприяє зростанню суспільного виробництва на основі ефективного використання землі, засобів виробництва і трудових ресурсів. Тільки за таких умов можна досягти раціонального природокористування, забезпечити впровадження агротехнічних, меліоративних і організаційних заходів, спрямованих на охорону земельних і водних ресурсів, підвищення родючості ґрунту, одержання високих урожаїв сільськогосподарських культур. Отже, якщо розміщення сільського господарства сприяє збільшенню виробництва валової і товарної продукції та підвищенню ефективності галузі, то воно може бути визначене як раціональне і науково обґрунтоване.
Раціональне розміщення сільського господарства забезпечує виробництво необхідних суспільству продуктів харчування і сільськогосподарської сировини в потрібних розмірах при мінімальних затратах праці і коштів на виробництво продукції і доведення її до споживача. Розміщення сільського господарства як одна з форм суспільного поділу праці вдосконалюється в умовах розвитку науково-технічного прогресу. В свою чергу, воно ставить певні вимоги до вдосконалення засобів виробництва і тим самим стимулює науково-технічний прогрес як у сільському господарстві, так і в поєднаних з ним галузях. Метою раціонального розміщення є забезпечення виробництва всіх видів сільськогосподарської продукції в найбільш сприятливих природних і економічних умовах, де затрати праці і коштів на одиницю продукції найменші.
















