123450 (592825), страница 6
Текст из файла (страница 6)
марка............ 57-1 46-1 марка........... 57,1 46-1
Ni ……………. 32 21 Al2O3 ……….. 54 32
CaO …………. 14 11 MgO ………… - 13
SiO2 …………. 0,1 16 K2O …………. - 7
1.2.4 Загуба на активност на катализатора
Под действие на каталитичните отрови, катализаторите могат час-тично или изцяло да загубят своята активност. В редица случаи е възмо-жно тя да се възстанови, ако не нацяло, то поне частично, след прекратя-ване действието на отровителя. Някои вещества отрявят катализатора необратимо. Към каталитическите отрови следва да се отнесат: сярово-дород и органични съединения на сярата, съединения на арсена, халоге-ните, фосфора, оловото и медта. Суровина и пара, подадени отделно или в недостатъчни количества също могат да са отровители.
Загуба на активността е вследствие химичното взаимодействие на никела с катализаторния отровител и образяване на неактивни съедине-ния. За отравяне на катализатора е нужно в такова взаимодействие да са встъпили дори само активните центрове на Ni. Например, катализатор съдържащ 15% Ni бил отровен при 750 0С, когато съдържанието на сяра в него било едва 0,005%, т. е. когато само 0,069% от Ni са образували сул-фид. По-активните катализатори, по принцип са и по-чувствителни към отровители. Така повишаване качеството на катализаторите е довело до изискване към по-добро очистване на суровината от сяра.
Отравяне на катализатора със сяра е възможно при нарушаване режима на работа на инсталацията за сероочистка. При непродължител-ни нарушения, катализаторът в срок от няколко денонощия възстановява активността си. При отравяне на катализатора се нарушава кинетичното равновесие на реакцията на образуване и газификация на въглерода, което може да доведе до отлагане на въглерод и разрушаване на катали-затора.
Хлорът е силен отровител на катализаторите за ПК на въглеводо-родите и в още по-голяма степен за катализаторите за нискотемператур-ната конверсия на въглеродните оксиди. Йоните на хлора могат да попа-днат на катализатора от водните пари при недобро обезсоляване на химически очистената вода.
Катализаторът губи своята активност и при продължително въздей-ствие на водна пара, вследствие окисление на никела. В условия на ПК съотношението между окислителя (водни пари) и възстановяващия ком-понент (СО и Н2) е такова, че реакцията на възстановяване преобладава над реакцията на окисление и никелът в по-голяма част се намира във възстановено състояние. На вход в реактора при 400 – 500 0С конверсия не протича и възстановяването е слабо и в участък с дължина 1 - 3 м, къ-дето става подгряването на компонентите до 600 – 700 0С, процесите на окисление преобладават над тези на възстановяване. Така в началния участък никела се окислява и катализаторът губи своята активност, което от своя страна задържа началото на реакция. В такива условия началния участък работи като подгряващ за суровина и пара, което не е ефективно. Ако в газа постъпващ за конверсия има водород, условията за възстано-въване на катализатора в началните участъци се подобряват и никелът се съхранява във възстановен вид.
Окисление на никела в целия обем на катализатора може да стане при прекратяване или намаляване подаването на суровина и запазване подаването на пара. При 700 – 800 0С никеловият оксид взаимодейства с алуминиевия оксид, преобладаващ в носителя, с образуване на никелов алуминат (шпинел) по реакцията:
NiO + Al2O3 → NiiAl2O4
Полученият шпинел не притежава каталитична активност. Реакция-та протича по-бързо с γ-Al2O3 и значително по-бавно с α- Al2O3. Катали-затор съдържащ α- Al2O3 може да бъде нагряван с водни пари до 800 0С без да се образуват шпинели. Възстановяването на катализатор, в който никелът се е окислил не е сложно, ако пък са се образували шпинели, е необходимо третиране с водород при 800 0С.
1.2.5 Механизъм и кинетика на парова конверсия на въглеводороди
Механизмът на реакция между метан и водна пара на никелов ката-лизатор не е точно установен. Редица автори считат, че това е реакция от първи порядък, т. е. нейната скорост е право пропорционална на кон-центрацията на метана. Изследвания, направени върху реален катализа-тор, показали, че макрокинетиката на ПК на метана се подчинява на вътренодифузионния режим и скоростта на реакция (w, mol/s на 1м3 от катализатора) се описва с уравнението:
w = η.k.pCH4
където η-фактор на ефективноста, отчитащ масообмена; k – реална скоростна константа на реакцията (при отсъствие на вътрешнодифузинни пречки); pCH4 – парциално налягане на СН4, МРа.
Факторът на ефективност зависи от отношението между размера на катализаторните гранули и дълбочината на проникване на реакцията в тяхната вътрешност. По данни, дълбочина на проникване във въкрешно-стта на катализатор с диаметър 1,2 мм е само 0,04 мм. За катализатора на фирма Gerdler – G-56В, факторът на ефективност зависи от размера на частиците. При размер 6,4 мм η=0,216, а при гранули с размер 0,51 – 0,84 мм η=0,954. По тези данни дълбочината на проникване във вътреш-ността на гранулите е 0,2 – 0,3 мм. Тази величина свидетелства за това, че катализаторът работи с малка част от повърхностния слой. Така се оказва, че не повече от 5 – 8% от никела, съдържащ се в катализатора контактира с реагиращите вещества.
Намерена е примерна зависимост на скоростта на реакция от външ-ната повърхност на катализатора, която е свързана с малката дълбочина на проникване на реакцията във вътрешността на гранулите. Ако се вклю-чи фактора на ефективност в скоростната константа, уравнението ще приеме вида:
w = k.pCH4
За катализатор ГИАП-3, k се определя от уравнение:
k = 2,1.104.S.e-19400/RT
където S e относителната повърхност на катализатора, см2/гр.
В редица разработки са открити затормозяващи влияния от продук-тите на реакцията върху скоростта на ПК на метана. Затова, скоростта на реакция се описва с уравненията:
w = k. pCH4
pH2
w = k. pCH4.pH2O
10.pH2 + pH2O
w = k. pCH4
1 + a(pH2O/pH2) + b.pCO
Още по-малка е яснотата по отшение механизма на ПК на висшите въглеводороди. Установено е само, че в процеса на ПК хомолозите на метана се превръщат в метан, т. е. протича процес на частична конвер-сия. Предполага се, че въглеводородът, попаднал на повърхността на катализатора се дисоциира и образува радикали СНх, които реагират с водна пара и водород. В резултан на взаимодействие на радикали с вод-ни молекули, се образуват въглероден оксид и водород, а при взаимодей-ствие с водород – метан и въглерод. Така разрледан механизмът на кон-версия включва крекинг на въглеводороди, хидриране на продукти на кре-кинга и газификация на получения въглерод.
Има и други предположения за механизма на процеса на частична конверсия с преимуществено получаване на метан. Отначало става кон-версия на въглеводорода:
2СО + 2Н2 → СН4 + СО2
СО2 + 4Н2 → СН4 + 2Н2О
Противоположно мнение, предложено от други изследователи, че в началото се образува метан, който в последствие се подлага на конвер-сия с пара и се образува СО, СО2 и Н2. В други трудове е посочено, че първата реакция е на хидрокрекинг на въглеводородите:
СnH2n+2 + (n – 1)H2 → nCH4
, а след това е вече реакция на конверсия на метана.
Липсата на яснота около механизма на процеса не позволява да се даде кинетично уравнение за частичната конверсия. В своя труд L. U. Hyman се опитва да заобиколи това затруднение като предлага такава су-марна реакция за ПК на въглеводородите:
CnH2n+2 + mH2O → xCH4 + yCO2 + zCO + iH2
и математически задоволително описва резултатите от експеримента.
1.3 Парова конверсия на въглеродния оксид
Газът, получев в процеса на ПК и паро-кислородна газификация, съдържа заедно с водорода и метан, въглероден оксид и диоксид. Кон-центрацията на въглеродните оксиди в газа, получени при конверсия на различни въглеводородни суровини се колебае от 6 – 15%, а в газ, полу-чен от газификация на мазут достига до 45%.
В резултана на конверсия на въглеродните оксиди с водна пара се получава допълнително количество водород, равно на съдържащия се в газа СО. Реакцията протича без промяна на общия обем от реагенти, съ-провожда се от отделяне на топлина и не зависи от налягането. С пони-жаване на температурата, равоновесието се премества към образуване на водород и въглероден диоксид.
В реални условия на протичана на процеса на ПК на въглеводороди и паро-кислородна газификация на мазута, когато реакционната темпера-тура подмине 800 0С, пректически се достига равновесие на реакцията на конверсия на въглеродния оксид и концентрацията му в газа, постъпващ за конверсиям; тази концентрация обикновено отговаря на равновесната за максимана температура на конверсия на въглеводороди или газифика-ция. В отделни случаи се наблюдава по-ниско съдържание на СО, което може да се случи, ако реакция протича при по-ниска температура в колек-торите след изхода на газа от тръбите на пеща за конверсия на въглево-дороди или на агрегата за газификация. Този ефект е незначителен, по-ради краткото време на престой на газа в системата пред реактора за конверсия на СО.
Знаейки състава на газа постъпващ за конверсия на СО, и констан-тата на равновесие (таблица 12), може чрез уравнението за константите на реакцията и данните от материалния баланс да се пресметне равно-весната концентрация на СО и други компоненти. В таблица 13 са приве-дени данните за материалния баланс на конверсия на въглеродния оксид (изчислено за 100 мола от изходния газ).
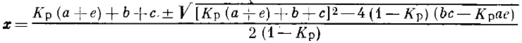
Като заместим стойностите на равновесните концентрации на ком-понентите във влажния конвертиран газ в уравнението за константите на конверсия на СО с пара и го решим за „х”, ще пулучим
Табл. 12 Константи на равновесие а реакцията СО + Н2О
СО2 + Н2
| Температура, 0С | К1 | Температура, 0С | К1 |
| 200 250 300 350 400 450 500 520 540 560 580 600 620 640 660 680 700 710 720 730 740 750 760 | 2,279.102 8,651.10 3,922.10 2,034.10 1,170.10 7,311 4,878 4,215 3,670 3,220 2,843 2,527 2,259 2,031 1,835 1,666 1,519 1,453 1,391 1,333 1,279 1,228 1,180 | 770 780 790 800 810 820 830 840 850 860 870 880 890 900 910 920 930 940 950 960 970 980 990 | 1,135 1,092 1,053 1,015 9,793.10-1 9,457.10-1 9,139.10-1 8,837.10-1 8,552.10-1 8,282.10-1 8,025.10-1 7,781.10-1 7,549.10-1 7,328.10-1 7,118.10-1 6,918.10-1 6,728.10-1 6,546.10-1 6,372.10-1 6,206.10-1 6,047.10-1 5,896.10-1 5,750.10-1 |
Табл. 13 Материален баланс за изчисляване на равновисието на конверия на въглероден оксид
| Компоненти | Изходящ газ, mol | Реагирало коли- чество, mol | Полу-чено,mol | Конвертиран газ, mol |
| CO H2 CO2 CH4 | a b c 1 – (a + b + c) | x - - - | - x x - | a – x b + x c + x 1 – (a + b + c) |
| Общ сух газ | 1 | х | 2х | 1 + х |
| Н2О | е | х | - | е - х |
| Общ влажен газ | 1 + е | 2х | 2х | 1 + е |
Изчисленията показват, че за достигане на дастатъчно ниска кон-центрация на въглероден оксид в конвертирания газ, конверсията трябва да се провежда при температура не по-висока от 250 0С. С цел повишава-не производителността на процеса, конверсията обикновено се провежда на две степени: на първа се използва високотемпературен желязохромен катализатор, на втора – нискотемпературен катализатор, на който медта е активен компонент. Преди откриването на нискотемпературните катали-затори, конверсията на въглероден оксид се е провеждала на железохро-мен катализатор при 350 – 450 0С в няколко степени. Високата степен на превръщане на СО се достигала за сметка на големия излишък на водна пара и очистване на конвертирания газ от въглероден диоксид между сте-пените. Такава схема е тромава и неикономична, затова с основно значе-ние на изследванията за този стадий е откриването на нискотемперату-рен катализатор.
Двустепенната конверсия на въглероден оксид на първи стадий се провежда при 350 – 400 0С, а на втори – при 220 – 250 0С. В газа, на вход на първа степен, отношението пара:газ се определя от режима на пред-ходния стадий (конверсия на въглеводородите) и трябва да се поддържа не подържа не по-ниско от 0,6:1 при налягане 2МРа и не по-ниско от 0,9:1 при налягане близко до атмосферното. Ако в газа получен на предходния стадий парата е недостатъчно, тя се добавя. Излишъкът на пара е благо-приятен за провеждане на конверсия, но при определени условия той мо-же да способства за отравяне на катализатора.
















