49673 (588668), страница 3
Текст из файла (страница 3)
(2.1)
где
- вектор состояния системы,
- вектор входного сигнала с исполнительного механизма,
- фактический (не доступный) выходной вектор системы; А, В, С - известные матрицы системы соответствующих размерностей.
Рис. 2.5. Динамика системы
Когда происходит отказ компонента в системе (рисунок 2.5), динамическая модель системы может быть описана так:
. (2.2)
Отказ компонента представляет случай, когда изменение некоторых условий в системе приводит к невыполнению динамических отношений, например, утечка в баке в системе двух баков. В некоторых случаях, отказ может быть выражен как изменение параметров системы. Например, при изменении в i-ой строке и j-ом столбце матрицы А, динамика системы может быть описана так:
, (2.3)
где
- это j-ый элемент вектора
и
- это n-мерный вектор с нулевыми элементами, кроме ‘1’ в i-том элементе.
Вообще говоря, реальный выход
системы непосредственно не доступен, для его измерения используются датчики. Этот случай отказа изображен на рисунке 2.6 и математически может быть описан следующим образом (при пренебрежении динамикой датчиков):
, (2.4)
где
- вектор отказа датчика.
Рис. 2.6. Датчики, выход и измеряемый выход
Правильно выбрав вектор
, мы можем описать все случаи отказов датчиков. Когда выходной датчик показывает фиксированную величину (скажем ноль), вектор измерения y(t)=0 и вектор отказа
= - yR(t). С другой стороны, когда датчики подвержены мультипликативному отказу, измерение становится
, а вектор отказов может быть переписан так
=
.
Так же верно, что обычно действительный сигнал с исполнительного механизма
системы часто не доступен.
это реакция исполнительного механизма на команду
(при пренебрежении динамикой исполнительного механизма) (рисунок 2.6):
, (2.5)
где
- вектор отказа исполнительного механизма, а
- известная команда управления. Подобно случаю отказа датчика, могут быть рассмотрены так же различные ситуации для функции отказа
.
Рис. 2.7. Исполнительный механизм, вход и регулирующее воздействие
В случае, если вход системы неизвестен (т.е. в неконтролируемых системах), для измерения входа исполнительного механизма может быть использован входной датчик (рисунок 2.8). Датчик может быть представлен следующей моделью:
, (2.6)
. (2.7)
Рис. 2.8. Датчик входа
Когда в системе действуют всевозможные отказы датчиков, ее компонентов и исполнительных механизмов, ее модель может быть представлена следующим образом:
(2.8)
Рассматривая общий случай модель системы со всевозможными отказами может быть описана следующей моделью в переменных состояния:
(2.9)
где
- вектор отказов, каждый элемент которого
(i=1,2,…g) соответствует отдельному отказу. С практической точки зрения, неразумно делать дальнейшие предположения о характеристиках отказов, считая при этом их неизвестными функциями времени. Матрицы R1 и R2 известны как матрицы распределения отказов, представляющие воздействие отказов на систему. Вектор u(t) – это вход исполнительного механизма и или измеряемое управляющее воздействие (actuation), вектор y(t) – измеряемый выход. Оба вектора считаются известными при диагностике. В литературе по диагностике отказов векторы u(t) и y(t) просто называются входными и выходными векторами системы, за которой осуществляется мониторинг.
Представление системы со всеми возможными отказами в виде передаточной матрицы вход-выход имеет вид:
, (2.10)
где
(2.11)
2.3.4. Общая структура формирования рассогласования в диагностике отказов, основанной на моделях
Наиболее часто используемые методы диагностики предполагают использование априорной информации о характеристиках определенных сигналов (т.е. амплитуды и частотных свойств). Например, мы можем контролировать уровень или динамический диапазон сигнала, максимальную скорость изменения и его спектр. Основными недостатками данной группы методов являются:
-
необходимость априорной информации о характеристиках сигналов;
-
недоступная зависимость этих характеристик от режима работы системы, который априорно неизвестен и может меняться заблаговременно.
Для устранения недостатков традиционных методов наиболее очевидным вкладом в современные методы, основанные на моделях, является использование рассогласований, которые не зависят от режима работы системы, а реагируют только на отказы в характеристических свойствах. Рассогласования являются количественными, что представляет несоответствие между переменными реальной системы и математической моделью. Основанные на математической модели многие инвариантные (неизменяемые) связи (динамические или статические) между различными переменными системы могут быть вторичными (производными), и любые нарушения этих связей могут быть использованы как рассогласования.
Формирование рассогласования может быть выполнено в терминах структуры избыточного сигнала, как представлено на рисунке 2.9. В этой структуре система (процессор или алгоритм) F1(u,y) генерирует вспомогательный (избыточный) сигнал z, который вместе с y генерирует рассогласование r, удовлетворяющее следующему инвариантному отношению при отсутствии отказа:
r(t) = F2 (y(t), z(t)) = 0. (2.10)
Когда в системе возникает отказ эта инвариантная связь будет нарушена и рассогласование будет отличаться от нуля.
Рис. 2.9. Структура избыточного сигнала в формировании рассогласования
Простейшим методом формирования рассогласования является использование системы дубликата т.е. система F1 формируется идентичной реальной модели системы. Она имеет такой же как и система выходной сигнал. В этом случае, в блоке F1 сигнал y не требуется. Блок F1 в этом случае является имитатором системы. Сигнал z – это имитируемый выход системы, а рассогласованием является отличие между z и y. Основным преимуществом данного метода является его простота. Основным недостатком является то, что, когда исследуемая система неустойчива, стабильность имитатора не может быть гарантирована. Это является следствием того, что для диагностики отказов используется модель разомкнутой системы (рисунок 2.3).
Рис. 2.10. Формирование рассогласования с имитатором системы
Прямым продолжением генерации рассогласования, основанной на использовании имитатора, является замена имитатора оценщиком выхода, который требует знания как входа, так и выхода системы. В этом случае, система F1(u,y) для формирования оценки линейной функции выхода y - My требует сигналы u и y, а система F2 может быть определена как F2(y,z) = Q(z - My), где Q – статическая (или динамическая) весовая матрица.
Независимо от используемого типа метода, формирователь рассогласования является только линейным обрабатывающим устройством, на вход которого подаются вход и выход системы, за которой осуществляется мониторинг. Общая структура формирователя рассогласования представлена на рисунке 2.11.
Рис.2.11. Общая структура формирования рассогласования
Структура формирователя рассогласования математически выражается так:
(2.11)
где Hu(s) и Hy(s) – передаточные матрицы, которые могут быть спроектированы с использованием устойчивой линейной системы. В соответствии с определением, рассогласование r(t) должно быть спроектировано таким образом, чтобы равняться нулю при отсутствии отказа и отличаться от нуля в случае отказов. Это означает, что
r(t)= 0 только если f(t) = 0 . (2.12)
Чтобы выполнялось уравнение 2.12, проектируемые передаточные матрицы Hu(s) и Hy(s) должны удовлетворять условиям:
. (2.13)
Уравнение (2.11) – это обобщенное представление всех формирователей рассогласования. Проектирование формирователя рассогласования происходит просто в результате выбора передаточных матриц Hu(s) и Hy(s), которые должны удовлетворять уравнению (2.13). Различные пути формирования рассогласований соответствуют различным параметрам Hu(s) и Hy(s). Используя свободу проектирования, можно выбрать желаемое выполнение рассогласования соответствующим выбором Hu(s) и Hy(s).
После формирования рассогласования, простейший и наиболее часто используемый путь выявления отказов - выполнение прямого сравнения сигнала рассогласования r(t) или функции рассогласования J (r(t)) с фиксированным порогом є или с пороговой функцией
:
(2.14)
где f(t) – общий вектор отказов, определенный в уравнении 2.9. Если рассогласование превышает порог, значит, произошел отказ.
Существует много путей определения функций оценки и порогов. Например, оценочная функция рассогласования может быть выбрана как норма вектора рассогласования, а порог можно выбрать как постоянную положительную величину (фиксированный порог).
2.3.5. Выявляемость отказов
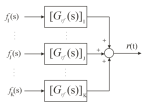
Когда в процессе, за которым осуществляется мониторинг, возникает отказ, реакция рассогласования на него определяется так:
, (2.15)
где
определяется как передаточная матрица отказов, представляющая соответствие между рассогласованиями и отказами,
- i-ая колонка передаточной матрицы
, а fi(s) – i-ый компонент f(s). (рисунок 2.12).
Рис. 2.12. Отказы и рассогласования
















