49673 (588668), страница 6
Текст из файла (страница 6)
Структура наблюдателя полного порядка может быть представлена следующим образом:
(2.52)
где
- оцениваемый вектор состояния, а
- вектор состояния этого наблюдателя полного порядка, F, T, K, H – матрицы, которые необходимо спроектировать для выполнения отделения неизвестного входа и других требований проектирования. Наблюдатель, описываемый уравнениями (2.52) представлен на рисунке 2.18.
Когда наблюдатель (2.52) проектируется для системы (2.51) ошибка оценки (ex(t) =
-
) удовлетворяет уравнению:
(2.53)
где К=К1+К2. (2.54)
Рис. 2.18. Структура наблюдателя при неизвестном входе полного порядка
Если выполняются следующие равенства:
, (2.55)
, (2.56)
, (2.57)
, (2.58)
то ошибка оценки будет:
. (2.59)
Если все собственные числа F устойчивы, ex(t) будет асимптотически стремиться к нулю, т.е.
Это означает, что наблюдатель (2.52), в соответствии с определением 2.1, является наблюдателем при неизвестном входе для системы (2.51). Проектирование этого наблюдателя заключается в решении уравнений (2.54)-(2.58) и выборе матрицы F так, чтобы все ее собственные числа были устойчивы.
Теорема 2.1. Необходимыми и достаточными условиями существования наблюдателя (3.2) при неизвестном входе для системы описываемой уравнением (4.51) является:
-
ранг (CE) = ранг (E),
-
( А1, С) является обнаруживаемой парой где
А1 = А – Е(СЕ)+СА. (2.62)
Стоит заметить, что для удовлетворения условия (1) теоремы 2.1 число независимых строк в матрице С должно быть меньше чем число независимых столбцов матрицы Е. Это означает, что максимальное количество возмущений, которые могут быть отделены не может быть больше чем число независимых измерений.
Кроме того, без неизвестных входов в системе, при установке T=I, H=0 и Е=0, наблюдатель (2.52) будет простым наблюдателем Люненбергера. В этом случае, условие (1) Теоремы 2.1 выполняется в любом случае, а условие (2) сводится к условию обнаруживаемости пары (А,С). Это – хорошо известный результат проектирования наблюдателя Люненбергера полного порядка.
Можно показать, что при проектировании наблюдателей при неизвестном входе К1 является матрицей свободных параметров. После вычисления К1 для того, чтобы обеспечить устойчивость матрицы динамической системы F, другие параметры матриц наблюдателя могут быть вычислены из соотношения К = К1+ К2 и условий (2.55)-(2.58). Некоторая свобода проектирования допускаемая при выборе К1 может быть использована, чтобы придать рассогласования необходимые проектировщику характеристики.
Процедура проектирования наблюдателя при неизвестном входе может быть представлена следующим образом:
-
Проверяем условие равенства рангов для Е и СЕ: если ранг(СЕ)≠ранг(Е) наблюдатель не существует, переходим к пункту 10.
-
Вычисляем матрицы H, T и A1:
, (2.63)
, (2.64)
. (2.65)
-
Проверяем наблюдаемость: если (С, А1) наблюдаема, то наблюдатель существует, а матрица K1 может быть вычислена с использованием метода расположения полюсов из условия обеспечения устойчивости матрицы F. Переходим к шагу 9.
-
Создаем матрицу преобразования P для выполнения канонического разложения наблюдателя: выбираем n1 = rank(W0) (W0 матрица наблюдаемости (C, A1)) независимых строчек p1T, …, pn1T из матрицы W0, вместе с другими n-n1 строками pn1+1T, …, pnT для формирования невырожденной матрицы :
P = [ p1, …, pn1 ; pn1+1, …, pn ]T (2.66)
5. Выполнить каноническое разложение (C, А1):
,
. (2.67)
6. Проверить обнаруживаемость (C, A1): если хотя бы одно собственное число A22 неустойчиво, наблюдатель с неизвестным входом не существует, переходим к шагу 10.
7. Выбрать n1 желаемых собственных чисел установить из выбором A11-Kp1C* c помощью размещения полюсов.
8. Вычислить:
K1= P-1Kp = P-1[(Kp1)T (Kp2)T]T (2.68)
где Kp2 может быть любой матрицей размерности (n-n1)*m.
9. Вычислить F и К:
F = A1-K1C, (2.69)
K = K1+K2 = K1+FH. (2.70)
10. Конец.
2.4.2. Схемы надежных выявления и изоляции отказов, основанные на наблюдателях при неизвестном входе
2.4.2.1. Схемы надежного выявления отказов, основанные на наблюдателях при неизвестном входе
Основной задачей в надежном выявлении отказов является задача формирования сигналов рассогласований, устойчивых к неопределенностям системы. Система с возможными отказами датчиков и исполнительных механизмов может быть описана так:
(2.71)
где fa – отказы исполнительных механизмов, fs - отказы датчиков. Для формирования надежного рассогласования (в смысле отделения возмущений) необходимо проектирование наблюдателя описываемого формулой (2.52). Если известна оценка состояния, то рассогласование может быть сформировано следующим образом:
. (2.72)
Когда формирование рассогласования осуществляется для системы с отказами (2.71):
. (2.73)
Из уравнения (2.73) видно, что воздействие возмущений отделено от рассогласования.
Чтобы выявить отказ исполнительного механизма необходимо сделать:
T B ≠ 0.
Отказ i-го исполнительного механизма будет воздействовать на рассогласование если и только если:
T bi ≠ 0.
где bi - i-ая колонка матрицы В.
Соответственно, чтобы выявить отказ датчика fs(t) необходимо сделать рассогласование чувствительным к этому отказу. Это условие обычно удовлетворяется так как вектор отказа датчиков fs(t) непосредственно воздействует на рассогласование. Надежное рассогласование может быть использовано для выявления отказов в соответствии с простой пороговой логикой:
(2.74)
где Т- пороговое значение, устанавливаемое при отсутствии отказа.
Проблема изоляции отказов заключается в определении того, в каком датчике (или исполнительном механизме) произошел отказ. Как было описано ранее (см. пункт 2.7.2.) одним из методов выполнения изоляции является формирование структурированной совокупности рассогласований. Здесь термин «структурированный» означает, что каждое рассогласование проектируется чувствительным к определенной группе отказов и нечувствительным к другим. Свойства чувствительности и нечувствительности делают возможным изоляцию. В идеальной ситуации отдельное рассогласование чувствительно только к одному отказу и нечувствительно к другим. Однако, сформировать рассогласования таким образом достаточно трудно.
2.4.2.2. Схемы надежной изоляции отказов датчиков
Для проектирования схем надежной изоляции отказов датчиков предположим, что в системе присутствуют только отказы датчиков, тогда уравнения рассматриваемой системы могут быть описаны так:
, (2.75)
где сj R1 x n - j-ая строка матрицы С, С j R(m-1) x n - определяется удалением j – ой строки сj из матрицы С, yj - j-ый компонент у и yj Rm-1– определяется удалением j-го компонента yj из вектора у.
На основе этого описания, формирование рассогласования на основе наблюдателя при неизвестном входе может быть выполнено следующим образом:
(2.76)
где параметры матриц должны удовлетворять следующим уравнениям:
. (2.77)
Каждый генератор рассогласования приводится в действие всеми входами и всеми, за исключением одного выходами. При отсутствии отказов ИМ, когда отказ возникает в j-ом датчике рассогласование будет:
(2.78)
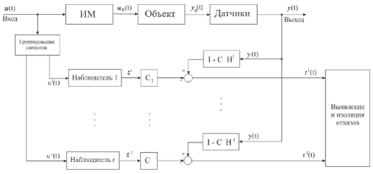
где Ts – пороговые значения рассогласований. Схема изоляции отказов датчиков изображена на рисунке 2.19.
Рис. 2.19. Схема надежной изоляции отказов датчиков
2.4.2.3. Схема надежной изоляции отказов исполнительных механизмов
Для проектирования схем надежной изоляции отказов датчиков предположим, что в системе присутствуют только отказы исполнительного механизма, тогда уравнения рассматриваемой системы могут быть описаны так:
, (2.79)
где bi R n - i-ый столбец матрицы B, Bi Rn x (r-1) - определяется удалением i – ой колонки bj из матрицы B, uj - i-ый компонент u и ui Rr-1– определяется удалением i-го компонента ui из вектора u,
.
На основе этого описания, формирование рассогласования на основе наблюдателя при неизвестном входе может быть выполнено следующим образом:
(2.80)
Параметры матриц должны удовлетворять следующим уравнениям:
. (2.81)
Каждый генератор рассогласования приводится в действие всеми выходами и всеми, за исключением одного входами. При отсутствии отказов датчиков, когда отказ возникает в i-ом исполнительном механизме рассогласование будет:
(2.82)
где Ta – пороговые значения рассогласований. Схема изоляции отказов датчиков изображена на рисунке 2.20.
Рис. 2.20. Схема изоляции отказов исполнительного механизма
2.5. Нейронные сети в диагностике отказов
Нейронная сети в диагностике могут использоваться как для выявления, так и для изоляции отказов нелинейных динамических процессов.
Нейронная сеть может использоваться как модель системы. После обучения сети, с ее помощью можно получить очень точную оценку выхода системы. В соответствии с концепцией формирования рассогласования, при использовании нейронной сети для оценки выхода системы, рассогласование может быть получено как взвешенная разность между реальным и оцененным выходами процесса. При превышении величины этого рассогласования установленного порогового значения можно сказать, что в системе произошел отказ. Такие рассогласования не являются независимыми от динамики системы.
Для выполнения изоляции отказов можно использовать вторую нейронную сеть, которая будет анализировать особенности рассогласований для различных отказов. Построенная на основе принципа анализа свойств или принципа классификации эта нейронная сеть может достоверно изолировать отказы.
Нейронные сети как классификаторы. После формирования рассогласования необходимо определить какой отказ произошел. Обычно принятие решения осуществляется с помощью пороговой логики. Основной задачей принятия решения является классификация рассогласований в различимые образцы, соответствующие различным ситуациям отказов. Следовательно, принимать решение можно на основе принципа распознавания образцов. Распознавание образцов так же включает в себя обработку входных данных.
Входные образцы называют измерениями или вектором особенностей (свойств). Функция, выполняемая системой распознавания образцов, состоит в отображении входного вектора особенностей в один из классов решений. В диагностике отказов, этими классами решений являются различные типы отказов, возникающих в системе. Основное преимущество нейронных сетей – их способность разбиения пространства образцов с целью классификации. Следовательно, нейронные сети могут быть использованы как классификаторы для разделения образцов рассогласований и формирования сигналов тревог. Таким образом, они могут выявлять и изолировать отказы.
















