49673 (588668), страница 7
Текст из файла (страница 7)
3. Диагностика отказов системы регулирования уровня жидкости в баке
3.1. Постановка задачи
Реализацию описанного выше метода диагностики отказов, основанного на моделях будем выполнять применительно к системе регулирования процессом экстракции (рисунок 3.1).
Рис.3.1. Система регулирования
Рассматриваемая система состоит из регулятора, исполнительного механизма, объекта и датчиков.
В качестве объекта автоматизации рассматриваем процесс жидкостной экстракции, осуществляемый в смесителях-отстойниках. Смесители-отстойники представим упрощенно в виде двух соединенных между собой баков, изображенных на рисунке 3.2.
В бак 1 поступает жидкость (вода) с известным расходом Q1. Уровень во втором баке необходимо регулировать в соответствии с заданием. Регулирование осуществляется за счет изменения вытекающего из второго бака потока Q3. Поток Q3 изменяется задвижкой, управляемой электроприводом на базе асинхронного двигателя. Величина уровня h2 измеряется датчиком.
Рис. 3.2. Система двух баков
Необходимо выполнить диагностику отказов элементов этой системы регулирования.
Следовательно, необходимо, на основе рассмотренного выше метода аналитической избыточности, спроектировать систему диагностики отказов, которая бы позволяла выявить и изолировать отказы датчиков, исполнительных механизмов и объекта управления.
3.2. Моделирование элементов системы и отказов
Для решения поставленной задачи в первую очередь необходимо создать модель системы, позволяющую имитировать поведение рассматриваемого процесса. Данная модель так же должна включать модели возможных отказов элементов системы регулирования.
3.2.1. Модель объекта управления
Рассматриваемая система баков (рисунок 3.2) может быть описана следующими уравнениями.
Уравнения материального баланса для баков 1 и 2 имеют вид:
, (3.1)
, (3.2)
где S1 = S2 = S = 0.049 м2 – площадь основания цилиндрических баков.
Расход через трубу, соединяющую баки, в соответствии с законом Торичелли определяется по формуле:
, (3.3)
где
,
- давление воды в 1 и 2 баках соответственно,
γ = 9800 Н/м3 - удельный вес воды,
К1 – коэффициент пропускной способности трубы, соединяющей баки равный K1 = 0.05 м3/час.
Расход через вентиль:
, (3.4)
где К2 – коэффициент пропускной способности вентиля. К2 регулируется задвижкой и зависит от ее положения – х:
К2(х) = 10∙Кmax∙ х . (3.5)
Максимальная пропускная способность вентиля принимается равной
Кmax=0.1 м3/час.
По полученным уравнениям составим модель системы в переменных состояния:
, (3.6)
,
(3.7)
В качестве переменных состояния будем рассматривать уровни жидкости в баках h1 и h2, входами будем считать расходы
и положение задвижки x:
,
. (3.8)
Таким образом, получим:
(3.9)
Данная модель является нелинейной.
-
Модель исполнительного механизма
В качестве исполнительного механизма рассматриваем трехфазный асинхронный двигатель, передаточная функция которого при частотном управлении имеет вид:
(3.10)
где Ким = 1 – коэффициент усиления , T = TМ – электромеханическая постоянная времени двигателя, определяемая следующим образом:
=0,0396 сек, (3.11)
где J=0.0081 кг ∙ м2 – момент инерции ротора,
ω0 = 2 ∙ 3,14 ∙ 50 = 314 рад/сек - синхронная частота,
SМ = 0.4371 – максимальное скольжение,
Ммах = 2,8025 Н ∙ м – максимальный электромагнитный момент.
-
Моделирование датчиков
Для измерения уровня жидкости в баке 2 используется датчик уровня. По причине того, что при его моделировании не будем учитывать динамические свойства датчика, его модель может быть описана в качестве передаточной функции вида:
Ws2(s) = 1. (3.12)
Для измерения положения задвижки так же используем датчик. Он описывается так же передаточной функцией вида:
Wsх(s) = 1. (3.13)
В соответствии с техническим заданием, уровень жидкости в первом баке датчиком не измеряется. Однако, в дальнейших исследованиях необходима информация об этом сигнале. Поэтому, для восстановления этой не измеряемой величины будем использовать виртуальный датчик – наблюдатель состояния.
Спроектируем наблюдатель состояния для системы двух баков. Для этого воспользуемся описанием системы баков в переменных состояния (3.9). Для линейной динамической модели:
(3.14)
где
,
,
для воссоздания переменных системы на основе измерений входов и выходов используется наблюдатель состояния:
. (3.15)
Система (3.9) является нелинейной, поэтому для оценки ее состояния можно построить нелинейный наблюдатель следующего вида:
. (3.16)
Для выбора коэффициентов обратной связи наблюдателя H необходимо выполнить линеаризацию в некоторой рабочей точке. Например, для точки
h1-h2 = 0.16357,м линеаризованная модель для (3.9) будет иметь следующий вид:
. (3.17)
Коэффициенты матрицы Н выберем исходя из условия обеспечения устойчивости наблюдателя и с учетом, того, что наблюдатель должен обладать более высоким быстродействием, чем система.
.
2.одель регулятора
3.2.5. Моделирование отказов
1. Отказ исполнительного механизма
Данный отказ будем моделировать как внезапное изменение коэффициента усиления исполнительного механизма в соответствии с уравнением:
КИМ = (1+δИМ)КИМ0, (3.20)
где δИМ - величина отказа, изменяемая в пределах {-1…1}. δИМ = 0 соответствует безотказному режиму работы.
2. Отказы датчиков
Данный тип отказов проявляется во внезапном возникновении отклонений показаний датчика от действительных значений, измеряемой величины. Моделирование осуществляется в соответствии с уравнением:
, (3.21)
где yR – действительное значение измеряемой величины, y – значение величины, полученное датчиком, δS - величина отказа датчика.
Будем рассматривать следующие отказы датчиков: - датчик уровня, измеряющий h2; - датчик положения задвижки.
Величины отказов датчиков определяются следующим образом:
δS1 = {-1…1}, (3.22)
δS3 = α∙t. (3.23)
3. Отказы объекта управления
Будем рассматривать следующие отказы объекта управления:
1) отверстие в баке 1
Отказ моделируется как дополнительный расход, за счет которого уменьшается уровень в баке 1 в соответствии с уравнениями:
,
(3.24)
где Kfmax=0.5 м3/час – максимально возможный поток через отверстие.
Данный отказ может быть рассмотрен как внезапный и зарождающийся. В первом случае величина отказа О1 измеряется в пределах {0…1}. О1 = 0 соответствует безотказному режиму работы, О1 = 1 – максимальной величине отверстия. Во втором случае величина отказа изменяется со скоростью αО1:
О1 = αО1∙t. (3.25)
2) отказ задвижки
Отказ моделируется как дополнительный поток через задвижку в соответствии с уравнением:
,
(3.26)
где Kfmax=1 м3/час – максимально возможный поток задвижку, ОУ2 = {0…1} - величина отказа.
Данный отказ так же может быть рассмотрен как внезапный и зарождающийся. При внезапном отказе величина О2 измеряется в пределах {0…1}. О2 = 0 соответствует безотказному режиму работы, О2 = 1 соответствует максимальному потоку через задвижку в закрытом положении. При зарождающемся отказе:
О2 = αО2∙t. (3.27)
3.3. Проектирование системы диагностики отказов
3.3.1. Описание системы с отказами
Для решения поставленной задачи первоначально необходимо спроектировать формирователь рассогласования и блок оценки рассогласований.
Для этого все полученные модели рассмотрим в совокупности и получим общее описание системы с отказами.
Рис. 3.3. Система и воздействующие на нее отказы
На вход исполнительного механизма поступает известный сигнал от контроллера u(t). Сигнал uR(t) - управляющее воздействие от исполнительного механизма, поступает на вход объекта управления. Выходной сигнал объекта управления yR(t) непосредственно не доступен и измеряется с помощью датчиков.
Таким образом для целей диагностики известными принимаются входные и выходные векторы системы:
u(t) – известный вход исполнительного механизма;
y(t) – измеряемый датчиками выход системы.
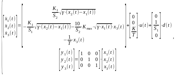
С учетом рассмотренных моделей элементов системы (см. (3.9) – объект управления, (3.11) – исполнительный механизм, (3.12), (3.13), (3.14) - датчики) получим следующее математическое описание системы в переменных состояния:
(3.28)
где
,
- входной вектор системы – сигнал управления, поступающий с контроллера на вход исполнительного механизма,
- выходной вектор системы,
- возмущающее воздействие.
В качестве возмущающего воздействия рассматривается поток жидкости поступающий в первый бак:
d(t)= Q1(t), м3/час. (3.29)
Вектор состояния системы описывается следующим образом:
, (3.30)
где h2(t) – уровень во втором баке, м;
h1(t) – уровень в первом баке, м;
х(t) – положение задвижки, м.
Как указывалось выше, в соответствии с выбранным методом формирования рассогласования необходимо использование линейной модели системы. Поэтому, выполним линеаризацию системы (3.26) в какой-либо рабочей точке.
Для разности уровней в баках h1-h2 = 0.16357,м с помощью программы Vissim 5.0, была получена следующая линейная модель:
(3.31)
где
,
,
,
.
Данная линейная модель, содержащая внешнее возмущение может быть использована при проектировании рассогласований на основе наблюдателей при неизвестном входе. При использовании наблюдателей состояния необходимо использовать описание системы в форме, не содержащей неизвестных составляющих. В этом случае будем полагать, что поток жидкости, поступающий в первый бак является известной величиной, входящей в вектор управления. Тогда линейная система будет иметь следующий вид:
(3.32)
где,
,
. Входной вектор системы содержит сигнал управления с контроллера – uk(t) и поток Q1(t):
















