Книга хз0561.1-из интернета (559875), страница 63
Текст из файла (страница 63)
Энергия волны в объеме d V равна ck=WgdK В диффузном поле эта энергия распределяется равномерно во все стороны пространства 4я. Следовстгельно, на телесный угол dQ = d5fcos6/r2 приходится часть энергии, равная d^ == w^cosOd V(\S/^nr1. В сферической системе координат с полярным углом 9 элементарный объем d^=" AinOdOdcpdr и полная энергия через площадку d*? найдется в результате следующего интегрирования:
Откуда следует, что поток энергии через единичную площадку
Ig=Wgc/4=Iв/4
Таким образом, поток энергии через единичную площадку в диффузном волновом поле в четыре раза меньше интенсивности Iв бегущих волн с той же объемной плотностью энергии. Для бегущей со скоростью с волны интенсивность I = cw, где w – усредненная объемная плотность энергии. При наличии диффузного поля понятие интенсивности теряет смысл.
Понятие диффузного поля часто используют при определении плотности потока энергии Iп в изолированных объемах. Под изолированным объемом понимается пространство, огражденное стенками (например, производственное помещение, кабина, пространство под кожухом машины и т. д.). Волны в изолированных объемах, многократно отражаясь, образуют поле, которое изменяется при изменении геометрических размеров, формы и других характеристик источника.
Волновое поле в каждой точке изолированного объема можно представить в виде совокупности волн, непосредственно приходящих в эту точку от источника, именуемую как прямая волна, и совокупности волн, попадающих в нее после отражений от границ изолированного объема – отраженная волна.
Плотность энергии Wп в любой точке изолированного объема будет складываться (рис. 6.38) из плотности энергии w прямой волны и плотности энергии Wg при диффузном поле отраженной волны: Wп = w + Wg. Умножив это уравнение на скорость с, получим
Iп=I+4Ig
Интенсивность прямой волны в общем случае определяется формулой (6.28). Выразим плотность потока энергии Ig через мощность источника. При работе источника в изолированный объем постоянно поступает энергия. При мощности источника W отраженный от границ полный поток энергии составит pW, а от единичной площадки pW/S. За единицу времени через единичную площадку границы вследствие поглощения исчезнет количество энергии, равное αIg. Так как в диффузном поле плотность энергии постоянная, то должно соблюдаться равенство рW/S=αIg. Для простоты дальнейших рассуждений здесь предполагается, что коэффициент а значительно больше коэффициента т. Уравнение (6.32) принимает вид
Рис. 6.38. Диффузное поле отраженной волны
Из полученного выражения видно, что в изолированном объеме плотность потока энергии получает некоторое приращение, которое аналитически обусловлено наличием множителя (1–α)/α, который велик при коэффициенте α близком к нулю.
Защитное устройство бесконечной толщины. Во многих случаях информацию можно получить, исследуя вместо реальной конструкции теоретическое защитное устройство бесконечной толщины, оно представляет собой просто среду, бесконечно простирающуюся в направлении распространения волны. Таким образом, волна из одной среды проходит в другую среду (защитное устройство), предварительно попадая на границу раздела этих сред. При падении на плоскую границу раздела двух разных сред плоская волна частично отражается, частично проходит в другую среду, оставаясь плоской, но меняя при этом свое направление распространения, т. е. преломляясь. Таким образом в общем случае существуют три волны: падающая, отраженная и преломленная (прошедшая).
При прохождении границы раздела сред без поглощения должен соблюдаться закон сохранения энергии: W- + W˜ = W+. Кроме того, на границе должны выполняться специфические для волн данной природы условия: например, для звуковых волн по обе стороны границы должны быть равны звуковые давления – принцип непрерывности звукового давления; для электромагнитных волн на границе раздела двух сред непрерывны тангенциальные составляющие электромагнитного поля. Условие непрерывности при нормальном падении волн можно записать в виде равенства на границе амплитуд поля в среде j и среде j:[um]j=[um]. Усредненный поток энергии можно выразить через интенсивность: W= IS, а интенсивность – через амплитуду и импеданс среды с помощью формулы (6.25). Тогда закону сохранения энергии можно придать виц (рис. 6.39)
W и т, U т, и т – амплитуда, соответственно, падающей, отраженной и прошедшей волн, a z k = Zk/Sk – импеданс на единицу площади (k = /, у).
В среде i существуют падающая и отраженная волна, которые на границе создают суммарную амплитуду [u,n]i == и^т + "w» в среде у существует только преломленная волна:
[Urn]} == иЩ. Условие непрерывности и закон сохранения энергии позволяют найти амплитудный коэффициент отражения Ry и амплитудный коэффициент передачи Тц при' падении волны на границу (/, j) из среды /:
При этом имеем Ту = 1 + 7?у, Ry = –Rj,. Так как значение коэффициента отражения лежит между –I и +1, то значение коэффициента передачи заключено в интервале от 0 до 2 и он всегда положителен. При равных площадях (S, = Sj) соотношения (6.34) примут такой же вид, который можно получить простой заменой ^ на ^, а при равных импсдансах сред to == ^) – заменой ^ на \/S„ (k = /, /). Амплитудные коэффициенты отражения и передачи при нормальном падении волн связаны с соответствующими энергетическими коэффициентами соотношениями:
Защитное устройство конечной толщины. В общем случае защитное устройство имеет конечную толщину. При этом волна, падая на защитное устройство, частично отражается, а частично может проходить сквозь него. Отражательную способность защитного устройства характеризуют коэффициентом отражения энергетическим и амплитудным. Прозрачные свойства защитою устройства характеризуют соответствующими коэффициентами передачи. Амплитудные коэффициенты отражения и передачи па границах разных сред будем обозначать соответственно через Ry и t{j. Эти величины определены соотношениями (6.34). Амплитудные коэффициенты отражения и передачи защитного устройства будем обозначать соответственно через R и Г, при этом в комплексной форме
где U+т и Uт- –соответственно амплитуда падающей и отраженной волны на входе в защитное устройство; Uт –амплитуда волны на выходе из защитною устройства.
Рассмотрим случай, когда гармоническая волна падает из среды 1 (рис. 6.40) на защитное устройство произвольной толщины h, состоящее из среды 2, ограниченной с другой стороны средой з, при этом S1 = S2 = S3. Примем, что импедансы сред соответственно равны Z1, Z2, Z3 волновое поле в среде 2 на длине h затухает по экспоненциальному закону е, где h – коэффициент распространения. При неравных импедансах сред часть энергии на границе (7, 2) отражается обратно в среду 7 в соответствии с формулой (6.34). Амплитуда падающей волны равна и+^п- Обозначив амплитуду отраженной волны через U, имеем: U= Rum.
Другая часть энергии пройдет в среду 2 и, изменившись пропорционально коэффициенту передачи Гц на границе (7, 2), претерпит в среде 2 затухание по закону е2 , так что амплитуда волны в среде 2, которую обозначим через U, определится выражением й\ = Т^е^й+т- Эта волна на границе (2, 3) частично отразится и создаст в среде 2 отраженную волну, амплитуда которой с учетом затухания станет равной й^ == ^R^T^e'2^ и частично пройдет в среду J. Амплитуда прошедшей волны будет равна ид = ^^ТчзТ^ hu-^m. Волна с амплитудой йч, частично пройдет в среду 7: и^ =Г2l7l27г23^-2u^4m, а частично отразится от границы (7, 2^ и снова будет распространяться в среде 2 в виде волны с амплитудой us = rzi ТЬ^зе"3^-* /и. Процесс отражения и прохождения волн на границе сред (1, 2 и 2, 3) будет продолжаться до полного затухания волн
Рис. 6.39. Баланс энергии на границе раздела сред
Рис. 6.40. Схема защитного устройства конечной толщины
Суммируя все волны, из которых в среде 7 формируется общая отраженная волна, можно получить для амплитуды этой волны следующее выражение
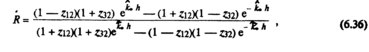
Пользуясь формулой бесконечной геометрической прогрессии, найдем амплитудный коэффициент отражения защитного устройства
В среде 3 суперпозиция распространяющихся волн создаст волну, прошедшую сквозь защитное устройство. Амплитуда этой волны на выходе из защитного устройства
Просуммировав, получим согласно формуле (6.35) амплитудный коэффициент прозрачности защитного устройства конечной толщины:
С помощью формул (6.34) преобразуем коэффициенты R и Г к виду:
где zi2 = а/О и 02 = o/q. Полученные соотношения носят общий характер и их можно применять при решении задач защиты как от звуковых, так и от электромагнитных полей,
Если по обе стороны от защитного устройства находится одна и та же среда, то импедансы ^и ^ равны. Тоща формулы (6.36) и (6.37) преобразуются к виду:















