Теория вероятности (543705), страница 7
Текст из файла (страница 7)
11.Предположим, что в течение года цена на акции некоторой компании есть случайная величина, распределенная по случайному закону с математическим ожиданием, равным 48руб., и отклонением, равным 6. Определите вероятность того, что в случайно выбранный день цена за акцию была: а) более 60руб.; б) ниже 60руб.; выше 40руб.; г) между 40 и 50руб.
12.Для поступления в некоторый университет необходимо сдать вступительные экзамены. В среднем их выдерживают лишь 25% абитуриентов. В приемную комиссю поступило 1 889 заявлений. Чему равна вероятность того, что хотя бы 500 поступающих сдадут все экзамены (наберут проходной балл)?
13.Вес товаров, помещаемых в контейнер определенного размера, - нормально распределенная случайная величина. Известно, что 65% контейнеров с товаром имеют чистый вес больше, чем 4,9т. и 25% - имеют вес меньше, чем 4,2т. Найдите ожидаемый средний вес и среднее квадратическое отклонение чистого веса контейнера.
14.Компьютерная система содержит 45 одинаковых микроэлементов. Вероятность того, что любой микроэлемент будет работать в заданное время, равна 0,80. Для выполнения некоторой операции требуется, чтобы по крайней мере 30 микроэлементов находились в рабочем состоянии. Чему равна вероятность того, что операция будет выполнена успешно?
Показательное распределение
Непрерывная случайная величина X имеет показательный (экспоненциальный) закон распределения, если функция ее плотности вероятности имеет вид:
График функции y = f(x) имеет вид рис.6:
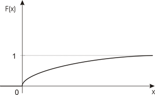
Функция распределения показательной случайной величины Х имеет вид:
Для показательной случайной величины Х:
Вероятность попадания в интервал [a;b]: P(a <X < b) = e-λa - e-λb
рис.6 рис.7
Задачи
1.Случайная величина Х распределена по показательному закону плотностью вероятности
1.Написать плотность вероятности f(x), функцию распределения F(x). Найти математическое ожидание М(х), дисперсию D(x) си среднее квадратическое отклонение (х), если:
-
= 1; 1.2 = 2; 1.3 = 4; 1.4 = 4; 1.5 = 5; 1.6 = 8; 1.7 = 10; 1.8 = 0,5;
1.9 = 0,25; 1.10 = 0,1; 1.11 = 0,125; 1.12 = 0,525; 1.13 = 0,8.
2. Время безотказной работы электронной схемы распределено по закону p(x) = 0,03e-0,03x, где х означает время в часах. Найти вероятность того, что микросхема проработает безотказно не меньше 100 часов.
3. 98% топливных насосов дизельных тракторов выходит из строя после 3000 моточасов. Какова вероятность того, что насос выйдет из строя в интервале времени от 2000 до 2500 моточасов?
23
















