Modelirovanie_otvety_na_ekzamen (538755), страница 5
Текст из файла (страница 5)
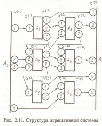
Описание агригата:
A=<T,X,Y,Z,Z0,Z4,H,V,U,W,G>.
-
Что собой представляет дисперсия адитивности?
-
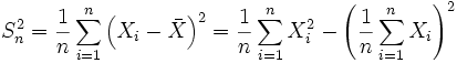
Как определяется выборочная дисперсия?
Выборочная дисперсия - это случайная величина
,
-
Что собой представляет дисперсия воспроизводимости?
Дисперсия воспроизводимости
определяется из параллельных опытов, когда их число различно в каждой экспериментальной точке и равно
:
Где
-
Как изображается в виде таблицы автомат Мили?
-
Как изображается в виде таблицы автомат Мура?
-
Как изображается в матричной форме автомат Мили?
Для автомата Мили матричная форма состоит из матрицы
размерностью
, где каждый элемент матрицы
, стоящий на пересечении
-ой строки и
-го столбца соответствует входному сигналу
, вызывающему переход из состояния
в состояние
с выработкой выходного сигнала
. Пример матричного описания автомата Мили показан ниже.
-
Как изображается в матричной форме автомат Мура?
Для автомата Мура матричная форма состоит из матрицы
размерностью
, где каждый элемент матрицы
, стоящий на пересечении
-ой строки и
-го столбца, соответствует входному сигналу
, вызывающему переход из состояния
в состояние
. Так как выходной сигнал
. в автомате Мура зависит только от состояния, следовательно, выходные сигналы могут быть представлены матрицей-столбцом. Пример матричного описания автомата Мура показан на формуле, приведенной выше.
-
Как определяется коэффициент множественной корреляции?
-
Что собой представляет дисперсия коэффициента множественной корреляции?
Обычно, степень зависимости двух или более предикторов (независимых переменных или переменных X) с зависимой переменной (Y) выражается с помощью коэффициента множественной корреляции R. По определению он равен корню квадратному из коэффициента детерминации. Это неотрицательная величина, принимающая значения между 0 и 1. Для интерпретации направления связи между переменными смотрят на знаки (плюс или минус) регрессионных коэффициентов или B-коэффициентов. Если B-коэффициент положителен, то связь этой переменной с зависимой переменной положительна (например, чем больше IQ, тем выше средний показатель успеваемости оценки); если B-коэффициент отрицателен, то и связь носит отрицательный характер (например, чем меньше число учащихся в классе, тем выше средние оценки по тестам). Конечно, если B-коэффициент равен 0, связь между переменными отсутствует.















