Modelirovanie_otvety_na_ekzamen (538755), страница 3
Текст из файла (страница 3)
График синусоиды и графики сумм нескольких первых членов ряда Тейлора приведены на рис. 1.
Рис. 1. График синусоидального сигнала и графики его усеченных разложений в ряд Тейлора в начале координат. Чем больше слагаемых в усеченном ряде, тем дольше аппроксимация совпадает с исходной синусоидой. Синусоида, будучи гладкой функцией, в окрестности начала координат знает о своем поведении как угодно далеко вперед, а ряд Тейлора может на основании информации о синусоиде только из окрестности начала координат спрогнозировать поведение синусоиды как угодно далеко вперед
Как видно на рис. 1, добавление слагаемого в усеченный ряд приводит к тому, что аппроксимация дольше совпадает с исходным сигналом – синусоидой. Каждый член ряда обеспечивает, вместе с младшими слагаемыми, совпадение аппроксимации на некотором интервале, тем дальше отстоящем от момента определения производных, чем больше его номер, равный степени производной, определяющей его коэффициент.
-
Как определяется коэффициент выборочной корреляции?
Выборочный коэффициент корреляции находится по формуле
где
- выборочные средние квадратические отклонения величин
и
.
Выборочный коэффициент корреляции
показывает тесноту линейной связи между
и
: чем ближе
к единице, тем сильнее линейная связь между
и
.
Пример. Среднемесячная заработная плата (тыс. руб.) в Ярославской области в 2001-2002 годах составила по отраслям:
| отрасль | ЖКХ | здравоохранение | наука | образование | транспорт | промышленность |
| 2001 год | 2 | 1,5 | 2,7 | 1,3 | 3,2 | 3,2 |
| 2002 год | 3 | 2,8 | 3,6 | 2,4 | 4,9 | 4,5 |
Найдите выборочный коэффициент корреляции для заработной платы в указанные годы.
Решение. 1). Найдем выборочные средние
2). Вычислим выборочную ковариацию
3). Найдем выборочные средние квадратические отклонения:
4). Вычислим теперь выборочный коэффициент корреляции
Поскольку
достаточно близко к
, то между заработной платой по отраслям в 2001 и 2002 годах существовала почти линейная зависимость (зарплата в 2002 году по каждой отрасли увеличилась примерно в 1,5 раза).
-
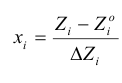
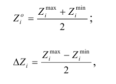
Как осуществляется нормировка данных при планировании эксперимента?
Если имеет место линейная зависимость, то достаточно задаться 2 точками. 3 точка необходима для проверки наличия кривизны зависимости. Для удобства расчетов необходимо осуществить нормировку исходной информации или нормировку факторов. Для этого определяются коодинаты центра плана и величина шага варьирования:
Нормированное значение:
-
Как изображается в виде графа автомат Мили?
Автомат Мили в виде графа изображается следующим образом:
-
Что собой представляет информационная матрица?
Матрица переходов используется для описания функционирования переходной системы
(Автомат конечный). Она представляет собой
элементами к-рой являются подмножества алфавита А(может быть, пустые) такие,
что
тогда и только тогда, когда
и, следовательно, для всякого
имеет место
Чтобы распространить функцию
на множество
(.
- множество всех слов в алфавите А, включая пустое слово), рассматривают последовательность степеней матрицы Р. Умножение матрицы Рна себя производится по обычному алгоритму с использованием вместо операций умножения и сложения операций произведения (к о н-катенации) и объединения множеств слов. Если
- слово длины
- элемент матрицы
Так, матрица переходов Рпереходной системы
и матрица
имеют, соответственно, вид:
-
Как определяется центр плана и шаг варьирования?
Уровни факторов представляют собой границы исследуемой области
по данному технологическому параметру. Верхний и нижний уровни, как
правило, устанавливают экспериментально предварительными опытами.
Исходя из значений этих параметров, определяют центр плана и шаг
варьирования по формулам
где
- значение исследуемого параметра в центре плана, на
верхнем и нижнем уровнях, соответственно
- шаг варьирования.
При поведении экспериментов пользоваться натуральной системой
координат не всегда удобно, поэтому в планах используют безразмерную
систему координат, переход к которой осуществляют по формуле
где i – 1, 2, 3…k.
В безразмерной системе координат верхний уровень равен +1, нижний
уровень –1, координаты центра плана равны нулю и совпадают с началом
координат осей.
-
Как изображается в виде графа автомат Мура?
Автомат Мура в виде графа изображается следующим образом:
Слева изображен синхронный автомат Мура; справа – асинхронный (используется чаще).
-
Что собой представляет функционал, лежащий в основе метода наименьших квадратов?
Метод наименьших квадратов — один из методов регрессионного анализа для оценки неизвестных величин по результатам измерений, содержащих случайные ошибки.
Метод наименьших квадратов применяется также для приближённого представления заданной функции другими (более простыми) функциями и часто оказывается полезным при обработке наблюдений.
Когда искомая величина может быть измерена непосредственно, как, например, длина отрезка или угол, то, для увеличения точности, измерение производится много раз, и за окончательный результат берут арифметическое среднее из всех отдельных измерений. Это правило арифметической середины основывается на соображениях теории вероятностей; легко показать, что сумма квадратов уклонений отдельных измерений от арифметической середины будет меньше, чем сумма квадратов уклонений отдельных измерений от какой бы то ни было другой величины. Само правило арифметической середины представляет, следовательно, простейший случай метода наименьших квадратов.
Метод наименьших квадратов — метод нахождения оптимальных параметров линейной регрессии, таких, что сумма квадратов ошибок (регрессионных остатков) минимальна. Метод заключается в минимизации евклидова расстояния
между двумя векторами — вектором восстановленных значений зависимой переменной и вектором фактических значений зависимой переменной.
Евклидово расстояние является геометрическим расстоянием в многомерном пространстве и вычисляется следующим образом:
расстояние(x,y) = {i (xi - yi )2}1/2.
-
Свойства матрицы планирования.
Свойства ядра матрицы планирования:
1) Сумма элементов столбца должна быть равна «0»:
,
.
2) Сумма квадратов элементов любого столбца равна объему выборки N:
,
.
3) Сумма произведений элементов любых двух столбцов равна «0»:
,
, если j=L, то смотри свойство «2».
Третье свойство называется свойством ортогональности. Сие свойства называется потому, что оно определяет коэффициент выборочной корреляции между двумя различными факторами, как равное «0», то есть в таком эксперименте факторы будут полностью независимы друг от друга.
-
Как изображается в виде графа вероятностный автомат?
Вероятностный автомат в виде графа изображается следующим образом:
Основные соотношения. В общем виде вероятностный автомат (Р-автомат) можно определить как дискретный по-тактный преобразователь информации с памятью, функционирование которого в каждом такте зависит только от состояния памяти в нем и может быть описано статистически.
-
Что собой представляет критерий Стьюдента?
t-критерий Стьюдента — общее название для статистических тестов, в которых статистика критерия имеет распределение Стьюдента. Наиболее часто t-критерии применяются для проверки равенства средних значений в двух выборках.
Определение означает оптимизацию структуры модели и оценку значимости каждого коэффициента по специальным критериям.
Критерий Стьюдента.















