shpora (522792)
Текст из файла
Физические основы механики
Лекция 1. Предмет физики. Физический объект, физическое явление, физический закон. Методы физических исследований. Физика и современное естествознание. Системы единиц физических величин. Механическое движение, система отсчета. Кинематика материальной точки и абсолютно твердого тела: кинематические уравнения движения; траектория; путь и перемещение; мгновенные скорость и ускорение при прямолинейном и криволинейном движении; центр кривизны; угловая скорость, нормальное и тангенциальное ускорения при вращательном движении. Силы. Масса. Импульс материальной точки и механической системы. Динамика поступательного движения в инерциальных системах отсчета.
Предмет физики. Физический объект, физическое явление, физический закон. Методы физических исследований.
Физика — это наука о природе в самом общем смысле. Она изучает вещество и энергию, а также фундаментальные взаимодействия природы, управляющие движением материи.
Физический объект – это любой предмет подлежащий рассмотрению в физике.
Физические явление - различные изменения, происходящие с физическими телами.
Физический закон - отражение связи или зависимости между некоторыми физическими величинами.
Методы физических исследований:
Экспериментальный метод: обнаружение ранее неизвестных явлений, подтверждение или опровержение физических теорий.
Теоретический метод: формулирование общих законов природы и объяснение на основе этих законов различных явлений, предсказание явлений.
Физика и современное естествознание. Системы единиц физических величин.
Физика — это наука о природе в самом общем смысле. Она изучает вещество (материю) и энергию, а также фундаментальные взаимодействия природы, управляющие движением материи.
Физику иногда называют «фундаментальной наукой», поскольку другие естественные науки описывают только некоторый класс материальных систем, подчиняющихся законам физики.
Единицы измерения используются для представления результатов измерений. Различают базовые единицы измерения, которые определяются с помощью эталонов, и производные единицы, определяемые с помощью базовых. Единица ф.в. - это отношение измеренного значения к некоторому стандартному значению, Число с указанием единицы измерения называется именованным.
1) Механическое движение, система счета. Кинематика материальной точки и абсолютно твердого тела: кинематическое уравнение движения, траектория, путь и перемещение.
Механическим движением тела - изменение его положения в пространстве относительно других тел с течением времени.
Система отсчёта — это совокупность тела отсчёта, системы координат и системы отсчёта времени, связанных с этим телом, по отношению к которому изучается движение каких-либо других материальных точек.
Предмет кинематики: описание механических движений тела без рассмотрения причин изменения вида движения.
2) Кинематическое уравнение движения: вид функциональной зависимости всех трех ее координат от времени:
;вид зависимости от времени радиус-вектора этой точки:
Траектория - линия, вдоль которой движется материальная точка;
Перемещением тела - вектор, проведенный из начального положения тела в его конечное положение.
- приращение радиуса-вектора точки за рассматриваемый промежуток времени.
Путь - расстояние, пройденное точкой по е. траектории;
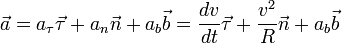
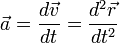
3) Кинематика материальной точки и абсолютно твердого тела: мгновенная скорость и ускорение при прямолинейном и криволинейном движении.
Предмет кинематики: описание механических движений тела без рассмотрения причин изменения вида движения.
Мгновенная скорость - величина, равная пределу средней векторной скорости при уменьшении промежутка времени
Ускорение точки при прямолинейном движении
Ускорение точки при движении по кривой
где v — величина скорости, R — радиус кривизны траектории.
— единичный касательный к траектории вектор, направленный вдоль скорости (касательный орт),
— орт нормали к траектории,
— орт бинормали к траектории,
4) Кинематика материальной точки и абсолютно твердого тела: центр кривизны; угловая скорость, нормальное и тангенциальное ускорение при вращательном движении.
Центр соприкасающейся окружности называют центром кривизны.
Ускорение точки при движении по окружности
Тангенциальное ускорение - направлено по касательной к траектории, характеризует изменение скорости по модулю.
Центростремительное ускорение - возникает при движении точки по окружности
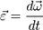
Угловое ускорение
— показывает, насколько изменилась угловая скорость за единицу времени.
Угловая скорость тела равна отношению угла поворота к промежутку времени.
5) Силы, масс.
Под массой понимают два различных свойства физического объекта:
- Гравитационная масса показывает, с какой силой тело взаимодействует с внешними гравитационными полями.
- Инертная масса, которая характеризует меру инертности тел.
Сила – векторная физическая величина, являющаяся мерой взаимодействия тел.
Существует 4 основных типа взаимодействия: гравитационное, электромагнитное, сильное, слабое.
Сила характеризуется:
1. Величиной (модулем);
2. Направлением;
3. Точкой приложения.
Второй закон Ньютона гласит, что в инерциальных системах отсчета скорость изменения импульса материальной точки равна приложенной силе.
Единицы измерения силы -Ньютон
6) Импульс материальной точки и механической системы.
Импульс — векторная физическая величина, характеризующая меру механического движения тела.
направление импульса совпадает с направлением вектора скорости:
Импульс механической системы равен векторной сумме импульсов всех частей системы.
7) Динамика поступательного движения в инерциальных системах отсчета
Динамика основана на 3-х законах ньютона и закона сохранения импульса.
1-й: Существуют такие системы отсчета, относительно которых поступательно движущееся тело сохраняет свою скорость постоянной, если на него не действуют другие тела или их действие скомпенсировано.
2-й: В инерциальной системе отсчета сумма всех сил, действующих на тело, равна произведению массы этого тела на векторное ускорение этого же тела (действие на тело силы, проявляется в сообщении ему ускорения).
3-й: Тела действуют друг на друга силами равными по модулю и противоположными по направлению
Закон сохранения импульса утверждает, что сумма импульсов всех тел (или частиц) замкнутой системы есть величина постоянная.
Лекция 2. Закон изменения импульса механической системы. Закон сохранения импульса и однородность пространства. Момент силы относительно неподвижной точки и оси. Момент инерции относительно неподвижной оси, момент импульса материальной точки и механической системы относительно неподвижной точки и оси. Уравнение моментов: закон изменения момента импульса механической системы. Закон сохранения момента импульса механической системы и его связь с изотропностью пространства.
Закон изменения импульса механической системы.
Закон сохранения импульса утверждает, что сумма импульсов всех тел (или частиц) замкнутой системы есть величина постоянная.
Закон сохранения импульса тела: импульс тела сохраняется, если импульс равнодействующей всех сил, действующих на это тело, равен нулю. Это возможно в случаях, когда
-на тело не действуют силы вообще или
-равнодействующая всех сил, действующих на тело, равна нулю, или
-промежуток времени , в течение которого мы наблюдаем за состоянием тела, очень мал (стремится к нулю ), а равнодействующая всех сил, действующих на тело, ограничена по модулю (не бесконечно большая).
Закон сохранения импульса и однородность пространства
В основе закона сохранения импульса лежит однородность пространства, т. е. одинаковость свойств пространства во всех точках (симметрия по отношению к сдвигу начала координат). Одинаковость следует понимать в том смысле, что параллельный перенос замкнутой системы из одного места пространства в другое, без изменения взаимного расположения и скоростей частиц, не изменяет механические свойства системы.
1) Момент силы относительно неподвижной точки и оси.
Моментом силы относительно неподвижной оси Z называется скалярная величина Mz , равная проекции на эту ось вектора М момента силы, определенного относительно произвольной точки О данной оси z.
Если ось z совпадает с направлением вектора М, то момент силы представляется в виде вектора, совпадающего с осью:
Моментом силы F относительно неподвижной точки О называется физическая величина, определяемая векторным произведением радиуса-вектора r, проведенного из точки О в точку А приложения силы, на силу F
2) Момент инерции материальной точки и механической системы относительно неподвижной оси.
Произведение массы материальной точки тела на квадрат ее расстояния до оси вращения называется моментом инерции материальной точки относительно оси вращения.
Моментом инерции механической системы относительно неподвижной оси («осевой момент инерции») называется физическая величина Ja, равная сумме произведений масс всех n материальных точек системы на квадраты их расстояний до оси:
где mi — масса i-й точки, ri — расстояние от i-й точки до оси.
3) Момент импульса материальной точки и механической системы относительно неподвижной точки и оси.
Момент импульса частицы относительно некоторого начала отсчёта определяется векторным произведением ее радиус-вектора и импульса:
где — r - радиус-вектор частицы относительно выбранного неподвижного в данной системе отсчета начала отсчёта, — p - импульс частицы.
4) Уравнение моментов импульса: Закон изменения момента импульса механической системы.
Характеристики
Тип файла документ
Документы такого типа открываются такими программами, как Microsoft Office Word на компьютерах Windows, Apple Pages на компьютерах Mac, Open Office - бесплатная альтернатива на различных платформах, в том числе Linux. Наиболее простым и современным решением будут Google документы, так как открываются онлайн без скачивания прямо в браузере на любой платформе. Существуют российские качественные аналоги, например от Яндекса.
Будьте внимательны на мобильных устройствах, так как там используются упрощённый функционал даже в официальном приложении от Microsoft, поэтому для просмотра скачивайте PDF-версию. А если нужно редактировать файл, то используйте оригинальный файл.
Файлы такого типа обычно разбиты на страницы, а текст может быть форматированным (жирный, курсив, выбор шрифта, таблицы и т.п.), а также в него можно добавлять изображения. Формат идеально подходит для рефератов, докладов и РПЗ курсовых проектов, которые необходимо распечатать. Кстати перед печатью также сохраняйте файл в PDF, так как принтер может начудить со шрифтами.
















