shpora (522792), страница 5
Текст из файла (страница 5)
3) Логарифмический декремент затухающих колебаний. Добротность колебательной системы.
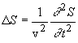
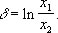
Декремент затухающих кол. d равен натуральному логарифму отношения двух последующих максимальных отклонений х колеблющейся величины в одну и ту же сторону:
Декремент затухающих кол. характеризует число периодов, в течение которых происходит затухание колебаний, а не время такого затухания. Полное время затухания определяется отношением Т/d.
Добротность колебательной системы, отношение энергии, запасённой в колебательной системе, к энергии, теряемой системой за один период колебания. Добротность характеризует качество колебательной системы, т.к. чем больше Д. к. с., тем меньше потери энергии в системе за одно колебание. Д. к. с. Q связана с логарифмическим декрементом затухания d; при малых декрементах затухания Q " p/d.
где масса m, жёсткость k и коэффициент трения b
4) Механический резонанс.
Механическим резонансом называется резкое возрастание амплитуды колебаний тела при совпадении частоты внешнего воздействия с частотой собственных колебаний этого тела.
(x,y,z,t) каждого события при переходе от одной инерциальной системы отсчета к другой.
Прямые преобразования Лоренца
Обратные преобразования Лоренца
Следствия из лоренца.
Относительность одновременности.
разобщенными, оказываются и неодновременными.
5) Длительность событий в разных системах отсчета.
длительность события, происходящего в некоторой точке, наименьшая в той инерциальной системе отсчета, относительно которой эта точка неподвижна. Следовательно, часы, движущиеся относительно инерциальной системы отсчета, идут медленнее покоящихся часов
Лекция 8. Релятивистский закон сложения скоростей. Интервал между двумя событиями. Элементы релятивистской динамики. Основное уравнение релятивистской динамики. Кинетическая энергия релятивистской частицы. Взаимосвязь массы и энергии. Связь между импульсом и энергией релятивистской частицы.
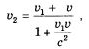
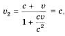
1) Релятивистический закон сложения скоростей, направленных вдоль одной прямой
Где
-скорость тела в первой системе отсчета,
- скорость того же тела во второй системе отсчета,
u – скорость движения первой системы относительно второй.
При
получаем
, те закон сложения в классической механике.
Если
получаем
, что соответствует второму постулату теории относительности.
2) Интервал s′12 или пространственно - временной интервал между двумя событиями, измеренный в подвижной K′(x ′,y′,z′,t′) ИСО есть величина: s′12 = [с2(t′12)2 - (l′12)2]1/2, где t′12 = t′2 - t′1 - промежуток времени между рассматриваемыми событиями по часам в подвижной K′(x ′,y′,z′,t′) ИСО, а l′12 = [(x′2 - x′1)2 + (y′2 - y′1)2 + (z′2 - z ′1)2]1/2- расстояние между двумя точками, в которых совершаются события 1 и 2, измеренное также в подвижной K′(x ′,y′,z′,t′) ИСО. Из частных преобразований Лоренца следует, что интервал s′12 = s12 между событиями 1 и 2 инвариантен по отношению к выбору ИСО, т.е. не изменяется при переходе от подвижной K′(x ′,y′,z′,t′) инерциальной системы к неподвижной K(x,y,z,t) инерциальной системы отсчета: s′12 = s12, где s12 = [с2t122 - l122]1/2 - пространственно - временной интервал в неподвижной K(x,y,z,t) ИСО. Если s12 - действительное число, то интервал называется времени -подобным интервалом. Если s12 - мнимое число, то интервал называется пространственно-подобным интервалом.
3) Элементы релятивистской динамики. Основное уравнение релятивистской динамики.
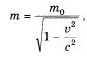
Зависимость массы от скорости
Лекция 6. Виды механических волн. Основы акустики. Элементы физиологической акустики. Уравнение плоской бегущей синусоидальной и сферической волн. Звуковые волны в газах. Скорость распространения звука. Волновое уравнение распространения акустических волн в линейной однородной изотропной непоглощающей упругой среде. Волновое уравнение распространения упругих волн в стержнях. Давление звука, объемная плотность энергии, вектор плотности потока энергии, интенсивность звуковой волны. Когерентные волны. Интерференция волн. Акустическая стоячая волна для случая нормального падения плоской акустической волны на плоскую границу более плотной упругой среды
1) Виды механических волн. Основы акустики. Элементы физиологической акустики.
Вид мех. волн делятся на:
- поперечные, когда частицы среды колеблются перпендикулярно (поперек) лучу волны
Акустика — раздел физики, изучающий звуковые волны, или наука о звуке, изучающая физическую природу звука и проблемы, связанные с его возникновением, распространением, восприятием и воздействием.
диапазон частот, которые способно воспринять человеческое ухо. Нижняя граница слышимых звуков – около 16 Гц, а верхняя – 18…22 кГц.
2) Уравнение плоской бегущей синусоидальной и сферической волн.
Уравнение плоской одномерной синусоидальной волны: y = Asin (wt — kx + φ0)
Уравнение сферической волны отличается тем, что амплитуда волны убывает с расстоянием от источника:
где A0 = const - амплитуда волны на единичном расстоянии от источника.
3) Звуковые волны в газах.
Звуковые волны в газе называют волнами плотности или волнами давления.
В простых гармонических звуковых волнах, распространяющихся вдоль оси OX, изменение давления p (x, t) зависит от координаты x и времени t по закону p (x, t) = p0 cos (ωt ± kx).
Два знака в аргументе косинуса соответствуют двум направлениям распространения волны. Соотношения между круговой частотой - ω, волновым числом - k, длиной волны - λ, скоростью звука - υ.
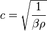
4) Скорость распространения звука.
Скорость распространения звука - это скорость распространения упругих волн в среде, и зависит от упругости и плотности среды.
где β — адиабатическая сжимаемость среды; ρ — плотность.
5) волновое уравнение распространения акустических волн в линейной однородной изотропной непоглощающей упругой среде.
дифференциальным уравнением в частных производных.
, где
- оператор Лапласа, v - фазовая скорость.
6) Давление звука, объемная плотность энергизвуковой волны.
Импульс движущего тела
4) Основной закон релятивистской динамики материальной точки записывается так же, как и второй закон Ньютона:
5) Кинетическая энергия релятивистской частицы.
Кинетическая энергия свободного тела представляет собой разность между полной энергией тела и энергией покоя:
при малых скоростях получаем известную формулу
6) Взаимосвязь массы и энергии.
Полную энергию свободного тела можно определить как произведение его релятивистской массы на квадрат скорости света в вакууме:
7) Между полной энергией, энергией покоя и импульсом существует следующая связь:
Если изменяется энергия системы, то изменяется и ее масса:
. Всякое изменение любой энергии на
сопровождается пропорциональным изменением массы на m.
















