ПЗ (1230311), страница 5
Текст из файла (страница 5)
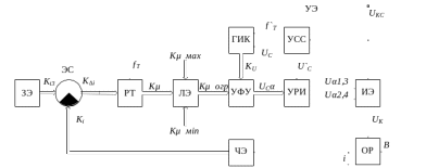
Управляющий элемент можно подразделить на ряд более простых элементов. Принцип построения такого элемента для контура стабилизации тока тягового двигателя однофазно-постоянного тока показан на функциональной схеме (рисунок 2.7).
Рисунок 2.7 – Функциональная схема управляющего элемента
В соответствии с этой схемой, цифровой регулятор тока (РТ) реализует заданный закон регулирования
и на основе двоичного кода
рассогласования заданного и реального тока якоря формирует двоичный код
управляющего воздействия. По условиям работы исполнительного элемента (ИЭ) – тиристорного преобразователя – величина управляющего воздействия должна находиться в зоне допустимых значений, то есть должно выполняться условие
(2.1)
Эту функцию реализует логический элемент (ЛЭ), выходной цифровой сигнал
который ограничен по максимальному
и минимальному
значениям [10].
Назначением узла фазового управления (УФУ) является преобразование двоичного кода
в фазовый сдвиг управляющего импульса
на угол
. Для этого используется генератор изменяющегося кода (ГИК). Синхронизация изменяющегося кода
и управляющих импульсов
с напряжением контактной сети
осуществляется узлом синхронизации с сетью (УСС) посредством коротких импульсов синхронизации
, частота следования которых соответствует удвоенной частоте напряжения контактной сети. Помимо этих импульсов УСС генерирует также тактовые импульсы
и
, обеспечивающие синхронную работу цифровых элементов УЭ. При этом импульсы
синхронизированы сетью и за полупериод питающего напряжения генерируется 16 тактовых импульсов [10].
Выполнение алгоритма управления ИЭ обеспечивается узлом распределения импульсов (УРИ) по плечам тиристорного преобразователя. Например, при использовании однофазного мостового преобразователя импульс
передается в первый и третий каналы в положительный полупериод напряжения
, а во второй и четвертый каналы – в отрицательный полупериод. Распределение импульсов по каналам обеспечивается импульсной последовательностью
с частотой напряжения сети.
Рассмотрим варианты технической реализации и особенности работы элемента сравнения и управляющего элемента при выполнении их на базе цифровых интегральных микросхем. Элемент сравнения ЭС выполняет функцию вычисления рассогласования между заданным значением тока якоря, поступающим от задающего элемента ЗЭ в виде двоичного кода
, и текущем значением тока якоря, поступающим в виде кода
с выхода чувствительного элемента ЧЭ. Принципиальная схема ЭС представлена на рисунке 2.8.
Р
исунок 2.8 – Принципиальная схема элемента сравнения
В основе работы элемента сравнения лежит операция суммирования прямого двоичного кода заданного тока якоря с дополнительным кодом его текущего значения, что равносильно выполнению операции вычитания
. (2.2)
Дополнительным кодом к исходному (прямому) коду является код, дополняющий n-разрядное число до числа с кодом, содержащим во всех n разделах нули, а в n+1 разряде – единицу. Для двоичной формы представления чисел справедливо следующее правило перехода от прямого двоичного кода к дополнительному: сначала производится инверсия всех разрядов кода, затем к полученному инверсному коду прибавляется единица младшего разряда. При необходимости возврата к прямому коду эти операции следует повторить, то есть выполнить обратное преобразование. Например, инверсным кодом двоичного числа 1010 является код 0101, дополнительным кодом – 0110. Таким образом, если производится вычитание двоичного кода числа
из двоичного кода числа
, то справедливо следующее выражение:
(2.3)
Техническая реализация выражения (2.2) выполнена с помощью четырехразрядного сумматора D1 (рисунок 2.8) на интегральной микросхеме К155ИМ3 (зарубежный аналог 7483N). Дополнительная единица младшего разряда подается на вход
в виде напряжения единичного уровня, то есть величиной более 2,4 В. Следует иметь в виду, что на выходах
сумматора D1 результат сравнения получается в прямом коде, если
и в дополнительном коде при
. Сигнал на выходе
сумматора D1 равен единице при положительной разности
и нулю при отрицательной. Сумматор D2 с цепями коммутации на элементах ИСКЛЮЧАЮЩЕЕ-ИЛИ (микросхема D3) предназначен для преобразования дополнительного кода при отрицательной разности
в прямой код. Действительно, при положительном знаке разности
сигнал
равен единице, сигнал
на выходе инвертора Д4.5 равен нулю. В этом случае сигналы
с выходов сумматора D1 проходят без изменения через элементы Д3 и сумматор D2 на выходы
. При отрицательном знаке разности
единичный сигнал
поступает на входы элементов Д3, что приводит к инверсии сигналов
сумматора D1 на выходах элементов Д3. Этот же сигнал
обеспечивает прибавление единицы по входу переноса
сумматора D2 к инверсному коду разности
. Таким образом, в случае отрицательного знака разности
элементы Д3 и сумматор D2 осуществляют обратное преобразование дополнительного кода разности
. Этим обеспечивается получение
на выходах элемента сравнения, при положительном знаке разности
единица присутствует на выходе
, при отрицательном – на выходе
[10].
Регулятор тока формирует управляющее воздействие в соответствии с заданным законом. Пример технической реализации двухпозиционного регулятора представлен на рисунке 2.9.
Рисунок 2.9 – Принципиальная схема двухпозиционного регулятора
Регулятор выполнен на элементах И-НЕ D1, D2, D3. В соответствии с характеристикой регулятора тока на его выходе формируется управляющее воздействие
при
и
при
. Поскольку значения
и
всегда могут быть выбраны из области допустимых значений и для этих значений заведомо выполняется условие (2.1), применение логического элемента при использовании двухпозиционного регулятора тока не требуется. Работа двухпозиционного регулятора тока основана на использовании сигналов
и
знака рассогласования
. Получение на выходе регулятора тока одного из сигналов
или
реализовано на основе операции логического умножения элементом D3 инверсных сигналов в соответствии с законом отрицания:
. (2.4)
Действительно,
, то есть на выходе двухпозиционного регулятора тока оказывается один из кодов
или
в зависимости от значения сигнала
.
Пример технической реализации регулятора постоянной скорости (РПС) представлен на рисунке 2.10.
Рисунок 2.10 – Принципиальная схема регулятора постоянной скорости
Управляющее воздействие на выходе этого регулятора изменяются с постоянной скоростью
, увеличиваясь при положительном знаке рассогласования
и уменьшаясь при отрицательном. Значение скорости
при выбранной разрядности двоичного кода определяется тактовой частотой
, (2.5)
поступающей от генератора импульсов узла синхронизации сетью. Импульсы с частотой
проходят на суммирующих вход реверсивного счетчика D2 через первый из элементов И-НЕ D1 в случае положительного знака разности
(единичное значение сигнала
) и обеспечивает увеличение
. В случае отрицательного знака разности
(единичное значение сигнала
) импульсы с частотой
проходят через второй элемент И-НЕ D1 на вычитающий вход реверсивного счетчика D2 – значение кода
уменьшается. Таким образом, суммирование или вычитание квантов управляющего воздействия
выполняет реверсивный четырехразрядный двоичный счетчик D2. Его информационные входы D1–D4, вход синхронизации С и вход сброса в ноль
не используются [10].
Особенностью данной технической реализации регулятора постоянной скорости является получение на выходах счетчика D2 уже ограниченного кода управляющего воздействия
. Это ограничение реализуется путем включения логического элемента не последовательно с регулятором тока (рисунок 2.7), а в обратную связь по отношению к регулятору тока (рисунок 2.10). Действительно, сигналы
и
с выхода логического элемента поступают на входы регулятора постоянной скорости, а эти сигналы, в свою очередь, зависят от выходного кода счетчика D2 регулятора постоянной скорости (рисунок 2.10). Работа логического элемента (рисунок 2.11) основана на принципе сложения прямого и дополнительного кодов уменьшаемого и вычитаемого чисел соответственно, который был рассмотрен выше при описании элемента сравнения. На выходе
логического элемента единичный сигнал формируется при выполнении условия
, на выходе
– при выполнении условия
. При нулевом значении одного из сигналов
или
, что соответствует достижению
одного из пределов
или
, соответствующий элемент D1 регулятора постоянной скорости блокирует прохождение импульсов
на вход счетчика D2, вследствие чего код
перестает изменяться [10].
Рисунок 2.11 – Принципиальная схема логического элемента
Таким образом, выходной код регулятора переменной скорости при включенном в его цепь обратной связи логический элемент может изменяться в пределах
и подается непосредственно на входы узла фазового управления УФУ.
Для работы узла фазового управления необходим код
, изменяющийся в течение каждого полупериода
от максимального значения до минимального. Для получения этого кода используется генератор изменяющегося кода ГИК, принципиальная схема которого представлена на рисунке 2.12.
Рисунок 2.12 – Принципиальная схема генератора изменяющегося кода
















