Пояснительная записка (1223296), страница 5
Текст из файла (страница 5)
- устройство контроля заполнения путей, с помощью которых осуществляется мониторинг накопления и продвижения по путям в подгорочном парке.
Постовое оборудование включает в себя оперативно-диспетчерские устройства и сервер УУПТ.
Анализ функционирования системы УУПТ показывает, что основные функции, заложенные в алгоритм работы системы, совпадают с функциями операторов тормозных позиций при ручном управлении процессом торможения, а именно – обеспечивать интервальное торможение отцепов на горочных ТП и прицельное – на парковых.
2.2 Исполнительные устройства
2.2.1 Рельсовые цепи
Рельсовые цепи 25 Гц проектируют на вновь механизируемых и автоматизируемых сортировочных горках, а также в случае их реконструкции и в маневровых районах станций при любых видах тяги[4].
Питание рельсовых цепей 25 Гц производится от преобразователя частоты ПЧ 50/25-150 УЗ с допустимым колебанием выходного напряжения 110 В частотой 25 Гц от 105 до 115 В. Сопротивление жил кабеля между постом ГАЦ и трансформаторным ящиком (предельная длина недублированного кабеля 1000 м) составляет 50 Ом.
При соблюдении требований и норм, предъявляемых к горочным рельсовым цепям, нормально разомкнутые рельсовые цепи 25 Гц обеспечивают:
-
надежное притяжение якоря путевого реле ИС при наложении на рельсовую цепь нормативного поездного шунта сопротивлением 0,5 Ом с максимальным сопротивлением изоляции
и минимальным выходным напряжением 105 В, 25 Гц; -
надежное отпускание якоря реле ИС при снятии нормативного поездного шунта с рельсовой цепи с минимальным сопротивлением изоляции
Ом и максимальным выходным напряжением 115 В, 25 Гц; -
время с момента наложения шунта до размыкания фронтовых контактов обратного повторителя путевого реле СП при наибольшем напряжении контрольной батареи 28 В не более 0,15 с, а время с момента снятия шунта до замыкания фронтовых контактов обратного повторителя путевого реле СП при наименьшем напряжении контрольной батареи 22 В не более 0,35 с.
Нормально разомкнутые рельсовые цепи, в которых не контролируется исправность элементов и рельсовых нитей, находят применение на сортировочных горках в качестве путевых датчиков, но автономно без других устройств контроля не используются.
На сортировочных горках к рельсовым цепям предъявляют дополнительные требования по быстродействию, что связано с работой стрелок в режиме автовозврата и недопустимостью даже кратковременной потери шунта при движении транспортного средства по контролируемому участку.
Длина РЦ определяет интервал между скатывающимися отцепами, и чем он меньше, тем выше может быть скорость роспуска. В общем случае длина стрелочной горочной РЦ
составляется из отрезков: от изолирующих стыков до начала остряков (предстрелочный участок
); от начала остряков до изолирующих стыков перед крестовиной стрелки
.
Наличие в горочных РЦ предстрелочного участка необходимо для обеспечения полного перевода стрелки до вступления отцепа на ее остряки, если начало перевода совпало с моментом вступления отцепа на данную РЦ. Длина этого участка зависит от скорости движения отцепа VB; времени перевода стрелки
; времени реакции путевого реле
на наложение шунта
. (2.1)
Рельсовая цепь приведена на листе 3 графического материала и включает: ИС — путевое реле типа ИВГ; СП — обратный повторитель путевого реле, находящийся под током при свободном состоянии РЦ; ПТ — путевой трансформатор типа ПТМ-А; ФП — фильтр путевой типа ФП-25; Ro — резистор ограничивающий типа ПЭ– 25 с номинальным сопротивлением 360 Ом; Rр — резистор регулировочный того же типа с номинальным сопротивлением 180 Ом; ПЧ — преобразователь частоты ПЧ 50/25-150; П — предохранитель 2 А; Пр-5 А — предохранитель 5 А [2].
При свободной РЦ вторичная обмотка ПТ нагружена на сопротивление изоляции (минимум 3 Ом). В контуре первичной обмотки устанавливается ток, которого недостаточно для срабатывания путевого реле ИС. В момент шунтирования рельсов (нормативный шунт 0,5 Ом) ток в контуре вторичной обмотки возрастает, что приводит к увеличению тока в контуре первичной обмотки и срабатыванию путевого реле ИС. Резистор Ro ограничивает ток при малых сопротивлениях поездного шунта и соединительных проводов контура вторичной обмотки ПТ [17].
Время с момента наложения шунта до размыкания фронтовых контактов реле СП должно быть не более 0,15 с. при наибольшем напряжении контрольной батареи (28 В). Максимальное время с момента снятия шунта до замыкания фронтовых контактов реле СП при наименьшем напряжении контрольной батареи (22 В) — не более 0,35 с. Фильтры ФП необходимы для защиты реле РЦ от тягового тока на электрифицированных участках и на трех РЦ, примыкающих непосредственно к электрифицированным путям.
Необходимость обеспечения быстродействия горочной РЦ определяется условиями безопасности при максимальном темпе роспуска составов.
2.2.2 Индуктивно-проводной датчик
Индуктивно-проводной датчик (ИПД) предназначен для определения свободности или занятости подвижным составом (поездами, локомотивами, вагонами, дрезинами и т.п.) контрольного предстрелочного участка железнодорожного пути с изоляционными вставками при въезде на контрольный участок и за стрелочным переводом, оборудованного нормально разомкнутой рельсовой цепью.
ИПД служит дополнительным элементом защиты стрелок от несанкционированного перевода при потере шунта и проходе длиннобазных вагонов, а также может использоваться в системе контроля заполнения путей (КЗП) сортировочного парка как датчик обнаружения движущихся отцепов. ИПД позволяет обнаруживать подвижной состав в зоне укладки индуктивного шлейфа вне зависимости от климатических и эксплуатационных условий.
Аппаратура ИПД располагается в зависимости от функционального назначения в релейном помещении или на поле. В релейном помещении установлены предохранители в цепях питания датчика и находится реле типа НМШ2-4000, воспринимающие сигналы от электронного блока.
В качестве чувствительного элемента датчика используется шлейф, который изменяет свои параметры при наезде отцепа. Шлейф расположен внутри железнодорожной колеи в пределах контролируемого участка и крепится к шейке рельсов, изготавливается на месте установки и содержит катушку индуктивности, образованную из 7 жил кабеля КВВГ 7x1.5. Концы кабеля заводятся в путевой ящик, жилы кабеля распределяются на клеммной колодке в катушку индуктивности. На сортировочных путях используется разная длина шлейфа, исходя из конкретной решаемой задачи. Для защиты стрелок используются индуктивные шлейфы, уложенные в форме «прямоугольник» или «восьмерка», размеры которых выбираются в зависимости от конкретных размеров стрелочного участка. Для системы КЗП длины индуктивного шлейфа выбираются, исходя из геометрических размеров подвижных единиц, которые уложены скрещиванием.
Рисунок 2.2 – Размещение шлейфа ИПД на пути
Индуктивно-проводной датчик обеспечивает контроль свободности или занятости участков пути в пределах уложенного шлейфа от подвижного состава с металлической ходовой частью.
ИПД работает следующим образом. Генератор гармонических колебаний, входящий в состав электронного блока, вырабатывает сигнал на определенной частоте. При свободном контролируемом участке электронный блок формирует и подает сигнал управления (напряжение, достаточное для притяжения якоря) на обмотку реле ИП, которое встает под ток. При нахождении вагона над шлейфом изменяются частота и амплитуда сигнала, вырабатываемого генератором, электронный блок прекращает подачу напряжения на обмотку реле ИП, которое отпускает якорь.
Электронный блок представляет собой объемную конструкцию, внутри которой расположены две съемные печатные платы. На одной плате (модуль ЭМ1) — источник питания, генератор синусоидальных колебаний и генератор импульсов, а на второй (модуль ЭМ2) — элементы схемы автоподстройки контрольной схемы (схема выходного каскада). На верхних панелях помещены элементы настройки и индикации, вывод контрольной точки.
Электронный блок размещен в трансформаторном ящике, установленном непосредственно у контролируемого участка пути. Входная часть электронного блока связана с индуктивным шлейфом.
ИПД выдаёт сигнал «занятость» при въезде на шлейф первой тележки подвижной единицы. Сигнал свободности формируется ИПД при проезде последней осью подвижной единицы изолирующих стыков стрелочного участка (при исправной рельсовой цепи). При повреждении рельсовой цепи типа «обрыв соединительной перемычки» ИПД надёжно фиксирует нахождение подвижной единицы в пределах шлейфа.
2.2.3 Радиотехнический датчик
Радиотехнический датчик контроля свободности стрелочных участков (РТД-С) предназначен для фиксации наличия отцепов на стрелочных участках сортировочных горок в системах ГАЦ. Для осуществления контроля в РТД-С используется радиоканал СВЧ диапазона.
РТД-С обеспечивает пространственный контакт с обнаруживаемыми транспортными средствами и может работать в двух режимах обнаружения:
-
прием отраженного сигнала;
-
экранирование сигнала, излучаемого передатчиком.
Использование СВЧ диапазона волн вызвано тем, что влияние запыленности, тумана, дождя, снега на волны этого диапазона тем меньше, чем больше неравенство L>
(L - длина волны излучаемого колебания,
- радиус частиц метеорологического происхождения).
Однако с учетом необходимости использования малогабаритных антенн для радиотехнических датчиков был выбран трех сантиметровый диапазон волн (
Гц)[5].
В состав РТД-С входит два конструктивно одинаковых модуля - приемный и передающий. Модули устанавливают на крепежные стойки, расположенные в зоне стрелочного участка (рисунок 2.4). Приемник, установленный внизу стойки, является основным и используется для контроля всех типов вагонов с хребтовой балкой.
Рисунок 2.3 – Размещение РТД-С в зоне стрелочного участка
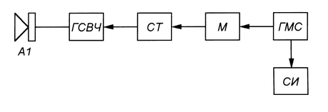
Передатчик РТД-С состоит из:
-
рупорной пирамидальной антенны А1;
-
генератора сверхвысокочастотных колебаний ГСВЧ;
-
стабилизатора тока С1;
-
генератора модулирующих сигналов ГМС;
-
модулятора М;
-
схемы индикации СИ.
Рисунок 2.4 – Функциональная схема передающего модуля РТД-С
Принципиальная схема передающего модуля РТД-С приведена на листе 5 графического материала.
Антенна передающего модуля служит для преобразования токов высокой частоты, создаваемых генератором СВЧ, в энергию электромагнитных волн, излучаемых в сторону контролируемой зоны.
Генератор сверхвысокочастотных колебаний (f=9,8 ГГц) выполнен с использованием лавинно-пролетного диода (ЛПД).
Стабилизатор тока, собранный на диодах VD4, VD5 и транзисторе VT2, предназначен для ограничения амплитудного значения тока, протекающего через лавинно-пролетный диод. Ток ЛПД регулируется потенциометром R10 в пределах от 3 до 11 мА.
Генератор модулирующих сигналов (F=60 кГц) выполнен на инверторах DD1.1, DD1.2 и микросхеме DD2.
Формирование сигнала для включения индикации осуществляется интегратором на инверторах DD1.4 - DD1.6 и элементах R9, R11, VD6, С8. Инвертор DD1.3 с элементами С7 и R7 предназначен для отключения генератора СВЧ при отсутствии модулируемой частоты.
и минимальным выходным напряжением 105 В, 25 Гц;
Ом и максимальным выходным напряжением 115 В, 25 Гц;














