Metelyova Elena Sergeevna 2016 (1217712), страница 19
Текст из файла (страница 19)
Таблица 4.16. Матрица разрешенных переходов из менее в более мощную альтернативу развития мощности сортировочной станции.
| i/j | 1 | 2 | 3 | 4 | 5 |
| 1 | 1 | 1 | 1 | 1 | |
| 2 | - | 1 | 1 | 1 | |
| 3 | - | - | 1 | 1 | |
| 4 | - | - | - | 1 | |
| 5 | - | - | - | - |
Таблица 4.17. Матрица стоимости переходов из менее в более мощную
альтернативу (млн.долл.)
| i/j | 1 | 2 | 3 | 4 | 5 |
| 1 | 36,9 | 40,3 | 65,4 | 75,1 | |
| 2 | - | 40,9 | 71,1 | 176,8 | |
| 3 | - | - | 36,4 | 36,9 | |
| 4 | - | - | - | 105,7 | |
| 5 | - | - | - | - |
А4;11
А5;11
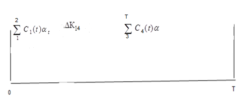
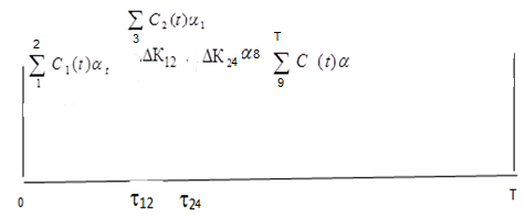
Рисунок 4.4.3.. Область эффективных стратегий развития облика и мощности
сортировочной станции с логистическим центром ВСМТУ.
На рисунке 4.4.3. приведена сетка «Альтернатива-время» на которой зафиксированы узловые точки Аj;t для экономической оценки которых сформируем рекуррентные уравнения .
Рекуррентные уравнения для экономической оценки узловых точек Аj;t в млн. долл. США, сформированные по шагам расчетной процедуры:
1 шаг
2 шаг
3 шаг
Таблица 4.18 Расчет суммарного дисконтированного результата работ сортировочной станции при стоимости обработки одного контейнера на 140 долл./TEU (млн. долл.)
| t | 1 | 2 | 3 | 4 | 5 | 6 | 7 | 8 | 9 | 10 | 11 | 12 | 13 | 14 | 15 |
| t | 0,91 | 0,826 | 0,751 | 0,683 | 0,621 | 0,564 | 0,513 | 0,467 | 0,424 | 0,385 | 0,36 | 0,333 | 0,303 | 0,277 | 0,256 |
| Гп обр (t) | 0,42 | 0,52 | 0,65 | 0,75 | 0,87 | 0,98 | 1,09 | 1,2 | 1,32 | 1,43 | 1,55 | 1,65 | 1,77 | 1,88 | 2 |
| R(t) | 35,28 | 43,6 | 54,6 | 63 | 73,08 | 82,3 | 91,56 | 100,8 | 110,8 | 120,1 | 130,2 | 138,6 | 148,6 | 157,9 | 168 |
| R(t)t | 32,1 | 36,01 | 41 | 43 | 45,3 | 46,4 | 46,9 | 47 | 46,97 | 46,2 | 46,8 | 41,6 | 44,5 | 43,7 | 43 |
| ∑ R(t)t | 32,1 | 68,11 | 109,1 | 152,1 | 197,4 | 243,8 | 290,7 | 337,7 | 384,6 | 430,8 | 477,6 | 519,2 | 563,7 | 607,4 | 650,47 |
В соответствии с методикой (рис.4.4.3.) на сетке «Альтернатива-время» сформирована оптимальная стратегия развития сортировочной станции, которая предусматривает эксплуатацию существующего технического состояния системы до 3 года расчетного периода с последующим переходом на вторую альтернативу, предусматривающую строительство с третьего года расчетного периода двухсторонней горочной станции и логистического центра.
4.5. Формирование области эффективных стратегий изменения облика и мощности железнодорожных транспортных звеньев для реализации контейнерного транзита в системе ВCМТУ.
На рисунке 4.5.1. показана расчетная схема железнодорожных транспортных звеньев ВCМТУ от морских торговых портов до сортировочной станции
Рис. 4.5.1. Расчетная схема железнодорожных транспортных звеньев ВCМТУ
На рисунке 4.5.2.. показан график освоения перевозок на звеньях железнодорожного транспорта, для контейнерного транзита и экспорта углеводородов в направлении «туда» и «обратно».
В таблице 4.19 произведен расчет результатов работы жд звеньев .
70
60
Р
8
ис. 4.5.2 График освоения перевозок на звеньях железнодорожного транспорта.1 состояние – однопутная железная дорога с ТТ, локомотив 2ТЭ10В
2 состояние – 2х путные вставки на длинных перегонах
3 состояние – 2 путь при ТТ 2ТЭ10В
4 состояние – электрифицированная жд
1 схема
2 схема
3 схема
1004,
Табл. 4.19 Определение результатов работы железнодорожных транспортных звеньев Ванинско-Комсомольского ВСМТУ с учетом углеводородов и контейнерного транзита (млн.долл)
| t | 1 | 2 | 3 | 4 | 5 | 6 | 7 | 8 | 9 | 10 | 11 | 12 | 13 | 14 | 15 |
| t | 0,91 | 0,826 | 0,751 | 0,683 | 0,621 | 0,564 | 0,513 | 0,467 | 0,424 | 0,385 | 0,36 | 0,333 | 0,303 | 0,277 | 0,256 |
| Гп обр (t) | 7 | 10 | 15 | 19 | 22 | 26 | 30 | 33 | 37 | 40 | 45 | 48 | 52 | 55 | 60 |
| Гп туда(t) | 30 | 32 | 35 | 39 | 42 | 45 | 47 | 50 | 53 | 57 | 60 | 62 | 65 | 68 | 70 |
| Roбр= Т Гп | 24 | 34 | 51 | 65 | 75 | 89 | 103 | 113 | 127 | 137 | 154 | 165 | 179 | 189 | 206 |
| Rтуда = Т Гп | 103 | 110 | 120 | 134 | 144 | 154 | 161 | 172 | 182 | 196 | 209 | 213 | 223 | 234 | 241 |
| Rобр αt | 21,8 | 28 | 38 | 44,3 | 46,5 | 50 | 52,8 | 52,7 | 53,8 | 52,7 | 55,4 | 54,9 | 54,2 | 52,3 | 52,7 |
| Rтуда αt | 93,7 | 90,8 | 90,1 | 91 | 89,4 | 86,8 | 82,5 | 80,3 | 77,1 | 75,4 | 75,2 | 70,9 | 67 | 64,8 | 61 |
|
| 115 | 118 | 128 | 135 | 135,9 | 136 | 135,3 | 133 | 130 | 128,1 | 130 | 125 | 121 | 117 | 113 |
|
| 115 | 233 | 361 | 496 | 631 | 767 | 902 | 1035 | 1165 | 1293 | 1423 | 1548 | 1669 | 1786 | 1899 |














