Диплом (1214524), страница 8
Текст из файла (страница 8)
(4)
Формулы расчета численности слушателей должны быть скорректированы на коэффициент J, отражающий темпы устаревания знаний (Тзн), уровень сменяемости кадров (Дсм)> увеличение количества организации в отрасли (Q) (5) :
(5)
Определяем годовую численность слушателей трехгодичной группы обучения (Чучз) на ООО «Хабаровск Кейтеринг».
Из расчета исключаем численность руководящих работников, ранее прошедших обучение в системе повышении квалификации Куч:
Куч3 = q < 5 Рбвс = 6 + 5 + 3 + 2 = 16;
Кучз = q < 3 Рс = 4 + 5 = 9.
Таким образом,
Чучз.= ((27+21+16)+(17+13+9+7-9))/3=69/3=23 чел.
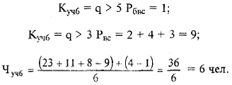
Определяем годовую численность слушателей шестигодичной группы обучения (Чучб).
Из расчета исключаем численность руководителей, ранее прошедших обучение Kуч:
Корректируем oбщую численность слушателей в системе повышения квалификации 29 (23 + 6) на коэффициент J, который в нашем случае равен 1,21 (1,05 х 1,11 х 1,04):
Чуч = 29 X 1,21 = 35 чел.
Итак, общая годовая численность слушателей руководящего состава в системе повышения квалификации составляет 35 чел.
3.3 Предложения по совершенствованию систем стимулирования труда работников
Основным источником выплат заработной платы является запланированный фонд оплаты труда, который в свою очередь формируется за счёт себестоимости реализуемой продукции и частично прибыли. Это означает, что увеличение заработной платы путём увеличения фонда оплаты труда будет приводить к увеличению себестоимости и, соответственно, к уменьшению конкурентоспособности продукции и прибыли.
С целью повышения материальной заинтересованности работников предлагается система оплаты труда, основанная на применении критерия эффективности труда. Суть предлагаемой системы заключается в том, что заработная плата работников состоит из двух частей: постоянной и переменной. Постоянная часть зарплаты представляет собой фиксированную (оклад, тарифная ставка), а переменная часть – надбавку, размер которой зависит не только от результатов труда отдельного работника, но и от результатов труда коллектива, в котором он работает, и доли его участия в общих результатах коллектива. Особенность предлагаемой системы оплаты заключается в том, что она не только стимулирует труд самих работников, но и обеспечивает для руководства предприятия возможность оперативного управления и стабилизации необходимой эффективности труда работников при неконтролируемых изменениях доходов предприятия.
Стимулирование работников за повышение производительности труда на предприятии имеет преимущество, поскольку чётко определяется связь между результатами и затратами труда.
При распределении коллективного фонда поощрения индивидуальную производительность труда можно определить для сдельщиков через процент выполнения норм выработки, для повремёнщиков – через выполнение нормированных заданий.
Премиальный фонд предприятия распределяется между всеми подразделениями в соответствии с эффективностью труда каждого из них. Фонд подразделения между работниками аналогично.
Для совершенствования материального стимулирования помимо основной тарифной ставки (оклада) работникам необходимо выплачивать следующие вознаграждения:
1. Вознаграждение за выслугу лет.
Выплата вознаграждения за выслугу лет работникам должна производится в виде ежемесячных процентных надбавок к должностному окладу в зависимости от непрерывного стажа работы, дающего право на получение вознаграждения (Таблица 10).
Таблица 10 – Выплата вознаграждения за выслугу лет
| № п/п | Стаж работ, дающий право на получение вознаграждения за выслугу лет | Размер годового вознаграждения за выслугу лет в долях месячной тарифной ставки (оклада) |
| А | 1 | |
| 1 | от 1 года до 3 лет | 0,05 |
| 2 | от 3 лет до 5 лет | 0,15 |
| 3 | от 5 лет до 10 лет | 0,2 |
| 4 | от 10 лет до 15 лет | 0,3 |
| 5 | свыше 15 лет | 0,4 |
Начисление и выплата вознаграждения за выслугу лет в указанных размерах производится ежемесячно за фактически отработанное время при наличии собственных средств.
Стаж работы исчисляется один раз на начало года. В стаж работы, дающий право на получение вознаграждения за выслугу лет, включается только время работы на предприятии ООО «Хабаровск Кейтеринг».
Руководители подразделений имеют право снижать работникам размер вознаграждения за выслугу лет за производственные упущения в работе, но не более чем на 50%:
- при нарушении трудовой и технологической дисциплины;
- при опоздании на работу и преждевременный уход с работы;
- за дисциплинарное взыскание;
- за упущения в работе.
2. Премирование работников.
Ежегодно и ежемесячно производить премирование работников ООО «Хабаровск Кейтеринг». Премия должна начисляться путем распределения приработка по коэффициентам трудового участия (КТУ).
Сумма приработка – это остаток фонда заработной платы (ФЗП) после начисления основной и других видов заработной платы.
КТУ представляет собой обобщенную оценку трудового вклада коллектива и отдельных работников в общие результаты работы организации.
Таблица 11 – Перечень показателей увеличения и снижения КТУ
| № п/п | Показатели | Величина повышения (понижения) КТУ |
| А | Б | |
| 1 | Показатели, повышающие КТУ | |
| 1.1 | Проявление инициативы в работе, связанной с внедрением в производство новой техники, технологии, передовых методов организации труда, прогрессивных материалов, совершенст-вование управления и хозяйственного расчета, участие в изобретательской работе | 0,3 |
| 1.2 | Досрочное и качественное выполнение особо важных заданий | 0,2 |
| 1.3 | Участие в работе по повышению квалификации рабочих линейных специалистов и других работников | 0,1 |
| 1.4 | Выполнение наряду со своими обязанностями обязанностей работника, отсутствующего по болезни, в отпуске и т. п. | 0,5 |
| 1.5 | Наставничество в отношении ИТР — молодых специалистов | 0,1 |
| 1.6 | Объявление благодарности в приказе, занесение на Доску почета, награждение Почетной грамотой | 0,1 |
| 2 | Показатели, понижающие КТУ | |
| 2.1 | Нарушение установленного распорядка рабочего дня (опоздание, самовольный уход с работы) и т. д. | 0,2 |
| 2.2 | Нарушение установленных сроков сдачи отчетности и выполнения порученных заданий | 0,3 |
| 2.3 | Несвоевременное доведение инструктивных материалов (заданий) до исполнителей | 0,1 |
| 2.4 | Ложная информация | 0,2 |
| 2.5 | Невыполнение распоряжении руководства | 0,2 |
| 2.6 | Некачественное, несвоевременное выполнение производственных заданий, безынициативность в работе | 0,2 |
Значение КТУ для непроизводственного персонала необходимо установить ежемесячно в пределах от 0 до 1,5, для руководящих работников, специалистов и служащих отделов и служб аппарата управления (РСС) — от 0 до 2.
Общая сумма КТУ должна составлять для линейных специалистом и служащих - 25% от общей суммы приработка по ООО «Хабаровск Кейтеринг».
Для специалистов ООО «Хабаровск Кейтеринг» необходимо установить премию по результатам хозяйственной деятельности зa обеспечение планового показателя качества предоставления медицинских услуг в размере 25% должностного оклада в пределах и при наличии собственных средств.
За общие результаты работы по итогам квартала также необходимо выплачивать ежеквартальное вознаграждение работникам списочного состава за счет экономии, полученной в квартале. Конкретные размеры вознаграждения по итогам работы за квартал должны устанавливаться в зависимости от непрерывного стажа работы в организации в пределах должностного оклада и утверждаются начальником подразделения с учетом произведенных упущений.
Также возможно:
-производить выплаты выходного пособия по уходу работника на пенсию при стаже работы на ООО «Хабаровск Кейтеринг» не менее 20 лет;
-выплачивать единовременные вознаграждения к юбилейным датам работы сотрудников на предприятии;
-всем работникам должна оказываться материальная помощь в случае материального затруднения, при несчастном случае, длительном заболевании и др. При наличии средств необходимо также выплачивать материальную помощь к отпуску в размере до двух должностных окладов (тарифных ставок).
ЗАКЛЮЧЕНИЕ
Повышение эффективности производства и результаты труда зависят от квалификации персонала и степени его использования. Персонал предприятия представляет собой совокупность работников определенных категорий и профессий, занятых единой производственной деятельностью, направленной на получение прибыли или дохода и удовлетворение своих материальных потребностей.
Управление персоналом направлено на достижение эффективной деятельности организации и справедливости взаимоотношений между работниками. Гибкая организация труда, самоорганизация работника и групп трудящихся, их сознательное участие не только в производственном процессе, но и в управлении производством становится отправной точкой создания систем управления человеческими ресурсами.
ООО «Хабаровск Кейтеринг» является одной из ведущих кейтеринговых компаний в России. Анализируя деятельность предприятия за период 2013- 2015гг. можно сделать вывод, что предприятие набрало хороший темп и стабильно работает. Основной ориентир в деятельности ООО «Хабаровск Кейтеринг» - высокий уровень безопасности выпускаемой продукции и контроль качества на всех этапах производственного процесса предприятия.
Основной задачей предприятия является: обеспечение бортовым питанием пассажиров авиакомпаний.
В настоящее время ООО «Хабаровск Кейтеринг» это самое большое предприятие в сфере общественного питания в г. Хабаровске – объем выпускаемой продукции составляет до 6,5 тысяч рационов в сутки. И чтобы справляться с таким большим объемом работы, нужен хорошо организованный, слаженный и дружный персонал.
Анализируя систему управления персоналом на ООО «Хабаровск Кейтеринг», были выделены следующие проблемные моменты:
- на ООО «Хабаровск Кейтеринг» отсутствует четко-разработанная система подбора кадров, в связи с чем в первые годы значительное число работников увольняется;
- для предприятия характерно отсутствие прогноза кадровых потребностей, диагностики кадровой ситуации в целом;
- рост квалификационного уровня кадров несколько «бюрократичен» - повышение квалификации (проведение аттестации) определяется стажем работы на предприятии, что не является стимулом для молодых кадров;
Исправление выделенных недостатков в системе управлении персоналом позволит улучшить производственно-финансовое состояние предприятия в целом.
В работе предложены мероприятия по совершенствованию системы управления персоналом, который включает.
1. Разработку системы подбора кадров. Предлагается для совершенствования системы подбора кадров ввести тестовый запрос к кандидату и систему проверочных испытаний.
2. Мероприятия по совершенствованию квалификационного уровня кадров. Предлагается внедрить на предприятии инновационный метод оценки персонала, а для каждого сотрудника предприятия вести ежегодно расчет уровня квалификации.
3. Совершенствование систем стимулирования труда работников. Для совершенствования материального стимулирования помимо основной тарифной ставки (оклада) работникам необходимо выплачивать следующие вознаграждения: вознаграждение за выслугу лет и премирование работников. Премия должна начисляться путем распределения приработка по коэффициентам трудового участия (КТУ). Сумма приработка – это остаток фонда заработной платы (ФЗП) после начисления основной и других видов заработной платы. КТУ представляет собой обобщенную оценку трудового вклада коллектива и отдельных работников в общие результаты работы организации.
С помощью вышеперечисленных мероприятий компании удастся в дальнейшем создать надёжную развивающуюся компанию, где работает компетентный и внимательный персонал, который сформирует безупречный имидж компании ООО «Хабаровск Кейтеринг».
Экономический эффект от внедрения мероприятий по экономическому стимулированию составит в конечном счете 1455,7-1000 тыс.р.=455,7тыс.р
Общий экономический эффект от внедренных мероприятий составит:
60,96 тыс.р + 409,2 тыс.р. + 455,7 тыс.р. = 925,86 тыс.р.















