ДИПЛОМ ПОЛНОСТЬЮ (1207644)
Текст из файла
Министерство транспорта Российской Федерации
Федеральное агентство железнодорожного транспорта
федеральное государственное бюджетное образовательное
учреждение высшего образования
«Дальневосточный государственный университет
путей сообщения»
Кафедра «Железнодорожный путь»
| К ЗАЩИТЕ ДОПУСТИТЬ Заведующий кафедрой _____________ А.В. Соколов «____» ____________ 2017 г. |
проект Укладки и содержания бесстыкового пути
на Ургальской ДИСТАНЦИИ ПУТИ
Пояснительная записка к дипломному проекту
Д 230506 456 ПЗ
| Разработал студент | ________________ (подпись) «___» _________ 2017 г. | М.С. Окунев |
| Консультант (профессор, д.т.н., професор) | ________________ (подпись) «___» _________ 2017 г. | В.С.Шварцфельд |
| Консультант по разделу «Безопасность жизнедеятельности» (доцент, к.т.н.) | ________________ (подпись) «___» _________ 2017 г. | А.Н. Луценко |
| Руководитель (профессор, д.т.н., доцент) | ________________ (подпись) «___» _________ 2017 г. | Г.М. Стоянович |
| Нормоконтроль (профессор, д.т.н., доцент) | ________________ (подпись) «___» _________ 2017 г. | Г.М. Стоянович |
Хабаровск – 2017
Annotation
Railway transport of the Russian Federation has a leading role in meeting the requirements for the transport of goods and passengers. The railways of the Russian Federation have 11% of the length of the world's railways network, they account for 53% of the world's freight turnover.
Track work is to further strengthen the power of the track and structures, the widespread introduction of mechanization and automation, improve the organization and technology of work, as well as in the unconditional provision of train safety with the maximum permissible speeds.
A large amount of work on the capital and medium repair of the track is performed by track machine stations.
Track machine stations have production bases for assembling and disassembling the links of the track grid, rubble warehouses, the repair base for individual elements of the upper structure of the track.
The railway track is an engineering structure. Under the influence of vertical and horizontal forces in the path, residual uneven deformations continuously accumulate, which lead to path disorders: subsidence, misalignment, dislocation of the track in the sleeper, longitudinal profile, etc. The need for repair of the path arises from the wear of its elements and the accumulation of residual deformations.
In the course of major repair of the way, the main types of work are performed: replacement of the rail grille, alignment of the path in the plan and profile, cleaning of the crushed stone, and repair of artificial structures.
Road repair is carried out according to technical rules, estimates and technological processes.
The technological process for the overhaul, repair of the track includes working drawings.
The essence and significance of technological processes is that the technological process of the production of track works determines the strict procedure for performing operations on the time and place of the arrangement of workers, machines and the delivery of materials to the work site in order to carry out work with the least labor and most effectively use the means of mechanization.
In the first part of the diploma project calculations of the path to strength and stability, as well as determination of the coefficient of stability of the wheel on the rail, are presented.
In the second part, the questions of designing the longitudinal profile and the path plan are displayed. Analysis of deviations of the plan and profile of the path from technical norms is carried out. The determination of the parameters of the curves was also carried out in accordance with the operating conditions.
The third part is the design of the technological process for the overhaul of the road with a deep cleaning of the rubble in the section Urgal-Komsomolsk, Urgalsky distances of the UrgZhD railway.
The fourth part contains the project of organization of works on laying of the jointless path.
The fifth part covers the issues of life safety in the course of work.
All questions are developed taking into account normative documentation.
СОДЕРЖАНИЕ
1. ВЫБОР КОНСТРУКЦИИ БЕССТЫКОВОГО ПУТИ ОЦЕНКА ЕГО ПРОЧНОСТИ И УСТОЙЧИВОСТИ
1.1. Определение класса и специализации железнодорожной линии
1.2 Выбор конструкции бесстыкового пути
1.2.1. План и профиль пути
1.2.2. Балластный слой.
1.3 Расчеты элементов верхнего строения пути на прочность в зимних и летних условиях при проходе современной подвижной нагрузки
1.3.1Общие сведения
1.3.2Расчет верхнего строения пути на прочность
1.4 Определение устойчивости пути против поперечного сдвига.
2. ВЫПРАВКА ПРОДОЛЬНОГО ПРОФИЛЯ И ПЛАНА ПУТИ
2.1 Электронный паспорт плана и продольного профиля участка Дальневосточной железной дороги
2.2 Проектрирование реконструкции продольного профиля
2.2.1. Описание существующего программного обеспечения по проектированию продольного профиля «DOROGA_OCX»
2.3 Проектирование реконструкции продольного профиля перегона
2.3.1 Нормы проектирования реконструкции продольного профиля
2.4. Определение эффективности проектирования реконструкции продольного профиля
3 ПРОЕКТ ОРГАНИЗАЦИИ РАБОТ ПО КАПИТАЛЬНОМУ РЕМОНТУ ПУТИ С ГЛУБОКОЙ ОЧИСТКОЙ ЩЕБНЯ
3.1 Общие соображения и предпосылки
3.2 Определение основных параметров технологического процесса
3.3 Технологический процесс капитального ремонта пути с глубокой очисткой щебня
4 ПРОЕКТ ОРГАНИЗАЦИИ РАБОТ ПО УКЛАДКЕ ПЛЕТЕЙ БЕССТЫКОВОГО ПУТИ
4.1 Общие соображения и предпосылки
4.2 Соединение рельсовых плетей при укладке
4.3 Бесстыковой путь на мостах
4.4 Технологический процесс по укладке плетей бесстыкового пути
4.4.1 Характеристика пути
4.4.2 Производственный состав
4.4.3 Организация работ
4.4.4 Перечень потребных машин, механизмов, путевого инструмента и инвентаря
5. СОДЕРЖАНИЕ БЕССТЫКОВОГО ПУТИ
5.1. Основные положения
5.2. Контроль за угоном плетей и их температурным режимом
5.3. Контроль за температурной работой уравнительного пролёта и концов бесстыковых плетей
5.4. Определение интервала температур для закрепления плетей на постоянный режим эксплуатации
5.4.1 Назначение оптимальной температуры закрепления
5.4.2 Расчёт расхождения торцов рельсов в месте разрыва рельсовой плети и увеличения начальных стыковых зазоров между концами плетей и уравнительных рельсов
СПИСОК ЛИТЕРАТУРЫ
1. ВЫБОР КОНСТРУКЦИИ БЕССТЫКОВОГО ПУТИ ОЦЕНКА ЕГО ПРОЧНОСТИ И УСТОЙЧИВОСТИ
1.1. Определение класса и специализации железнодорожной линии
Классы железнодорожных линий устанавливаются в соответствии с Распоряжением ОАО «РЖД» от 31.12.2015 г. № 3188р [1].
Все железнодорожные линии ОАО «РЖД» классифицируются, в зависимости от вида выполняемой на них работы и интенсивности движения (табл. 1.1).
На двухпутных и многопутных участках классы путей устанавливаются одинаковыми с классом пути, имеющим большую грузонапряженность, при условии, если разница в грузонапряженности не превышает 30%. При большей разнице класс каждого из путей устанавливается по фактическому сочетанию грузонапряженности и установленных скоростей.
Непрерывная длина пути соответствующего класса, как правило, не должна быть менее длины участка движения с одинаковыми на всем его протяжении грузонапряженностью и установленными скоростями пассажирских или грузовых поездов (в зависимости от того, какая из них соответствует более высокому классу), без учета отдельных километров и мест, по которым уменьшена установленная скорость из-за кривых малого радиуса, временно неудовлетворительного технического состояния пути или искусственных сооружений, либо по другим причинам.
Классы пути отражаются дистанциями пути в технических паспортах и других формах отчетности [1].
Таблица 1.1. Классы железнодорожных линий
Годовая приведенная грузонапряженность, млн. ткм брутто/км год | Классы железнодорожных линий при технической скорости движения поездов, км/ч(числитель – пассажирские, знаменатель – грузовые) | |||||||
>110 | >77 и≤110 | >66 и ≤76 | >55 и ≤65 | >44 и≤54 | >33 и≤43 | >23 и≤32 | 22 и менее | |
>90 | >77 и≤90 | >54 и≤76 | >49 и≤53 | >43 и≤48 | >33 и≤42 | >23 и≤32 | ||
Более 150 | - | 1 | 1 | 1 | 1 | 1 | 1 | 2 |
81-150 | - | 1 | 1 | 1 | 1 | 2 | 2 | 3 |
51-80 | - | 1 | 1 | 1 | 2 | 2 | 3 | 4 |
26-50 | 1 | 1 | 2 | 2 | 3 | 3 | 4 | 4 |
11-25 | 1 | 1 | 2 | 3 | 3 | 4 | 4 | 5 |
5-10 | 1 | 2 | 3 | 3 | 4 | 4 | 5 | 5 |
5 и менее | - | 2 | 3 | 4 | 4 | 5 | 5 | 5 |
Специализация железнодорожных линий приведена в таблице 1.2.
Таблица 1.2. Специализация железнодорожных линий
Специализация железнодорожных линий | Условные обозначения | Параметры специализации железнодорожных линий, единица измерения |
Высокоскоростная железнодорожная линия | В | Установленная скорость движения пассажирских поездов более 200км/ч |
Скоростная железнодорожная линия | С | Установленная скорость движения пассажирских поездов от 141 до 200 км/ч включительно |
Продолжение таблицы 1.2
Железнодорожная линия с преимущественно пассажирским движением | П | Суммарные размеры движения пассажирских и пригородных поездов по поездо-участку более 60% общего количества пар поездов в сутки в соответствии с нормативным графиком движения поездов |
Железнодорожная линия с преимущественно грузовым движением | Г | Размеры грузового движения более 60% общего количества пар поездов в сутки в соответствии с нормативным графиком движения поездов |
Особо грузонапряженная железнодорожная линия | О | Железнодорожная линия с приведенной грузонапряженностью более 150 млн. ткм брутто/км |
Железнодорожная линия с тяжеловесным грузовым движением | Т | Норма массы состава грузового поезда в нормативном графике движения поездов 6300т и более; доля размеров движения поездов массой 6300т и более – 15% и более от суммарных размеров движения грузовых поездов по линии |
Малоинтенсивные линии | М | Суммарные размеры движения пассажирских и грузовых поездов 8 и менее пар поездов в сутки приведенная грузонапряженность 5,0 и менее млн. ткм брутто/км в год |
В целях оптимизации эксплуатационных расходов путевого комплекса железнодорожные пути классифицируются с учетом грузонапряженности конкретного пути (группы А, Б, В, Г, Д, Е) и допускаемых по нему скоростей движения пассажирских и грузовых поездов (подгруппы С1, С2, 1, 2, 3, 4, 5, 6), а также дополнительных критериев, учитывающих условия эксплуатации (табл. 1.3)
Таблица 1.3. Классы железнодорожных путей
Группа пути | Годовая приведенная грузонапряженность, млн. ткм брутто/км год | Подгруппы пути – установленные скорости движения поездов, км/ч(числитель – пассажирские, знаменатель – грузовые) | |||||||
С1 | С2 | 1 | 2 | 3 | 4 | 5 | 6 | ||
201-250100(121-140)* | 141-20000(10120)* | 21-14091-100 | 101-12081-90 | 81-10071-80 | 61-8061-70 | 41-6041-60 | 40 и менее | ||
А | Более 80 | 1 | 1 | 1 | 1 | 1 | 2 | 2 | 3 |
Б | 51-80 | 1 | 1 | 1 | 1 | 2 | 2 | 3 | 3 |
В | 26-50 | 1 | 1 | 1 | 2 | 2 | 3 | 3 | 4 |
Г | 11-25 | 1 | 1 | 1 | 2 | 3 | 3 | 4 | 4 |
Д | 6-10 | 1 | 1 | 2 | 3 | 4 | 4 | 4 | 5 |
Е | 5 и менее | - | - | - | - | 4 | 4 | 5 | 5 |
*- грузовых до 100км/ч, грузовых ускоренных до 120 км/ч и рефрижераторных до 140 км/ч.
Примечания:
При количестве графиковых пригородных и пассажирских поездов с максимальными скоростями движения 80 км/ч и более, независимо от значения грузонапряженности, путь должен быть не ниже:
1 класса – более 100 поездов в сутки;
2 класса – 31 – 100 поездов в сутки;
3 класса – 6 – 30 поездов в сутки.
На участках со сложным планом пути, на которых протяженность кривых с радиусом менее 350 м составила более 20% всего протяжения или протяженность всех кривых – более 40%, при прочих равных условиях класс пути повышается на один класс.
Пути сортировочных горок классифицируются в зависимости от объемов среднесуточной переработки вагонов:
сортировочные горки большой и повышенной мощности: переработка в среднем в сутки 3500 вагонов и выше или при числе путей в сортировочном парке 30 и более – относятся ко 2 классу;
сортировочные горки средней мощности: переработка в среднем в сутки от 1500 до 3500 вагонов или при числе путей в сортировочном парке от 17 до 29 – относятся к 3 классу;
сортировочные горки малой мощности: переработка в среднем в сутки от 250 до 1500 вагонов или при числе путей в сортировочном парке до 16 включительно относятся к 4 классу.
Класс стрелочного съезда определяется по более высокому классу соединяемых путей.
При специализации линии Г, О, Т устройство кривых определяется скоростью движения грузовых поездов в грузовом направлении, в порожнем направлении устройство кривых производится как для линий смешанного движения.
Характеристика участка проектирования:
– участок Ургал - Комсомольск (3291 ПК 1 – 3297 ПК 3 )
– грузонапряженность пути – 20,4 млн.т км брутто/км в год;
– участок однопутный, не электрофицированный, оборудован полуавтоблокировкой;
– максимальные установленные скорости движения поездов:
пассажирских поездов – 70 км/ч;
грузовых поездов –70 км/ч.
Согласно распоряжению ОАО «РЖД» от 31.12.2015 г. № 3188р, класс линии 3, специализация линии Г, класс пути 3, группа пути Г, категория пути 3, полный код пути 3Г3Г3.
1.2 Выбор конструкции бесстыкового пути
Выбор конструции бесстыкового пути осуществляется в соответствии с Распоряжением ОАО «РЖД» от 14.12.2016 г. № 2544р [1].
1.2.1. План и профиль пути
Бесстыковой путь на главных и станционных путях может укладываться в прямых участках и в кривых радиусами не менее 250 м. На станционных путях 5-го класса при использовании гравийного или песчано-гравийного балласта бесстыковой путь в кривых участках может укладываться при радиусах не менее 600 м[1].
Земляное полотно должно быть прочным и устойчивым и иметь достаточные размеры для размещения балластной призмы. Минимальная ширина обочины земляного полотна для линий 1-го, 2-го и 3-го классов – 50 см, 4-го и 5-го классов – 40 см.
Не допускаются пучины высотой более 10 мм, просадки пути, сплывы и оползания откосов насыпей и другие деформации земляного полотна. Они должны быть устранены в соответствии с техническими условиями на работы по реконструкции (модернизацию) и ремонту железнодорожного пути.
На подходах к большим мостам земляное полотно, независимо от класса линии, должно быть уширено дополнительно на 0,5 м в каждую сторону на протяжении 10 м от задней грани устоев, а на последующих 25 м постепенно сведено к нормальной ширине.
На стадии проектирования земляное полотно должно быть обследовано в соответствии с Инструкцией по содержанию земляного полотна железнодорожного пути. Выявленные дефекты – пучины, просадки пути, сплывы и оползания откосов насыпей и другие деформации земляного полотна должны быть устранены в соответствии с Техническими условиями на работы по реконструкции (модернизации) и ремонту железнодорожного пути до укладки бесстыкового пути.
1.2.2. Балластный слой.
На вновь укладываемых участках бесстыкового пути должен применяться щебеночный балласт.
Балластная призма должна содержаться в соответствии с типовыми поперечными профилями, приведенными в таблице 1.4.
Таблица 1.4 Номинальные размеры балластной призмы в зависимости от класса пути, см
Класс пути | Толщина слоя балласта в подрельсовой зоне (в кривых - по внутренней нити) без учета песчаной подушки, hщ | Ширинаплеча призмы, d |
1С, 2С | 40 | 45 |
1 и 2 | 40 | 45 |
3 | 40 | 40 |
4 | 30 | 40 |
5 | 20 | 40 |
Примечание:
1. Балластная призма указанных размеров должна состоять из очищенного или нового щебеночного балласта.
2. Под слоем нового или очищенного щебня нормируемой толщины могут находиться песчаная подушка толщиной 20 см, слой песчано-гравийной смеси или щебня фракций 5-25 мм, толщина которого определяется в проекте по ремонту пути. Вместо подушки также может быть уложен защитный разделительный слой из геотекстиля и геосентетического материала в соответствии с проектом по ремонту пути.
3. Крутизна откосов балластной призмы при всех видах балласта должна быть 1:1,5, а песчаной подушки -1:2, на путях 5 класса крутизна откосов допускается 1:2,5.
4. Находящийся в эксплуатации асбестовый, песчано-гравийный балласт при плановых видах ремонта пути должен быть заменен на щебеночный балласт.
Балластный слой по виду, качеству балласта и очертанию балластной призмы должен соответствовать требованиям Технических условий на работы по реконструкции (модернизации) и ремонту железнодорожного пути.
На участках со скоростями 201 – 250 км/ч при строительстве и реконструкции пути должен применяться щебень I-ой категории по ГОСТ Р54768-2011 «Щебень из плотных горных пород для балластного слоя железнодорожного пути».
Шпалы
На участках бесстыкового пути должны применяться железобетонные шпалы, в том числе на участках со сложными эксплуатационными, климатическими условиями в кривых радиусами 650 м и менее по нормам раздела 5 настоящей Инструкции при укладке бесстыкового пути должны применяться шпалы с повышенным сопротивлением сдвигу поперек оси пути (не менее 5,0 кН при сдвиге на 0,4 мм). При обосновании и согласовании с Управлением пути и сооружений Центральной дирекции инфраструктуры ОАО «РЖД» (далее – ЦДИ ЦП) разрешается применение шпал других типов, а также безбалластного основания. На линиях 3-5 классов специализаций линий «П», «Г» и «М» должны применяться, как правило, старогодные отремонтированные шпалы.
Эпюры шпал на путях линий 1 - 3-го классов должны быть: в прямых участках и в кривых радиусом более 1200 м - 1840 шт./км, радиусом
1200 м и менее - 2000 шт./км; на путях 4 - 5-го класса: в прямых и кривых радиусом более 1200 м - 1600 шт./км, радиусом 1200 м и менее - 1840 шт./км.
В местах примыкания рельсовых плетей бесстыкового пути с железобетонными шпалами к участкам звеньевого пути с деревянными шпалами, к стрелочным переводам с деревянными брусьями, башмакосбрасывателям, уравнительным приборам, мостам, эксплуатируемым с деревянными мостовыми брусьями преимущественно на линиях 4-5 классов, железобетонные шпалы следует укладывать в соответствии со схемами, приведенными на рисунках 1.1 и 1.2.
Рисунок 1.1 Схемы примыкания бесстыкового пути на железобетонных шпалах к звеньевому пути (а) и к стрелочному переводу (б)
Рельсовые плети бесстыкового пути на мостах с железобетонными плитами стыкуются с бесстыковым путем на железобетонных шпалах за его пределами, с укладкой в пределах челноков шпал с эпюрой 2000 шт./км.
а)
в)
Рисунок 1.2 Схемы расположения железобетонных и деревянных шпал при примыкании рельсовых плетей к мостам (а) и при укладке на мостах рельсовых плетей (б,в)
Стыкование участков бесстыкового пути на железобетонных шпалах с различными типами рельсовых скреплений, а также с железобетонными мостовыми шпалами на мостах осуществляется без изменения их эпюры в зоне переходов. Аналогичным образом стыкуется бесстыковой путь на железобетонных шпалах со стрелочными переводами на железобетонных брусьях.
На участках бесстыкового пути укладывать вновь деревянные шпалы запрещается. В местах размещения средств контроля технического состояния подвижного состава и нагрева букс укладываются специально разработанные железобетонные шпалы, на существующем пути допускается до проведения очередного ремонта использование деревянных шпал со скреплением КД, установленного на полное количество шурупов.
Промежуточные рельсовые скрепления
Промежуточные рельсовые скрепления, применяющиеся на бесстыковом пути, должны обеспечивать нагрузки, действующие на узел скрепления:
горизонтальных продольных сил – 14 кН;
боковых сил в прямых и в кривых радиусами 500 м и более – не менее 50 кН, в кривых радиусами менее 500 м – не менее 100 кН.
В сложных климатических, эксплуатационных условиях конструкция промежуточных рельсовых скреплений и нормы ее содержания на участках бесстыкового пути должны соответствовать требованиям, приведенным в разделе 5 настоящей Инструкции.
При укладке бесстыкового пути каждый узел скреплений должен обеспечивать нормативное прижатие рельса к основанию не менее 20 кН. Это достигается затяжкой гаек болтов и шурупов промежуточных скреплений с крутящим моментом в соответствии с требованиями таблицы 1.5.
Таблица 1.5 Нормы затяжки гаек болтов и шурупов при укладке бесстыкового пути и допускаемому понижению ее в процессе эксплуатации
Показатели | Крутящий момент, Н.м, при типах скреплений | |||||||
КБ65 | ЖБР-65 | ЖБР-65Ш,ЖБР-65ПШМ,ЖБР-65ПШ, СМ-1 | W-30 | |||||
клеммный болт | закладной болт | |||||||
Затяжка гаек болтов и шурупов при укладке бесстыкового пути | 150) | 120) | 180-200 | 220-250 | 300-350 | |||
Минимально допускаемое значение затяжки гаек болтов и шурупов в процессе эксплуатации | 100 | 70 | 120 | 150 | 200 | |||
) Для обеспечения запаса усилия прижатия затяжку гаек болтов скреплений КБ65 при укладке плетей и при подтягивании их в процессе эксплуатации необходимо производить с крутящим моментом: 200 Н.м (20 кгс.м) – для клеммных болтов; 150 Н.м (15 кгс.м) –закладных болтов. Для других типов рельсовых скреплений по утвержденным Управлением пути и сооружений техническим условиям, инструкциям.
Во избежание угона плетей в процессе эксплуатации средний крутящий момент затяжки болтов и шурупов промежуточных рельсовых скреплений не должен быть меньше минимально допускаемых значений, приведенных в таблице 1.5.
Анкерные скрепления типа АРС-4, Пандрол-350, КПП-5 при укладке бесстыкового пути должны обеспечивать прижатие рельса к основанию усилием не менее 20 кН. Минимально допускаемое значение усилия прижатия рельса в узле скрепления в процессе эксплуатации на прямых и в кривых участках радиусами более 1200 м должно быть не менее 17 кН, а в кривых радиусами 1200 м и менее – не менее 15 кН.
Монорегулятор скреплений АРС-4 при укладке бесстыкового пути должен быть установлен на 3-ю позицию. При выявлении участка пути с усилием прижатия рельса к основанию ниже допускаемого значения монорегулятор устанавливается на 4-ю позицию.
Рельсовое скрепление ЖБР-65Ш представлено на рисунке 1.3 и 1.4
Рисунок 1.3 Узел скрепления ЖБР-65Ш
Рисунок 1.4 Схема комплектации узла рельсового скрепления ЖБР-65Ш
Рельсовые плети
Новые рельсы, свариваемые в условиях рельсосварочных поездов (далее – РСП) в плети длиной 800 м и менее, именуемые далее короткими плетями, должны быть одного типа, одной марки стали, одинакового термического упрочнения, изготовлены на одном металлургическом комбинате и одной категории качества. На путях 1-го и 2-го классов, а также 3-го класса – при нехватке старогодных отремонтированных рельсов, плети свариваются из новых рельсов длиной до 100 м включительно. На остальных путях (3-5-го классов) плети свариваются из старогодных отремонтированных рельсов любой длины, но не короче 6,0 м.
Рельсы, свариваемые в плети бесстыкового пути, должны соответствовать требованиям Технических условий на работы по реконструкции (модернизации) и ремонту железнодорожного пути.
Сварка новых рельсов в плети должна производиться в соответствии с требованиями Стандарта ОАО «РЖД» Рельсы железнодорожные, сваренные электроконтактным способом. Технические условия.
Болтовые отверстия на концах рельсовых плетей и рельсов уравнительных пролетов по размерам и расположениям должны соответствовать требованиям ГОСТ Р 51685-2013. «Рельсы железнодорожные. Общие технические условия». Отверстий должно быть три на каждом конце плети или уровнительного рельса. Болтовые отверстия рельсов диаметром 36 и 22 мм должны иметь фаски размером от 1,5 до 3,0 мм снятые под углом около 45о.
На торцах этих рельсов по контуру головки делается фаска размером от 1 до 2 мм под углом 45о.
На участках железнодорожных линий 1, 2 и 3 классов линий специализации «В», «С», «О» и «Т» на мостах длиной более 25 м и в тоннелях применение старогодных рельсов не допускается. На участках пути 4 и 5 классов линий специализации «П», «Г» и «М» разрешается, по согласованию с начальником службы пути, укладывать на мостах рельсовые плети, сваренные из старогодных рельсов.
Электроконтактная сварка старогодных рельсов в плети должна производиться в соответствии с требованиями Технических условий на ремонт, сварку и использование старогодных рельсов «Рельсы железнодорожные старогодные».
Длины плетей устанавливаются проектом. На путях 1 и 2 классов линий с высокоскоростным «В», скоростным «С», особогрузонапряженным «О» и тяжеловесным «Т» движением поездов плети из новых рельсов свариваются электроконтактным способом (ПРСМ, машинами на комбинированном ходу и др.) до длины перегона и более. Стыки, сваренные электроконтактной сваркой, должны пройти термическую обработку.
На путях всех классов плети из старогодных рельсов могут свариваться между собой до длины перегона, блок-участка и менее как электроконтактной, так и алюминотермитной сваркой.
Плети, укладываемые в кривых должны иметь разную длину по наружной и внутренней нитям с тем, что бы их концы размещались по наугольнику. Не допускается забег концов плетей в стыках более 80 мм.
На участках с автоблокировкой с тональными рельсовыми цепями, не требующими укладки изолирующих стыков, или при условии вваривания в плети рельсовых вставок с высокопрочными изолирующими стыками, обеспечивающими усилие их разрыву не менее 2,3 МН, укладываются плети длиной, как правило, до перегона и более.
На участках c S-образными, одиночными или несколькими кривыми радиусами 350 м и менее, где наблюдается интенсивный боковой износ головки рельсов, разрешается укладывать короткие плети длиной не менее 350 м.Во всех остальных случаях, кроме участков пути между стрелочными переводами (см.п.2.6.9) укладываемые короткие плети также не должны быть короче 350 м.
Более короткие плети, но длиной не менее 100 м, могут укладываться между стрелочными переводами. При сварке стыков на стрелочном переводе между концами плетей и стрелочного перевода укладываются уравнительные стыки (раздел 3.5 Инструкции). Между концами не сваренных стрелочных переводов и плетей, которые могут свариваться из старогодных отремонтированных рельсов, укладывается две пары уравнительных рельсов длиной по 12,5 м. При этом концы плетей, уравнительных рельсов и стрелочного перевода должны стягиваться высокопрочными болтами. При их отсутствии длины плетей должны быть не менее 150 м.
Стыки, сваренные в РСП, отмечаются светлой несмываемой краской двумя вертикальными полосами шириной по 20 мм, которые наносят на всю шейку рельса внутри колеи симметрично оси стыка на расстоянии 100 мм с обоих сторон шва.
Стыки, сваренные ПРСМ и МСК, в таком же порядке отмечаются двумя парами вертикальных полос на расстоянии 250 мм с каждой стороны от середины стыка. Разметка стыков, сваренных алюминотермитной сваркой, должна производиться в соответствии с требованиями Технических условий
«Сварка рельсов алюминотермитная методом промежуточного литья» (ТУ 0921-127-01124323-2005) и изменений к ним.
Каждая эксплуатируемая плеть должна иметь маркировку. В проекте укладки бесстыкового пути каждой короткой плети присваивают порядковый номер, под которым она должна значиться в Журнале учета службы и температурного режима рельсовых плетей . Правую и левую плети по счету километров отмечают буквами П и Л.
В условиях РСП в начале и конце каждой плети, сваренной из новых или старогодных рельсов, на расстоянии 12,5 м от ее торцов на внутренней стороне шейки рельса (со стороны оси пути) светлой несмываемой краской наносятся: номер РСП, номер плети по сварочной ведомости и длина плети.
Учитывая выше изложенные требования, для укладки принята следующая конструкция пути:
Рельсы типа Р65 новые; шпалы железобетонные; промежуточное скрепление ЖБР-65Ш; эпюра шпал в кривой - 1840 шт/км; радиус кривой R = 1200 м; балласт щебеночный, толщина под шпалой 0,40 м;
1.3 Расчеты элементов верхнего строения пути на прочность в зимних и летних условиях при проходе современной подвижной нагрузки
1.3.1 Общие сведения
При воздействии подвижного состава в элементах верхнего строения пути возникают напряжения и деформации. Зависимость их от сил, действующих на путь, сложна и пока не поддается точному определению. Методика оценки воздействия подвижного состава на путь по условиям обеспечения его надежности [2] приняты следующие правила и предпосылки.
Рельс считается балкой бесконечно большой длины неизменяемого сечения, лежащей на сплошном равноупругом основании.
Путь и подвижной состав находятся в исправном состоянии, отвечающем требованиям ПТЭ.
Колеса подвижного состава при движении не отрываются от поверхности катания рельсов (рассматривается безударное движение).
Расчет ведется на вертикальные силы, приложенные по оси симметрии рельса. Из продольных горизонтальных сил учитываются только температурные силы, появляющиеся в рельсах.
Упругая реакция основания считается линейно зависящей от осадки.
Характеристики пути считаются постоянными величинами.
Влияние климатических факторов учитывается лишь при температурных воздействиях на рельсы и изменениях жесткости пути при промерзании шпал, балласта и земляного полотна.
Ввиду относительно небольшого влияния соседних колес принимается допущение, что давления от них имеют средние значения.
Собственные напряжения и неупругие сопротивления не учитываются.
Колебания массы колеса и пути в расчетах учитываются коэффициентом α0 (α0=0,401, αп=1,48 для пути с железобетонными шпалами).
За расчетное сечение пути принимаем сечение в зоне влияния изолированной неровности пути, которое экипаж проходит со сжатыми рессорами.
Дисбаланс колес не учитывается.
Рельс рассчитывается только на нормальное напряжение изгиба.
Расчет ведется по одному рельсу.
Несмотря на большое количество допущений, и предпосылок, расчет дает достаточно удовлетворительные результаты, совпадающие с экспериментальными данными.
Влияние допущений и неучтенных факторов компенсируется в расчетах введением коэффициента запаса Кн=1,3. Допускаемое расчетное напряжение от поездной нагрузки определяется из выражения
, (1.1)
где
- допускаемое напряжение рельсовой стали;
- температурные напряжения, действующие в рельсе.
За допускаемое напряжение
принимается гарантированный предел текучести рельсовой стали.
Допускаемое расчетное напряжение в рельсах бесстыкового пути, МПа, (с термоупрочненными рельсами) определяется как
, МПа. (1.2)
1.3.2 Расчет верхнего строения пути на прочность
Вертикальная динамическая максимальная нагрузка
, кг, колеса на рельс определяется по формуле[3]
, (1.3)
где Рср – среднее значение вертикальной нагрузки колеса на рельс, кг;
λ – нормирующий множитель, определяющий вероятность появления
, для расчетов принимаем λ = 2,5;
S – среднееквадратическое отклонение динамической вертикальной нагрузки колеса на рельс, кг.
Среднее значение вертикальной нагрузки Рср, кг, колеса на рельс определяется по формуле
, (1.4)
где Рст – статическая нагрузка колеса на рельс, кг (см. табл. 1.6);
- динамическая максимальная нагрузка колеса на рельс, возникающая за счет колебания кузова на рессорах, кг.
Динамическая максимальная нагрузка колеса на рельс
, кг, возникающая за счет колебания кузова на рессорах определяется по формуле
, (1.5)
где Ж – жесткость рессорного подвешивания, приведенная к колесу, кг/мм (см. табл. 1.6);
zмах – динамический прогиб рессорного подвешивания для локомотива 2ТЭ10В
(1.6)
Среднее квадратическое отклонение динамической вертикальной нагрузки колеса на рельс от вертикальных колебаний S, кг, определяется по формуле
, (1.7)
где Sp - среднее квадратическое отклонение динамической нагрузки колеса на рельс от вертикальных колебаний надрессорного строения, кг;
Sнп - среднее квадратическое отклонение динамической нагрузки колеса на рельс от сил инерции необрессоренных масс при прохождении колесом изолированной неровности пути, кг;
Sннк - среднее квадратическое отклонение динамической нагрузки колеса на рельс от сил инерции необрессоренных масс, возникающих из-за, движении колеса с плавной непрерывной неровностью на поверхности катания кг;
Sинк - среднее квадратическое отклонение динамической нагрузки колеса на рельс от сил инерции необрессоренных масс, возникающих из-за наличия на поверхности катания колес плавных изолированных неровностей, кг.
Среднее квадратическое отклонение динамической нагрузки колеса на рельс от вертикальных колебаний надрессорного строения
, кг, определяется по формуле
. (1.8)
Среднее квадратическое отклонение динамической нагрузки колеса на рельс от сил инерции необрессоренных масс
, кг, при прохождении колесом изолированной неровности пути определяется по формуле
, (1.9)
(1.10)
где L - коэффициент, учитывающий влияние на образование динамической неровности пути, типа шпал, типа рельсов, род балласта, материала шпал (см. табл. 1.7);
lш – расстояние между осями шпал: при эпюре шпал 1840 шт./кмlш =55см;;
U - модуль упругости рельсового основания, (см. табл. 1.7);
К – коэффициент относительной жесткости рельсового основания и рельса, см-1;
, (1.11)
где E – модуль упругости рельсовой стали, E=2,1∙106 кг/см2;
Jв – момент инерции поперечного сечения рельса относительно его центральной горизонтальной оси, проходящей через его центр тяжести, см4 (см. табл. 1.7)
q – вес необрессоренных частей экипажа, отнесенный к одному колесу, кг (см. табл. 1.6);
Рср – среднее значение вертикальной нагрузки колеса на рельс, кг;
V – скорость движения экипажа, км/ч.
Среднее квадратическое отклонение Sннк, кг, динамической нагрузки колеса на рельс от сил инерции необрессоренных масс
, кг, при движении колеса с плавной непрерывной неровностью поверхности катания определяется по формуле
, (1.12)
, (1.13)
где α0 – коэффициент, характеризующий отношение необрессоренной массы колеса к участвующей во взаимодействии массе пути (см. табл. 1.7);
β1 - коэффициент, характеризующий степень неравномерности образования проката поверхности катания, β1 = 0,23;
U - модуль упругости рельсового основания, кг/см2,
d – диаметр колеса, см .
Расчетная формула после подстановки известных численных значений приобретет вид
, (1.14)
Среднее квадратическое отклонение Sинк, кг, динамической нагрузки колеса на рельс от сил инерции необрессоренных масс
, кг, при движении колеса с плавной изолированной неровностью на поверхности катания определяется по формуле
, (1.15)
, (1.16)
где е – расчетная глубина плавной изолированной неровности на поверхности катания колеса, принимается равной 2/3 от предельной допускаемой глубины неровности, е=0,067 см;
умах – максимальный дополнительный прогиб рельса при прохождении колесом конусоидальной неровности, отнесенной к единице глубины неровности, умах = 1,47, см.
Максимальная эквивалентная нагрузка
, кг, для расчетов напряжений в рельсах от изгиба и кручения определяется по формуле
, (1.17)
где
- динамическая максимальная нагрузка от колес на рельс, кг;
μi – ординаты линии влияния изгибающих моментов рельса в сечениях пути, расположенных под колесными нагрузками от осей экипажа, смежных с расчетной осью ;
Рср – среднее значение вертикальной нагрузки колеса на рельс, кг.
Максимальная эквивалентная нагрузка
, кг, для расчетов напряжений и сил в элементах подрельсового основания определяется по формуле
, (1.18)
где
- динамическая максимальная нагрузка от колес на рельс, кг;
ηi – ординаты линии влияния прогибов рельса в сечениях пути, расположенных под колесными нагрузками от осей экипажа, смежных с расчетной осью;
Рср – среднее значение вертикальной нагрузки колеса на рельс, кг.
Определение расчетной оси
Для получения наибольших напряжений в рельсах необходимо иметь от системы заданных сил максимальное значение изгибающего момента
, а для напряжений на шпале, в балласте и на основной площадке земляного полотна – максимальное значение нагрузки на шпалу
. Они возникают под одним из колес расчетной оси.
При определении наибольших напряжений от изгиба и кручения в рельсах от воздействия эквивалентной нагрузки
за расчетную ось принимается первая ось (рис. 1.5). Аналогично принимается при расчетах наибольших напряжений и сил в элементах подрельсового основания от воздействия эквивалентной нагрузки
(рис. 1.6).
Рисунок 1.5 - Схема для определения наименее выгодного положения нагрузки
(выбора расчетной оси)
Рисунок 1.6 - Схема для определения наименее выгодного положения нагрузки
(выбора расчетной оси)
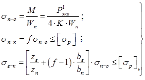
Максимальные напряжения изгиба и кручения в рельсах при воздействии вертикальных внецентренно приложенных и горизонтальных поперечных сил от колес подвижного состава определяются по формулам
(1.19)
где σ п-о – осевое напряжение в подошве рельса, кг/см2;
σ п-к – напряжение в кромке подошвы рельса, кг/см2;
σ г-к – напряжение в кромке головки рельса, кг/см2;
Wn – момент сопротивления рельса относительно наиболее удаленного волокна на подошве, см3 ;
К – коэффициент относительной жесткости рельсового основания и рельса, см -1;
- максимальная эквивалентная нагрузка для расчетов напряжений в рельсах от изгиба и кручения, кг;
zг и zn – расстояние от горизонтальной нейтральной оси до крайних волокон соответственно головки и подошвы с учетом износа, см;
bг и bn – ширина соответственно головки и подошвы рельса, см;
- коэффициент перехода от осевых напряжений к кромочным,
;
- расчетное допускаемое напряжение в рельса от поездной нагрузки, кг/см2.
Максимально напряжение в прокладках на железобетонных шпалах σпр, кг/см2, определяется по формуле
, (1.20)
где ω – площадь подкладки, см2.
Максимально напряжение в балласте под шпалой σб, кг/см2, определяется по формуле
, (1.21)
где Q– нагрузка на шпалу от рельса, кг;
- площадь полушпалы с поправкой на изгиб, см2;
lш – расстояние между осями шпал, см;
- максимальная эквивалентная нагрузка для расчетов напряжений в элементах подрельсового основания, кг.
Полученные в результате расчета напряжения σш и σб сравнивают с допускаемыми [σш] и [σб].
Превышение расчетных максимальных напряжений в рельсах σп-к,
σг-к над допускаемыми [σб] указывает на необходимость уменьшения скорости движения поездов по условию прочности пути.
Превышение расчетных напряжений в прокладках железобетонных шпал и напряжений в балласте σш и σб над допускаемыми [σш] и [σб] указывает на необходимость усиления пути и улучшения его текущего содержания на таких участках. Превышение расчетных напряжений над допускаемыми в пределах 30 % не является поводом для уменьшения скорости движения поездов.
Нормальные напряжения σh, кг/см2, в балласте на глубине h от подошвы шпалы по расчетной вертикали определяется по формуле:
, (1.22)
где
и
- напряжения от воздействий соответственно 1-й и 3-й шпал, лежащих по обе стороны от расчетной шпалы, кг/см2;
- напряжения от воздействий 2-й шпалы (расчетной) в сечении пути под колесом, кг/см2.
Рисунок 1.5 - Расчетная схема определения напряжений на основной площадке земляного полотна.
Нормальное напряжение в балластом слое и на основной площадке земляного полотна определяются на глубине h от подошвы шпалы в сечении пути под расчетным колесом. Расчетное колесо располагается по направлению оси шпалы.
Напряжение от воздействия 2-й шпалы (расчетной) в сечении пути под колесом, σh2, кг/см2, определяется по формуле
, (1.23)
где æ – коэффициент, учитывающий неравномерность распределения давления вдоль шпалы и пространственность приложения нагрузки, для пути с железобетонными шпалами, æ = 0,7;
m – переходный коэффициент от осредненного по ширине шпалы давления на балласт к давлению под осью шпалы, при m< 1 принимается m = 1, при m> 2 принимается m =2,
, (1.24)
где С1, С2 – коэффициенты, зависящие от ширины нижней постели шпалы b и глубины h, для железобетонных шпал b = 27,5 см.
, (1.25)
где σб – расчетное напряжение в балласте в подрельсовом сечении.
, (1.26)
где А – коэффициент, учитывающий расстояние между шпалами lш, ширину шпалы b и глубину h.
(1.27)
Углы
и
, радиан, определяются по формулам:
, (1.28)
где
и
– средние значения напряжений по подошве соседних с расчетной шпалы, кг/см2.
Напряжения в балласте под соседними с расчетной шпалами определяется из условия максимальной динамической нагрузки расчетного колеса, расположенного над расчетной шпалой, и средних нагрузок от остальных колес.
, (1.29)
где ηlш– ордината линии влияния перерезывающей силы, при x=lш;
–ордината линии влияния перерезывающей силы, при x=l1+ lш;
–ордината линии влияния перерезывающей силы, при x=l1–lш;
Для расчета верхнего строения пути на прочность принимаем локомотив 2ТЭ10В. Характеристики приведены в таблице 1.6.
Таблица 1.6 - Расчётные характеристики подвижного состава
| Наименование расчетных характеристики | Условные обозначения | Единица измерения | Величина |
| Тип и серия подвижного состава | - | - | 2ТЭ10В |
| Конструкционная скорость | Vконстр | км/ч | 100 |
| Статическая нагрузка от колеса на рельс | Рст | кг | 11500 |
| Жесткость рессорного подвешивания | Ж | кг/мм | 109 |
| Диаметр колеса по кругу катания | d | см | 105 |
| Колесная формула (Li –расстояние между центрами колесных пар тележки,Lo – расстояние между последней осью первой тележки и первой осью второй тележки) | Li | см | 185+185 |
| Lo | см | 630 |
Расчетные параметры, необходимые для определения нагрузок на путь и напряжений в элементах верхнего строения пути приведены в таблице 1.7.
Таблица 1.7 - Расчетные параметры верхнего строения пути
Наименование расчетных параметров | Условные обозначения | Единица измерения | Величина | |
зима | лето | |||
Тиа рельсов | - | - | Р65 | |
Приведенный износ | hпр | мм | 9 | |
План линии (круговая кривая) | R | м | 1200 | |
Модуль упругости подрельсового основания | U | кг/см2 | 1300 | 1200 |
Коэффициент относительной жесткости рельсового основания и рельса | K | см-1 | 0,0142 | 0,0145 |
Момент инерции рельса относительно его центральной горизонтальной оси | Jв | см4 | 2998 | |
Расстояния от горизонтальной нейтральной оси до крайних волокон соответственно головки и подошвы рельса | zг | см | 9,68 | |
zп | см | 7,42 | ||
Ширина головки и подошвы рельса | bп | см | 15 | |
bг | см | 7,5 | ||
Момент сопротивления поперечного сечения рельса относительно наиболее удаленного волокна на подошве | Wп | см3 | 404 | |
Продолжение таблица 1.7
Коэффициент, учитывающий влияние на образование динамической неровности пути типа шпал α1, типа рельсов β, рода балласта γ, материала шпал ε | L | - | 0,87 |
Коэффициент, учитывающий отношение необрессоренной | α0 | - | 0,433 |
Расстояние между осями шпал | lш | см | 51 |
Площадь подкладки | ω | см2 | 612 |
Площадь полушпалы с поправкой на изгиб | Ωα | см2 | 3853 |
Итог расчётов приведен в табл. 1.8
Таблица 1.8 - Определение вертикальной динамической максимальной нагрузки от колеса на рельс.
V, км/ч | zmax,см | Ррmax,кг | Рср, кг | Sp,кг | Sнп,кг | |
зима | лето | |||||
30,00 | 11,76 | 3529,20 | 14646,90 | 282,34 | 1684,68 | 1735,79 |
60,00 | 14,36 | 4306,80 | 15230,10 | 344,54 | 3503,53 | 3609,81 |
90,00 | 18,68 | 5602,80 | 16202,10 | 448,22 | 5590,69 | 5760,29 |
Продолжение таблицы 1.8
Sинк,кг | Sннк,кг | S,кг | Рдинmax , кг | ||||
зима | лето | зима | лето | зима | лето | зима | лето |
1267,63 | 1345,70 | 20,98 | 21,54 | 1731,66 | 1784,28 | 15945,64 | 15985,11 |
83,92 | 86,17 | 3515,84 | 3639,65 | 17866,98 | 17959,84 | ||
1267,63 | 1345,70 | 188,82 | 193,88 | 5608,00 | 5780,79 | 20408,10 | 20537,69 |
| | | | | | | ||
Таблица 1.9 - Значения и для 2ТЭ10В.
μi | ɳi | ||
зима | лето | зима | лето |
0,007 | 0,0079 | -0,0179 | -0,0155 |
0,007 | 0,0079 | -0,0179 | -0,0155 |
Таблица 1.10 - Расчет эквивалентных нагрузок на путь.
V, км/ч | Рдинmax | ƩμiРср, кг | ||
зима | лето | зима | лето | |
30,00 | 15945,64 | 15985,11 | 102,53 | 115,71 |
60,00 | 17866,98 | 17959,84 | 106,61 | 120,32 |
90 | 20408,10 | 20537,69 | 13,41 | 128,00 |
Продолжение таблицы 1.10
ƩɳiРср, кг
PэквI, кг
PэквII, кг
зима
лето
зима
лето
лето
зима
-262,18
-227,03
16048,17
16100,82
15683,46
15758,09
-272,62
-236,07
17973,59
18080,15
17594,36
17723,77
-290,02
-251,13
20521,52
20665,69
20118,09
20286,56
Таблица 1.11 - Расчет напряжений в элементах верхнего строения пути.
ƩɳiРср, кг | PэквI, кг | PэквII, кг | |||
зима | лето | зима | лето | лето | зима |
-262,18 | -227,03 | 16048,17 | 16100,82 | 15683,46 | 15758,09 |
-272,62 | -236,07 | 17973,59 | 18080,15 | 17594,36 | 17723,77 |
-290,02 | -251,13 | 20521,52 | 20665,69 | 20118,09 | 20286,56 |
V, км/ч | σn-o , кг/см2 | σn-к, кг/см2 | σг-к , кг/см2 | |||
зима | лето | зима | лето | зима | лето | |
30,00 | 701,33 | 689,51 | 1094,07 | 1075,63 | 1111,31 | 1092,58 |
60,00 | 785,47 | 774,27 | 1225,33 | 1207,86 | 1244,64 | 1226,90 |
90 | 896,82 | 884,99 | 1399,04 | 1380,59 | 1421,08 | 1402,35 |
Продолжение таблицы 1.11
σш, кг/см2 | σб, кг/см2 | Допускаемые | |||
зима | лето | зима | лето | ||
9,25 | 9,49 | 1,47 | 1,51 | σш=16, кг/см2 | |
10,38 | 10,67 | 1,65 | 1,69 | σб=4,2, кг/см2 | |
11,87 | 12,21 | 1,89 | 1,94 | | |
Полученные в результате расчета напряжения σш и σб сравнивают с допускаемыми [σш] и [σб]. В соответствии с [2] принимаем [σш]=30 кг/см2, [σб]=5 кг/см2. Данные расчетов не превышают допустимые значения следовательн, уменьшение скорости на данном участке не требуется.
Расчетные напряжения на уровне основной площадки землянного полотна (таб. 1.12).
Таблица 1.12 - Расчет напряжений в элементах верхнего строения пути.
V, км/ч | σh , кг/см2 | σh1 , кг/см3 | σh2 , кг/см4 | |||
зима | лето | зима | лето | зима | лето | |
30 | 0,473 | 0,482 | 0,063 | 0,063 | 0,350 | 0,359 |
60 | 0,531 | 0,542 | 0,071 | 0,071 | 0,392 | 0,403 |
90 | 0,607 | 0,616 | 0,081 | 0,081 | 0,448 | 0,461 |
Продолжение таблицы 1.12
σh3 , кг/см5 | A | Θ1, рад | Θ2, рад | σб, кг/см2 | σb1, кг/см2 | ||||
зима | лето | зима | лето | зима | лето | ||||
0,060 | 0,060 | 0,278 | 0,9132 | 0,6403 | 1,47 | 1,51 | 1,02 | 1,02 | |
0,068 | 0,068 | 1,65 | 1,69 | 1,14 | 1,15 | ||||
0,078 | 0,074 | | | | 1,89 | 1,94 | 1,30 | 1,31 | |
Продолжение таблицы 1.12
σb3, кг/см2 | Pэкв.б1II | Pэкв.б3II | |||
зима | лето | зима | лето | зима | лето |
0,97 | 0,97 | 10866,65 | 10654,37 | 10396,48 | 10184,2 |
1,10 | 1,10 | 12182,97 | 11975,22 | 11694,08 | 11486,33 |
1,26 | 1,26 | 13922,73 | 13698,68 | 13402,65 | 13178,6 |
Продолжение таблицы 1.12
Рдинmaxɳlш | Рсрɳ' | Рсрɳ'' | ||||
зима | лето | зима | лето | зима | лето | |
10953,06 | 10710,03 | -86,4167 | -55,6582 | -556,582 | -525,824 | |
12272,83 | 12033,09 | -89,8576 | -57,8744 | -578,744 | -546,761 | |
14018,33 | 13760,25 | -95,5924 | -61,568 | -615,68 | -581,655 | |
Напряжения в балласте под шпалами определяются из условия максимальной динамической нагрузки расчетного колеса, расположенного над расчетной шпалой, и средних нагрузок от остальных колес.
Т.к. полученные результаты не превышают максимально допустимых норм, то данная конструкция пути соответствует всем нормам прочности пути и не требует каких-либо изменений.
Напряжения в элемнтах верхнего строения пути на Ургальской дистанции расчетные и допускаемые для V = 70 км/ч:
σn-o = 766.44 кг/см2 < 2000 кг/см2
σш = 10.1 кг/см2 < 20 кг/см2
σб = 1.6 кг/см2 < 4.5 кг/см2
σh = 0.5 кг/см2 < 1.1 кг/см2
Из полученных значений видно, что они не превышают допускаемых. Следовательно условие выполняется.
1.4 Определение устойчивости пути против поперечного сдвига.
Поперечный сдвиг рельсошпальной решетки под поездом является прямой угрозой безопасности движения поездов. При неблагоприятных сочетаниях, воздействующих на путь вертикальных и горизонтальных поперечных сил может произойти поперечный сдвиг рельсошпальной решетки по балласту, особенно загрязненному или в талом состояние.
Рисунок 1.7 – Расчетная схема определения поперечной устойчивости пути
Р1 и Р2 – нагрузка от колеса на рельсы; Yб – боковая сила на упорный рельс; Q1 и Q2 – давление рельсов на шпалу; Нш-1 и Нш-z – поперечные силы, действующие на шпалу от двух рельсов; С0 – начальное сопротивление смещению шпалы; Fтр – сила трения шпалы по балласту; fр – коэффициент трения скольжения колеса по рельсу.
Из расчета на прочность известно [2], что:
, (1.30)
где кв – коэффициент относительной жесткости подрельсового основания и рельса, кв = 1,578, м-1;
l – расстояние между осями шпал, м.
Удерживающая от сдвига шпал сила – сопротивление их поперечному перемещению в балласте определяется по формуле
, (1.31)
где С0 – начальное сопротивление смещению шпал при отсутствии вертикальной нагрузки, С0 = 2 кг;
Fтр – сила трения шпалы по балласту при наличии вертикальной нагрузки, кг;
- коэффициент трения шпалы по балласту.
Поперечная сдвигающая сила является равнодействующей двух сил, приложенных к рельсам и определяется по формуле
, (1.32)
где fp – коэффициент трения скольжения колеса по рельсу,
fp=0,25.
Поскольку наибольшие боковые силы передаются, как правило, от первых направляющих колес, сила трения
принимается со знаком минус.
Поперечная сдвигающая сила Нш-1, действующая на шпалу от наружного рельса, и поперечная сила Нш-2, действующая на шпалу от второго (внутреннего) рельса и препятствующая сдвигу, определяется по формуле
, (1.33)
, (1.34)
где кг – коэффициент относительной жесткости подрельсового основания и рельса в горизонтальной плоскости, м-1.
(1.35)
Суммарная сила, сдвигающая шпалу, определяется по формуле
, (1.36)
При торможении в кривой возникает дополнительная поперечная сила, которая определяется по формуле
(1.37)
где Nт – тормозная сила, кг;
Lc – расстояние между центрами автосцепок вагона, м.
Nт1= | 0кг | Yб-1= | 7200 кгс |
Nт2= | 70000кг | Yб-2= | 9700 кгс |
Nт3= | 100000кг | Yб-3= | 11000 кгс |
Коэффициент устойчивости пути против поперечного сдвига под поездом определяется отношением удерживающих и сдвигающих сил определяется по формуле
, (1.38)
После сокращения на l / 2 формула примет вид
, (1.39)
Рассмотрим случай предельного равновесия, т.е. примем n = 1. При этом получим
, (1.40)
Отсюда видно, что путь под поездом с осевой нагрузкой Рср оказывается в предельном равновесии, если поперечная боковая сила достигает величины
. (1.41)
После деления левой и правой части на величину Рср получим предельно допустимое отношение поперечной боковой силы к вертикальной
, (1.42)
где fш – коэфициент трения железобетонной шпалы на щебне, fш = 0,25.
Путь можно считать устойчивым, если
>
.
Итоговый расчет приведен в таблице 1.14
Таблица 1.14 – Устойчивость пути против поперечного сдвига
V, км/ч | Рср | Qш | Tуд | h | aнп | H1-1 | H1-2 | H1-3 |
60,00 | 15230,10 | 6199 | 3101,33 | -12,50 | 0,31 | 11007,525 | 13507,525 | 14807,525 |
90,00 | 16202,10 | 6594 | 3299,13 | 16,67 | 0,31 | 11250,525 | 13750,525 | 15050,525 |
Продолжение таблицы 1.14
H1ш-1 | H2ш-1 | H3ш-1 | Hш-2 | T1 сдв | T2 сдв | T3 сдв | Yб/Pср | Y1б/Pср | Y2б/Pср |
2890,8 | 3894,55 | 4416,5 | -1528,72 | 1362,08 | 2365,83 | 2887,78 | 1,16 | 0,47 | 0,64 |
-1626,29 | 1264,51 | 2268,26 | 2790,21 | 1,16 | 0,44 | 0,60 |
Вывод: Исходя из расчетов видно, что условие
>
выполняется.
2. ВЫПРАВКА ПРОДОЛЬНОГО ПРОФИЛЯ И ПЛАНА ПУТИ
2.1 Электронный паспорт плана и продольного профиля участка Дальневосточной железной дороги
Электронный паспорт плана и продольного профиля участка железнодорожной линии Ургал - Комсомольск Дальневосточной железной дороги создан на основе программы ПК ИССП (программный комплекс инструментальной съемки станций и перегонов).
Программный комплекс составления масштабных планов станций, паспортизации плана и продольного профиля станционных путей на основе данных инструментальной съемки предназначен для обеспечения единой технологии автоматизированной обработки геодезических измерений, составления и ведения данных для дальнейшего решения функциональных задач управления инфраструктурой путевого хозяйства и инфраструктуры железнодорожного транспорта.
Комплекс позволяет:
- реализовать единую технологию обработки геодезических измерений по съемке станций, продольных профилей станционных путей с обеспечением выполнения всех требований к составу и форме представления данных;
- автоматизировать задачу составления масштабных планов станций и продольных профилей станционных путей;
- получить наиболее полную информацию для эффективной эксплуатации станций;
- повысить уровень контроля за своевременностью и качеством составления масштабных планов станций, их ведения и корректировки;
- использовать данные для решения широкого круга задач эксплуатации и управления инфраструктурой железнодорожного транспорта.
Работа начинается с ввода данных об участках пути (наименование участка, действительный километраж участка, данные о плане, продольном профиле, спрямленном профиле пути, профиле бровки, земляном полотне и т. д.), неправильных километров и пикетов. Далее вводятся данные по плану участка (см. рис. 2.1): начало кривой, направление, угол поворота, радиус, длины переходных кривых и возвышение наружного рельса в кривой. Величина длины и конца кривой вычисляются программой автоматически. Также при возможно проверить «План участка» на наличие ошибок (отрицательных прямых вставок), и произвести перерасчет ККК.
Рис. 2.1 Ввод плана участка существующей железнодорожной
линии
Ввод существующего профиля земли производится также в табличной форме рис. 2.2. Заносятся данные начала, конца элемента профиля, отметки, а его длина и уклон рассчитываются автоматически.
Рис. 2.2 Ввод существующего профиля земли
Далее в программу вводится профиль земли (километр, пикет и отметка земли) рис. 2.3.
Рис. 2.3 Ввод профиля земли
Ввод искусственных сооружений начинается с таблицы, где необходимо указать расположение сооружения. Далее из списка типов сооружений, предложенных программой, необходимо выбрать нужный. Устанавливается направление и сторонность, заносится наименование. Пример ввода искусственных сооружений показан на рис. 2.4.
Рис. 2.4 Ввод искусственных сооружений
Программа позволяет не только вводить данные, но и дает возможность при необходимости производить их корректировку.
Так же программа позволяет вводить данные о толщине балласта, профиле бровки земляного полотна и д.р.
2.2 ПРОЕКТИРОВАНИЕ РЕКОНСТРУКЦИИ ПРОДОЛЬНОГО ПРОФИЛЯ
2.2.1. Описание существующего программного обеспечения по проектированию продольного профиля «DOROGA_OCX»
Одной из самых сложных задач является проектирование реконструкции продольного профиля пути. Для ее решения разработано программное обеспечение на кафедре «Изыскания и проектирование железных дорог» Дальневосточного Государственного Университета путей сообщения
Целью проектирования является укладка проектной линии такого очертания, при котором минимизируются ее отклонения от продольного профиля существующего пути, в условиях соблюдения заданных условий и норм проектирования. При этом предпочтение отдается исправлению искажений продольного профиля существующего пути посредством подъемки его на балласт.
Нормами проектирования накладываются ограничения на минимальную длину элементов профиля, максимальную алгебраическую разность сопрягаемых уклонов и их крутизну. Кроме этого, учитываются ограничения на взаимное расположение переходных кривых в плане и вертикальных кривых в профиле, фиксацию проектных отметок, недопустимость срезок балласта и земляного полотна.
Ограничения могут накладываться также на величины подъемок, что обусловлено необходимостью сохранения существующего земляного полотна и искусственных сооружений.
К основным относятся натурные данные - описание пикетажа, продольного профиля, плана, верхнего строения пути и условий примыкания проектируемого участка к смежным (отметки, уклоны), а также проектные установки (минимальная длина элементов профиля, ограничивающие уклоны по направлениям, разности уклонов, предельные величины подъемок и срезок), распространяемые на весь участок проектирования.
Ввод всех основных исходных данных перед началом проектирования обязателен.
К дополнительным исходным данным, которые могут и отсутствовать, относятся проектные установки, характеризующие условия проектирования продольного профиля в отдельных зонах проектируемого участка фиксация проектных отметок, допускаемые срезки и подъемки, уклоны и разности уклонов, длины элементов профиля, радиусы вертикальных кривых, снятие ограничений по взаимному расположению элементов плана и продольного профиля.
После ввода исходных данных выполняется проектирование реконструкции продольного профиля существующего железнодорожного пути.
Основной режим работы - корректировка проектной линии (предварительно проводится программой), обеспечивающая минимизацию объемов работ по приведению профиля пути к правильному геометрическому очертанию при соблюдении всех заданных норм и условий проектирования.
Комплекс программ "DOROGA_OCX" написан на языке FoxPro и предназначен для работы на ПЭВМ совместимых с IBM PC в операционной среде MS Windows.
Работа начинается с указания рабочей папки, в которой будут находиться все файлы.
Рис. 2.5 Выбор рабочей папки
После выбора рабочей папки в «DOROGA_OCX» можно сразу приступать к проектированию ПГР.
Рис. 2.6 Переход в режим проектирования
Появляется продольный профиль, на котором нанесены линии земли, СГР, РГР, ПГР (красная линия), которую, в свою очередь, можно изменять. Внизу автоматически подсчитываются проектные уклоны, алгебраическая разность между ними и в случае, если она превышает нормы, мигает красным напоминая пользователю о том, что в данном месте отступление от норм проектирования.
Рис. 2.7 Режим проектирования
В свою очередь нормы проектирования можно задавать. Для этого следует нажать кнопку «Ограничения». Появится следущее окно:
Рис. 2.8 Задание норм проектирования
– задается максимальный уклон вверх/вниз, если где-то уклон превышает заданный, программа будет напоминать об этом;
– максимальная разность уклона, при превышении мигает красным цветом;
– минимальная длина элемента (программа не позволяет делать длину элемента меньше)
– радиус вертикальной кривой (для подсчета вертикальных тангенсов)
– горизонтальный и вертикальный шаги задаются для удобства работы с программой.
Внизу окна программы показаны существующие уклоны и план линии, для удобства работы (например, смотреть существующий уклон на ИССО или следить за совпадением вертикальной кривой в местах перелома профиля и переходной кривой на концах круговой):
Там же в нижней части окна показываются подъемки (красный) и срезки (черный). Здесь уже программа не ограничивает пользователя и ему предстоит самому решать оптимальны срезки-подъемки или нет.
Срезки-подъемки всегда считаются как разность ПГР и СГР, т.к. в условиях реконструкции существующей железной дороги чаще всего нам неизвестен низ балластного слоя, следовательно, подсчитать РГР не представляется возможным. В течение длительной эксплуатации железной дороги чаще ведутся подъемочные ремонты (особенно если линия не электрифицирована и подъемки ничем не ограничены) из-за чего толщина балласта лишь увеличивается. Что касается его качества, то этот момент вообще трудно проследить на всей линии. Поэтому мы вынуждены делать какие-либо предпосылки при проектировании реконструкции. В данном случае мы принимаем толщину балластного слоя достаточную на протяжении всей линии.
Касательно ширины основной площадки данные также отсутствуют. Но даже предполагая, что в некоторых местах имеются отступления от современных норм, вряд ли целесообразно ради увеличения ширины основной площадки на 20 см присыпать 2 м полотна (а то и больше зависит от техники) с двух сторон или с одной стороны со смещением оси трассы. Это целесообразно делать лишь в местах, где мы вынуждены смещать ось трассы (большие подъемки, изменение плана трассы вследствие удлинения прямых вставок, увеличения радиуса кривой и т.п.)
При проектировании следует учитывать ограничения на взаимное расположение переходных кривых и переломов. В пределах переходных кривых и на подходах к ним допускаемая разность уклонов ограничивается таким образом, что тангенс вертикальной кривой (если она устраивается) располагается вне переходных кривых. В соответствии с нормами проектирования вертикальная кривая устраивается в тех случаях, когда ее биссектриса
равна или превышает 0.01 м или разность сопрягаемых уклонов |i1-i2| больше или равна
, где Rв - радиус вертикальной кривой. Тангенс вертикальной кривой Tв=Rв*|i1-i2|/2000 м. Для второй категории дороги это переломы с Δi>2,3‰
После завершения работы следует сохраниться (можно сохраняться и в процессе работы с программой во избежание потери данных). Затем эти базы данных конвертировать обратно в ПК ИССП и можно начертить утрированный продольный профиль в программе Profile. Для этого необходимо указать папку с данными.
Рис.2.9 Выбор папки в Profile
После выбора следует нажать меню «Нарисовать» задать необходимые параметры (утрированный профиль, начало-конец участка):
Рис. 2.9 Создание утрированного профиля в программе Profile
2.3 Проектирование реконструкции продольного профиля перегона
Проектирование реконструкции продольного профиля было выполнено с помощью программного модуля “Doroga_Ocx”, описанного в пункте 4.1. Результаты представлены в графической части.
2.3.1 Нормы проектирования реконструкции продольного профиля
Согласно СТН [30] принимаем следующие нормы проектирования реконструкции продольного профиля:
максимальная разность сопрягаемых уклонов
;
минимальная длина элементов продольного профиля
;
радиусы вертикальных кривых принимаем
.
2.4. Определение эффективности проектирования реконструкции продольного профиля
Эффективность проектирования реконструкции продольного профиля перегона Ургал - Комсомольск определялась с помощью проведения тяговых расчетов путем сравнения результатов до и после реконструкции.
Тяговые расчеты по данным графика движения поездов выполнены с помощью программы ИСКРА-ПТР-2.0 с учетом электронного паспорта плана и реконструированного продольного профиля данного перегона.
Результаты сравнения приведены в таблице 2.9. и 2.10.
Как видно из таблиц, придание продольному профилю «правильных» очертаний (выдерживание алгебраической разности уклонов, минимальной длины элемента) позволит сэкономить на расходе топлива 12% топлива (1513,7 т. на один поезд).
Рисунок 2.9 До реконструкции участка
Рисунок 2.10 После реконструкции участка
Также выполнены расчеты экономии реконструируемого данного участка с учетом стоимости электроэнергии.
Потребная пропускная способность грузовых поездов в год определяется
,поездов (2.1)
где Г – размер грузовых перевозок в год; Г = 20,4 млн.т. км брутто/км в год; γ – коэффициент внутригодичной неравномерности грузовых перевозок (γ = 1,1); Qнср – средняя масса поезда нетто, т(Qср*0,75 = 3375 нетто, т)
поездов
Определяется экономия расхода электроэнергии после реконструкции для одного состава
,руб. (2.2)
где С – цена электричества за кВт/ч (С=4,15 руб.) V – расход электроэнергии до реконструкции (Рисунок 2.9) Vрек - расход электроэнергии после реконструкции (Рисунок 2.10)
руб.
Экономия электроэнергии при годовом пропуске поездов
руб. (2.3)
руб.
Из расчетов можно увидеть какую выгоду принесет реконструкция за год эксплуатации.
3.ПРОЕКТ ОРГАНИЗАЦИИ РАБОТ ПО КАПИТАЛЬНОМУ РЕМОНТУ ПУТИ С ГЛУБОКОЙ ОЧИСТКОЙ ЩЕБНЯ
3.1 Общие соображения и предпосылки
Характеристики
Тип файла документ
Документы такого типа открываются такими программами, как Microsoft Office Word на компьютерах Windows, Apple Pages на компьютерах Mac, Open Office - бесплатная альтернатива на различных платформах, в том числе Linux. Наиболее простым и современным решением будут Google документы, так как открываются онлайн без скачивания прямо в браузере на любой платформе. Существуют российские качественные аналоги, например от Яндекса.
Будьте внимательны на мобильных устройствах, так как там используются упрощённый функционал даже в официальном приложении от Microsoft, поэтому для просмотра скачивайте PDF-версию. А если нужно редактировать файл, то используйте оригинальный файл.
Файлы такого типа обычно разбиты на страницы, а текст может быть форматированным (жирный, курсив, выбор шрифта, таблицы и т.п.), а также в него можно добавлять изображения. Формат идеально подходит для рефератов, докладов и РПЗ курсовых проектов, которые необходимо распечатать. Кстати перед печатью также сохраняйте файл в PDF, так как принтер может начудить со шрифтами.
, (1.1)
- допускаемое напряжение рельсовой стали;
- температурные напряжения, действующие в рельсе.
, МПа. (1.2)
, кг, колеса на рельс определяется по формуле[3]
, (1.3)
, (1.4)
- динамическая максимальная нагрузка колеса на рельс, возникающая за счет колебания кузова на рессорах, кг.
, (1.5)
(1.6)
, (1.7)
, кг, определяется по формуле
. (1.8)
, кг, при прохождении колесом изолированной неровности пути определяется по формуле
, (1.9)
(1.10)
, (1.11)
, кг, при движении колеса с плавной непрерывной неровностью поверхности катания определяется по формуле
, (1.12)
, (1.13)
, (1.14)
, кг, при движении колеса с плавной изолированной неровностью на поверхности катания определяется по формуле
, (1.15)
, (1.16)
, кг, для расчетов напряжений в рельсах от изгиба и кручения определяется по формуле
, (1.17)
, кг, для расчетов напряжений и сил в элементах подрельсового основания определяется по формуле
, (1.18)
, а для напряжений на шпале, в балласте и на основной площадке земляного полотна – максимальное значение нагрузки на шпалу
. Они возникают под одним из колес расчетной оси.
за расчетную ось принимается первая ось (рис. 1.5). Аналогично принимается при расчетах наибольших напряжений и сил в элементах подрельсового основания от воздействия эквивалентной нагрузки
(рис. 1.6).
(1.19)
- коэффициент перехода от осевых напряжений к кромочным,
;
- расчетное допускаемое напряжение в рельса от поездной нагрузки, кг/см2.
, (1.20)
, (1.21)
- площадь полушпалы с поправкой на изгиб, см2;
, (1.22)
и
- напряжения от воздействий соответственно 1-й и 3-й шпал, лежащих по обе стороны от расчетной шпалы, кг/см2;
- напряжения от воздействий 2-й шпалы (расчетной) в сечении пути под колесом, кг/см2.
, (1.23)
, (1.24)
, (1.25)
, (1.26)
(1.27)
и
, радиан, определяются по формулам:
, (1.28)
и
– средние значения напряжений по подошве соседних с расчетной шпалы, кг/см2.
, (1.29)
–ордината линии влияния перерезывающей силы, при x=l1+ lш;
–ордината линии влияния перерезывающей силы, при x=l1–lш;
, (1.30)
, (1.31)
- коэффициент трения шпалы по балласту.
, (1.32)
принимается со знаком минус.
, (1.33)
, (1.34)
(1.35)
, (1.36)
(1.37)
, (1.38)
, (1.39)
, (1.40)
. (1.41)
, (1.42)
>
.
равна или превышает 0.01 м или разность сопрягаемых уклонов |i1-i2| больше или равна
, где Rв - радиус вертикальной кривой. Тангенс вертикальной кривой Tв=Rв*|i1-i2|/2000 м. Для второй категории дороги это переломы с Δi>2,3‰
;
;
.
,поездов (2.1)
поездов
,руб. (2.2)
руб.
руб. (2.3)
руб.















