ПЗ диплом (1204914), страница 21
Текст из файла (страница 21)
Имеется в виду, что промерзание боковой поверхности и откосов обеспечит их устойчивость от обрушения. Разработка котлованов в сухих песчаных и сыпучемерзлых грунтах способом промораживания не допускается.
Определим максимальную глубину разработки в суглинке, при которой будет обеспечена ее устойчивость, если требуемый угол откоса разработки равен 700.
Методикой, основанной на теории устойчивости горных пород, можно воспользоваться, если разработка грунта (уступ, траншея, котлован) ведется в связных грунтах и требуемая глубина разработки не превышает 5 м[16]:
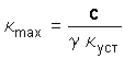
, (6.1.)
где
– коэффициент сцепления; c – удельное сцепление грунта, кг/м2; g – плотность грунта, кг/м3; c и g принимаются по справочным данным, табл. 1;
– коэффициент устойчивости, равный 1,5–3.
Таблица 1 Примерные значения плотности грунта g ; удельного сцепления грунта c; угла внутреннего трения
[15]
| Наименование грунтов | Характеристики грунтов | ||
|
|
| ||
| Супесь | 1750–2200 | 3–13 | 21–28 |
| Суглинок | 1650–2100 | 15–39 | 17–24 |
| Глина | 1750–2300 | 32–57 | 11–18 |
| Песок | 1300–1800 | 1–3 | 35–40 |
Для суглинка принимаем с = 15 кПа = 1500 кг/м2; j = 170; g = 1650 кг/м3;
=1,5
, (6.2.)
где φ΄– угол естественного откоса, град; φ – угол внутреннего трения, град, принимается по справочным данным табл. 1.
Значение φ΄ без учета коэффициента устойчивости можно также определить по нормативным значениям[16].
Критическую высоту уступа для связных грунтов, м, определим по формуле
где α – заданный угол откоса разработки, град,
В реальных условиях при определении предельной глубины котлована Hпред вводится коэффициент запаса 1,2–2, обычно принимаемый равным 1,25[16]:
Таким образом,
м, т.е. максимальная глубина разработки в суглинке, обеспечивающая ее устойчивость при данном угле откоса разработки, будет равна 1,78 м.
6.4. Минимизация негативного воздействия на окружающую природную среду при строительстве железной дороги
В целях уменьшения загрязнения атмосферного воздуха в период строительства токсичными соединениями при существующем строительстве новой подъездной железнодорожной дороги к Эльгинскому месторождению углей предусматриваются следующие мероприятия:
-
обязательная диагностика на допустимую степень выброса вредных веществ в атмосферу двигателей транспортных средств, строительных машин и механизмов;
-
осуществление запуска и прогрева двигателей транспортных средств, строительных машин по утвержденному графику;
-
запрет на оставление техники с работающими двигателями в ночное время;
-
оснащение котельных, электростанций, строительных баз, городков строителей и других стационарных источников вредных выбросов оборудованием по эффективной очистке, обезвреживанию и утилизации уловленных продуктов.
Для снижения уровня шумовых воздействий от источников (экскаваторы, бульдозеры, передвижные электростанции, краны, растворобетонные узлы и др.) использовать усовершенствованные конструкции глушителей, защитные кожухи, многослойные покрытия капотов из резины, поролона и т. п.
Снижение воздействия на воздушную среду в период эксплуатации строительных машин:
Мероприятия носят как технологический, так и организационный характер.
К организационным мероприятиям относится выбор площадок в местах, удаленных от существующих зон жилой застройки и с учетом господствующих ветров.
К технологическим решениям относится применение ГПА последнего поколения с концентрацией оксидов азота в выхлопных газах не более 100 мг/нм3.
В целях предотвращения и минимизации возможного ущерба, наносимого водным объектам при их пересечении, выбор створов переходов будет осуществляться на наиболее устойчивых к деформациям участках.
Для сокращения ущерба, наносимого ихтиофауне и окружающей природной среде, предусматриваются следующие организационно-технические мероприятия:
-
производство работ при протаскивании газопровода в подводную траншею исключительно в межнерестовый период в сроки, согласованные со службой рыбоохраны;
-
сокращение до минимума сроков укладки в подводные траншеи трубопроводов.
Для поддержания естественного водного режима, восстановления пропускной
способности русел рек и мелиоративных каналов после окончания строительных работ предусматривается расчистка их живого сечения от наносов, ила, бревен, корней деревьев, строительных отходов, а также остатков автодорожных переездов.
Для закрепления поверхности естественного рельефа, подвергшегося воздействию со стороны тяжелой строительной техники, предусмотрены следующие мероприятия:
-
защита почвенного покрова от эрозии, включающая работы по организации стока поверхностных вод в местах пересечения оврагов и логов, закреплению береговых склонов водотоков с использованием НСМ и дощатых ячеек, устройству глиняных и каменных перемычек в траншеях на крутых склонах, устройству нагорных канав;
-
полное восстановление до первоначального профиля коренных и русловых берегов, подвергшихся подрезке и перепланировке для укладки трубопровода на глубину расчетного профиля, с послойным уплотнением и закреплением поверхности посевом трав быстрой всхожести;
-
незамедлительное залужение пойменных участков водных переходов сразу же по окончании строительных работ в целях предотвращения развития ветровой и водной эрозии почв;
-
на переходах через водные преграды, в необходимых случаях, предусматривается крепление коренных берегов каменно-щебеночной наброской, посадкой кустарников, посевом трав и другими способами, во избежание разрушения береговой зоны и смыва в водные потоки больших объемов грунта, приводящих к повышению мутности воды.
В водоохранных зонах запрещается:
-
размещение складов ГСМ, отходов производств, свалок мусора;
-
стоянка, заправка топливом, мойка и ремонт техники;
-
загрязнение территории нечистотами и строительным мусором;
-
размещение карьеров.
В прибрежной полосе запрещается:
-
организация стоянок автотранспорта, заправка топливом, ремонт и мойка строительной техники;
-
проведение земляных работ без незамедлительной рекультивации нарушенных участков и уплотнения грунта в траншее после укладки газопровода;
-
производство взрывных и дноуглубительных работ без специального разрешения органов по регулированию и охране вод.
7.НАУЧНО-ТЕХНИЧЕСКАЯ ЧАСТЬ
7.1 Составление организационной схемы
Участок железнодорожной линии, для которого необходимо разработать проект производства работ на строительство МВС, с использованием календарного графика, разработанного при проектировании производства земляных работ.
Над продольным профилем преподаватель указывает местоположение МВС и их краткую характеристику, (возможно наличие средних мостов). Для малых и средних мостов необходимо установить рабочую отметку насыпи у подходов к береговым опорам (устоям) – hпн, для водопропускных труб – высоту насыпи – hн. При реальном проектировании указанные данные на продольном профиле имеются.
7.2 Определение ограничений по срокам производства работ.
7.2.1 Условия формирования ограничений
При определении временных ограничений необходим учет некоторых специфичных условий организации строительства МВС.
В комплексном потоке по строительству НСП строительно-монтажные организации имеют единую цель – сдача готовых МВС и участков земляного полотна под укладку железнодорожного пути. Составные части НСП сооружаются специализированными подразделениями: мосты – мостоотрядами (МО); водопропускные трубы – строительно-монтажными поездами (СМП); земляное полотно – мехколоннами (МК).
Согласно требований СНиП, МВС должны быть построены до начала земляных работ. Однако, для мостов это требование относится только к береговым опорам, готовность которых обеспечит выполнение земляных работ по устройству подходов к мостам. Вариант, предусматривающий провал в земляном полотне под мост или трубу, когда земляные работы опережают возведение МВС, является нерациональным. Поскольку в последствии работы по засыпке провала ведутся на узком непроизводительном фронте работ для землеройно-транспортного комплекта машин и, как показывает практика, с низким качеством уплотнения грунтов, особенно при высоких насыпях.
Сооружение промежуточных опор и монтаж пролетных строений при строительстве малых и средних мостов можно производить одновременно с земляными работами или, для пролетных строений, после них, так как данные процессы не взаимодействуют между собой, а в некоторых случаях становятся зависимыми от последних.
В то же время, процессов монтажа пролетных строений по объектам необходимо осуществить в интервале времени, заключенном между сроками окончания сооружения опор и началом укладки рельсо-шпальной решетки, что обеспечит непрерывный ход работ путеукладчика.
Отмеченные пространственно-временные ограничения необходимо учесть при формировании графиков производства работ по строительству МВС.
7.2.2 Примеры определения ограничений
Определим на организационной схеме участка сроки производства работ по НСП, ВСП и подготовительному периоду в местах расположения соответствующих водопропускных сооружений. Эти сроки, могут сдерживать производство работ на МВС и выступают в роли ограничений.
-
Обозначим сроки начала земляных работ для труб – tТ1нзр, где 1 – номер объекта. Индекс 1 изменяется от 1 до N (i=1, N), - количество, соответственно труб или мостов на участке.
-
Нанесем на календарную сетку графика сквозную нумерацию рабочих дней.
-
Сроки начала работы бригад мехколонны возле МВС, установим по темпу
земляных работ соответствующего комплекта машин (наклонная линия на графике). В практике строительства эти даты согласовываются с графиком работы МК и могут быть назначены по сроку начала разворачивания земляных работ бригады на протяжении всего участка (горизонтальная линия на графике).
-
Аналогично определим сроки окончания работ подготовительного периода – tT1опп, tm1опп, которые открывают фронт работ для возведения МВС; сроки начала укладки – tm1ну и окончания земляных работ tm1озр в местах размещения малых и средних мостов.
7.3 Определение продолжительностей строительства
7.3.1Методы определения продолжительностей работ и строительства объектов















